Back to Home Page of CD3WD Project or Back to list of CD3WD Publications

CLOSE THIS BOOKTraditional Medicinal Plants (Dar Es Salaam University Press - Ministry of Health - Tanzania, 1991, 391 p.)
PART I: USE AND PROMOTION OF TRADITIONAL MEDICINAL PLANTS IN THE AFRICAN REGION
VIEW THE DOCUMENTRegistration and utilization of herbal remedies in some countries of Eastearn, Central and Southern Africa
VIEW THE DOCUMENTA report on the development of a traditional medicine for bronchial asthma
VIEW THE DOCUMENTResume of current research in medicinal plants in Botswana
VIEW THE DOCUMENTThe use of data from traditional medicine: Tunisian experience
VIEW THE DOCUMENTChemical and pharmacological studies of marketed traditional drugs
VIEW THE DOCUMENTResearch into medicinal plants: The Somali experience
VIEW THE DOCUMENTEffect of nitrogen and phosphorus on the essential oil yield and quality of chamomile (Matricaria chamomilla L.) flowers
VIEW THE DOCUMENTChemical characterization of pharmacologically active compounds from Synadenium pereskiifolium
VIEW THE DOCUMENTAbietane diterpene quinones from lepechinia bullata
VIEW THE DOCUMENTAntimicrobial activity of Tanzanian traditional medicinal plants
VIEW THE DOCUMENTIdentification of clovanediol: A rare sesquiterpene from the stem bark of canella winterana L. (Canellaceae), using spectrophotometric methods
VIEW THE DOCUMENTA comparative study of the traditional remedy ''Suma-kala'' and chloroquine as treatment for malaria in the rural areas
VIEW THE DOCUMENTEthnobotany and conservation of medicinal plants
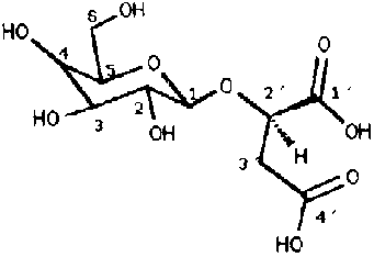
VIEW THE DOCUMENTBiotransformation of hydroxyanthraquinone glycosides in Cassia species
VIEW THE DOCUMENTLe médicament indigène Africaine: Sa standardisation et son évaluation dans le cadre de la politique des soins de santé primaires
VIEW THE DOCUMENTChemical Evaluation of Tanzanian medicinal plants for the active constituents as a basis for the medicinal usefulness of the plants
VIEW THE DOCUMENTEthnobotany and the medicinal plants of the Korup rainforest project area, Cameroon
VIEW THE DOCUMENTSeaweeds in medicine and pharmacy: A global perspective
VIEW THE DOCUMENTBiotechnology and medicinal plants
VIEW THE DOCUMENTPhytochemical investigations of four medicinal plants of Malawi: What next?
VIEW THE DOCUMENTThe chemistry and pharmacology of the essential oil from the leaves of Hyptis suaveolens (L) Point
VIEW THE DOCUMENTSome CNS effects of Datura stramonium L (Solanaceae) in mice
VIEW THE DOCUMENTDiscovery and development of drugs from natural sources
VIEW THE DOCUMENTA Survey of medicinal plants in Tabora region, Tanzania
VIEW THE DOCUMENTIntérêt pharmacognosique des plantes de la flore médicinale Rwandaise: valeur chimiotherapeutique de quelques plantes Rwandaise
VIEW THE DOCUMENTA note on the utilization and commercialisation of traditional medicine
VIEW THE DOCUMENTExperience on the use of Tanzanian medicinal plants for the last decade (1979-1989)
VIEW THE DOCUMENTA comparison of the status of medicinal plants development in Africa with selected parts of the world
VIEW THE DOCUMENTExpérience du Burkina Faso en matière de pharmacopeé traditionnelle
VIEW THE DOCUMENTThe role and use of ethnomedical data in the research on traditional medicines and medicinal plants
VIEW THE DOCUMENTTraditional medicinal plants: Our cultural heritage
VIEW THE DOCUMENTThe use of traditional medicinal plants: The cultural context

Traditional Medicinal Plants (Dar Es Salaam University Press - Ministry of Health - Tanzania, 1991, 391 p.)

PART I: USE AND PROMOTION OF TRADITIONAL MEDICINAL PLANTS IN THE AFRICAN REGION

Registration and utilization of herbal remedies in some countries of Eastearn, Central and Southern Africa

OLAWAYO AKERELE,
Programme Manager, Traditional Medicine
World Health Organization, Geneva

Introduction

Traditional medicine has been practised for the last several thousand years, although it found a place in the WHO programme only twelve years ago.

Traditional medicine is widespread throughout the world in a variety of forms. Its practices are based on beliefs that were in existence, often for hundreds of years, before the development and spread of modern scientific medicine, and that are still prevalent to day.

The recent development and resurgence of traditional medicine activities in the African Region grew out of the political events of the 1960s. With the advent of political independence, Africans felt the need to rediscover their sociocultural identity, and traditional medicine, an integral part of their heritage, and benefited from this return to the fountain-head. In reality, the masses had never stopped making use of traditional medicine, despite the imposition of modern medicine by the colonial powers. Moreover, economic circumstances were making imported techniques and drugs less and less accessible, forcing the authorities to take a fresh look at the problem and study the possibility of using traditional medicine to improve the health of their populations.

In most cases, however, it was necessary to convince the political decision-makers that traditional medicine had something to offer. To this end, the World Health Assembly and the Executive Board passed a number of resolutions in support of traditional medicine globally. In addition, the Regional Committee for Africa passed a number of resolutions reflecting this political will.

Three periods which correspond to very definite political and economic development stages can be distinguished in the development of traditional medicine in the African countries. These are, first, the pre-colonial period, when traditional medicine reigned supreme. Unfortunately, there was no record of traditional practices and materia medica, even though these have contributed to the modern-day therapeutic arsenal. The examples of physostigmine from the Calabar bean and the life-saving vincristine from the African periwinkle, illustrate past and present contributions. The colonial period was marked by the introduction of modern medicine and the suppression of Africa's traditional systems of medicine. Finally, the post-colonial period is represented by a renewed cultural awareness of, and pride in, traditional medicine and its values.

Primary health care has been adopted by all WHO member states, including those on the African continent, as the appropriate strategy, for developing national health systems. This approach has become imperative for technologically less advanced countries, given their present economic crisis. However, even the primary care demands the use of therapeutic preparations, and in the face of declining foreign exchange earnings, governments are finding it increasingly difficult to make essential drugs available to their rapidly growing populations. The use of medicinal plants in traditional medicine thus Finds its natural expression, and further development in primary health care, where in many cases they bridge the gap between the availability of and the demand for essential drugs. It is, however, at this level that the transition from traditional practice to medical care can most readily be made.

In our common efforts to extend coverage of the health services to improve medical care and to control major endemic and epidemic diseases we have often not fully recognized just how important a role medicinal plants play in the health of the peoples of the world. In developing countries, about three-quarters of the population rely on medicinal plants for their primary health care. In technologically advanced societies, consumers preference is shifting from synthetic to natural products and this is dictating the pace of the resurgence and expansion of the use of medicinal plants in therapy in industrialized countries. It is only logical for WHO to collaborate with others to develop activities in this exciting area of manufacture and promotion of the use of new drugs of plant origin by encouraging countries to make fuller use of the natural wealth of medicinal plants, which most of them possess. Some of the currently known herbal medicinal products could substitute imported drugs, which currently require foreign exchange for their purchase. In addition, plants used in traditional medicine hold a great, but still largely unexplored potential, for the development of new drugs against major diseases, such as AIDS, for which no safe, effective treatment is as yet available.

As part of those efforts by WHO, a workshop was organized by the Organization's Programme for Traditional Medicine, in collaboration with the Danish International Development Agency (DANIDA) and hosted by the Ministry of health of Zimbabwe. It was held from 26 June to 6 July 1989 at Kadoma, Zimbabwe.

The workshop was attended by participants from East, Central and Southern Africa and included scientists from Botswana, Kenya, Lesotho, Malawi, Swaziland, United Republic of Tanzania, Zambia and Zimbabwe, representing a variety of disciplines that are crucial to initiating multidisciplinary research in drug development from herbal remedies. These include: pharmacy, pharmacology, phytochemistry, health administration, and clinical sciences.

The workshop was the first of a series for the African Region and was intended to address issues hindering the introduction of traditional remedies into national health systems. Key issues discussed included ensuring safety and efficacy of traditional remedies, as well as associated problems of standards, stability, and dosage formulation. Safety is, indeed, a crucial issue. It is often erroneously believed that products that are natural carry no risk to the consumer. Nothing could be further from the truth. Much of our present-day powerful therapeutic arsenal is derived from plants and plant products.

This workshop was designed to establish a logical "thought process" for decision-making that is related to the utilization of herbal preparations as drugs. The workshop began with presentations from each participating country on the use of traditional medicine. A summary of the current situation with regard to traditional practitioners and the registration of herbal remedies is given below: a series of formal lectures followed, addressing areas such as the importance of medicinal plants in therapy; development of a traditional medicine pharmacopoeia; types and sources of information available on medicinal plants and their chemical constituents; how the information can be evaluated; safety and toxicological testing procedures; and the planning of clinical studies. All participants were then provided with copies of original articles on commonly used plants and challenged to decide whether each could be introduced into their national health system. Using a well-defined decision-making process, the participants answered questions about the safety and efficacy of the plants and categorized them as meriting acceptance without further study, requiring further work, or meriting outright rejection on grounds of toxicity.

It is widely believed that the use of medicinal plants in health care is increasing in the African region, and that trade in these substances is on the rise. However, no valid data are currently available on utilization and trade patterns. Plant-derived remedies currently in use range from traditional preparations such as decoctions to locally manufactured modern formulations in the form of syrups, tablets and capsules, as well as products imported from Asia. This increase in intercontinental trade in plant- derived substances has triggered concern for regulation in countries of East, Central and southern Africa. No regulations related to the use of plant-derived remedies currently exist in these countries. However, national drug legislation to cover manufacture of herbal remedies is being contemplated in all the countries. The necessary registration process should be contingent upon review of available sources of information, quality control of raw material, modern toxicology testing, and good manufacturing practices. In addition, one of the chief contributions that traditional medicine has made and continues to make to health, is the discovery of plants of medical value. "Save Plants that Save Lives" is a call to safeguard this heritage, and regulations should therefore cover conservation measures.

Country presentations at the Workshop described the current regulatory status of traditional medicine and practitioners. This information is summarized below.

Current regulatory status in some countries of East, Central and Southern Africa

Botswana

No regulation related to the use and practice of traditional medicine exists. A provisional council has been appointed to decide what to do, and will probably propose some draft legislation regarding traditional medicine. Modern medicine must be registered in the country of origin.

Kenya

There is no regulation regarding the practice of traditional medicine. The Ministry of Culture and Social Services issues certificates to traditional practitioners, but they must also obtain the permission of the area chief to practise. There is no regulation concerning the manufacture and or use of traditional remedies.

Lesotho

National drug legislation is being formulated and will create some controls for traditional remedies. The proposed regulation will lead to the registration of traditional medicines for an initial period of 8-10 years, based on safety as the sole criterion. Subsequently, registration of traditional remedies will have to be based on efficacy as well as safety.

Malawi

The Pharmacy Medicine and Poisons Act of 1988 does not have any provision regarding the use of traditional medicinal remedies. Since traditional practitioners are not used in the health services, the need to register them has never arisen. Some other provisions of the Act are related to the exclusion of traditional practitioners from practice. For example, "no person shall sell by retail, or supply in circumstances corresponding to retail sale or administer, other than to himself, a medicinal product of a description or a class specified by Order made by the Minister and published in a Gazette except in accordance with prescription given by an appropriate practitioner," which excludes traditional practitioners.

Similarly, Section 17(1)(b) of the Act indicates that "except as is provided by this Act, no person other than a person registered as a pharmacist under this part shall in the course of any trade or business prepare, mix compounds, or dispense any medicinal product or poison except under the supervision of a registered pharmacist". Thus, it can be deduced from this provision that traditional healers should not practice their trade. In practice, however, people are not imprisoned for administering traditional remedies.

According to section 42(2)(a) of the Act, no one is allowed to "sell or supply any product for the purpose of a clinical trial unless that person has a product licence and a clinical trial certificate". This makes it very difficult to assess the efficacy of traditional remedies without following the standard procedures. However, a number of modern medical practitioners have tested the efficacy of some traditional remedies used in Malawi.

Swaziland

There is no government regulation on the use and manufacture of traditional remedies. Modern drugs require registration. Traditional practitioners have been registered since 1974. A list of traditional practitioners is kept by the Swazi National Council, a traditional executive body under the King. In 1981 a Commission for Traditional Medicine was formed by the Minister of Health. The Commission was to recommend ways of organizing the regulation of traditional practitioners and their work as well as to act as a body through which their views are communicated to the government and to the general public.

Tanzania

The legal status of traditional medicine in Tanzania is governed by two statutes namely:

(i) Medical Practitioners and Dentist Ordinance Act, caption 409, section 37, and

(ii) Pharmaceutical and Poisons Act 1978, stipulating that substances used in local systems of therapeutics should be utilized in the communities where "the traditional practitioners belong, provided they are not detrimental to the people's lives and health".

The traditional practitioner is registered by a regional or district cultural officer and his drugs are only known to him or herself. The drugs are not registered. Modern drugs are regulated by law.

Zambia

There are no laws prohibiting the practice and use of traditional medicine. However, traditional practitioners must be registered at provincial level and must adhere to laws governing the practice of modern medicines. There is no regulation in respect of the use of traditional remedies.

Zimbabwe

The government has instituted controls over the practice of traditional medicine through the Traditional Medical Practitioners Act 1981. This made provisions for the formation of a Traditional Medical Practitioners Council and the registration of practitioners. An Association of Traditional Practitioners was formed in 1980. It promotes professionalization and gives direction and support to member practitioners.

There is no drug regulation specifically applicable to traditional remedies. Modern drugs circulating in the country must be registered under the Drugs and Allied Substances Control Act (Chapter 320) 1949.

Conclusion

In all of the participating countries, the general feeling is that the future of traditional medicine is bright, because it is widely used and respected, especially by the rural population that constitute the majority. Although no specific studies have been made, costs are considered to be low.

Legislation is needed in all of the countries to recognize and legitimize traditional practitioners. The traditional practitioners should group themselves into associations through which they could interface with the formal system, whether or not they are formally part of it. An association of this nature could be a regulatory body in relation to ethical and professional matters. Without this formal structure, the chaos that exists now is likely to continue.

Steps need to be taken to list the herbal remedies used in each country and their medical indications and properties. This needs to be done before the disappearance of indigenous people, who hold the key to identifying medicinal plants that may result in new drugs of inestimable benefit to the global community. The establishment of their safety, based on published data and/or preclinical scientific studies, should precede the use of manufactured medicinal plants for both self-medication and in national health services. When quality control has been assured, studies for efficacy may then be initiated.

While these are not unrealizable goals, their attainment will require the establishment of an organizational structure that is coupled with dedication and rational analysis of the situation in each country.

Many African countries are focusing on actions at national level that seek to obtain maximum benefit from their natural plant resources. However, medicinal plants should not be valued solely because of the possibility that they offer from import substitution, but because traditional medicine is an avenue to greater self-reliance, based on appropriate technology in accordance with a country's cultural heritage and national resources. As African countries attempt to revitalize and rationalize this heritage, they can look for support from the World Health Organization in their endeavours.

References

Akerele O. (1988) Medicinal Plants and Primary Health Care: An Agenda for Action, Fitoterapia, Volume LIX, No.5, pp. 355-363.

Akerele O., Stott G., Lu Weibo (eds) 1987. The American Journal of Chinese Medicine, Supplement Number 1, The Role of Traditional Medicine in Primary health Care in China.

Bannerman R.H., Burton J., Chen's Wen-Chieh, Traditional Medicine and Health Care Coverage. A reader for health administrators and practitioners.

Djukanovic, V. & Mach, E.P. (eds.) (1975) Alternative Approaches to Meeting Basic Health Needs in Developing Countries: A Joint UNICEF/WHO Study. Geneva, World Health Organization.

Farnsworth, N.R., Akerele, O., Bingel A.S. Soejarto D.D., Zhengang Guo (1985) Medicinal Plants in Therapy, Bulletin of the World health Organization, 63(6): 965-981.

Report of a WHO/DANIDA Inter-country Workshop on the Selection and Use of Traditional Remedies in Primary Health Care, Kadoma, Zimbabwe, 26 June - 6 July 1989 (in press).

World Health Organization. Alma-Ata (1978). Primary Health Care: Report of the International Conference on Primary Health Care, Alma-Ata, USSR, 6.12 September 1978 ("Health for All" series, No. 1).

WHO (1987) Global Medium-Term Programme (Traditional Medicine) covering specific period 1990-1995 (WHO document TRM/MTP/87.1).

A report on the development of a traditional medicine for bronchial asthma

ALUOCH, J.A., KOFI-TSEKPO, W.M.
WAKORI, E.W.T., RUKANGA, G.M. and TOLO F.

Kenya Medical Research Institute
Nairobi, Kenya

ABSTRACT

A traditional medicine for bronchial asthma was identified through interaction with a traditional healer, Mr. Charles Obuya of Rangwe, South Nyanza. The traditional medicine regimen consists of three different liquid preparations:

(1) A cold aqueous root-bark extract used for diagnosing the disease.

(2) An oral liquid medicine for regular treatment, prepared by boiling plant roots in water.

(3) An oral liquid medicine for regular treatment, prepared by boiling plant stem and leaves in raw ghee.

This traditional medicine regimen is said to produce curative effects in very few weeks. Basic ethnomedical information indicated a high potential in this medicine and this led us to take more interest in the investigation. Phytochemical screening of the drug plant materials, revealed the presence of flavonoids, terpenoids, alkaloids and glycosides. Preliminary animal toxicity studies indicate that the medicine is reasonably safe. There is abundant evidence that the medication has a promising therapeutic effect in man and a clinical study is being planned. The steps taken so tar in the development of this traditional medicine for bronchial asthma will be discussed.

Introduction

Since traditional medicine has been shown to have intrinsic utility, it should be promoted and its potential developed for wider use and benefit to mankind (WHO, 1978). In view of this, the Traditional Medicines and Drugs Research Centre of the Kenya Medical Research Institute, has been able to establish some form of dialogue with the traditional healers on an interactive basis. This has enhanced research on traditional medicines to establish their efficacy and safety.

Asthma is a common and important disease, characterized by widespread bronchial obstruction that is reversible either spontaneously or with therapy. Its principal causes seem to be allergy, infectious, irritants and psychological reactions (Heiner, et al 1973). The large number of conventional medicines currently in use for the treatment of bronchial asthma, are only able to control the disease but do not provide a complete cure. It has therefore been found necessary to develop an asthma traditional medicine prepared by Mr. Charles Obuya, which appears to be of very high potential.

The steps taken so far in the development of this traditional medicine for bronchial asthma are discussed below.

Ethnomedical investigations

The traditional medicine for bronchial asthma was identified through interaction with a medicineman, Mr. Charles Obuya during field research. Several visits were made to his clinic to observe the treatment procedures, and the patients treated with the medicine.

The preparation and formulation of the medicines were observed. The traditional medicine regimen consisting of three different liquid preparations was noted to be prepared from three different plant materials. A medicine for diagnosing the disease is prepared by extracting a root bark in cold water. The cold extract is then administered intranasally at a single dose of 5 ml into each nostril. This results in profuse mucous secretion from the lungs. An oral liquid medicine is prepared by boiling plant roots in water, and the extract is administered at a dose of 200 ml twice a day for two months. A second oral medicine is prepared by boiling plant stem and leaves in water and raw ghee. This is also administered at a dose of 200 ml twice a day for two months or more, according to the severity of the disease.

The medicinal plants used to prepare the medicines were collected, and correct botanical information was obtained with the assistance of the botanists at the herbarium of the National Museums, Nairobi.

The research activities in the Institute have created interest in over 100 asthma patients, who have sought assistance from the Institute in order to use this traditional medicine for asthma. Our laboratories, on the other hand took this opportunity to monitor the conditions of these patients and found that all have responded to this treatment regime. The high potential observed with this medication has led us to take more interest in the investigations .

Phytochemistry

Phytochemical investigations of the plant materials carried out using thin layer chromatography revealed the presence of flavonoids, terpenoids, alkaloids and glycosides.

Pharmacology and toxicology

Preliminary animal toxicity studies were carried out in mice, and the results obtained indicated that the medicine is reasonably safe.

Isolated tissue experiments carried out using guinea pig tracheal rings revealed some antagonistic effects of one of the asthma preparations on the contractions caused by PGF2X.

Clinical perspectives

The therapeutic claims of this medicine were first evaluated by observing the patients under treatment by Mr. Charles Obuya. The medicineman was then invited to our laboratories to carry out a clinical demonstration under the supervision of two physicians among members of the research team. Long function tests were carried out on the patients before and during treatment with the traditional medicine. A reversal of bronchoconstriction was noted on administration of the traditional medicine (Aluoch et al, 1987), indicating a reasonable level of efficacy. Thus there is abundant evidence that this medication is good and a clinical study is being planned.

Discussion and conclusion

In the context of cultural evolution, traditional medicine has always developed and preserved its role of providing care in all communities (WHO, 1978). Thus even if the active principles have not yet been identified in the plants used in traditional medicine, historical evidence of the value of such plants could result in useful preparations provided they are safe (Farnsworth, et al. 1985). The evaluation of chronic toxicity based on the ethnomedical information obtained from the traditional healer and acute toxicity investigated using laboratory mice, suggested that this asthma medication is reasonably safe. The only side effect observed so far is diarrhoea obtained with the use of the oral preparation boiled in raw ghee and water, but this is eliminated by reducing the dose of this medicine.

There are several possible mechanisms which might account for the anti-asthma effect of this traditional medicine. The presence of terpenoids as revealed by the phytochemical screening, may suggest corticosteroid-like mechanisms, e.g., inhibition of histamine formation or storage and the direct smooth muscle effect of steroids. The pharmacological experiments carried out on guinea pig tracheal ring, seems to suggest a prostaglandin pathway as another possible mechanism of action. Further evaluations of these medicines are in progress.

Special tribute

We pay a special tribute to the medicineman, Mr. Charles Obuya for his interest in our collaboration.

References

Aluoch, J.A., Kofi-Tsekpo, W.M., Were, J.B.O., Oyuga, Wakori, E.K., Nganga, L.W. and Obuya, C.O., (1987). In: Kinoti, S.N., Waiyaki, P.G., Were, J.B.O. (eds) Proc. 8th Annual Med. Sci. Conf. Nairobi, Kenya, p. 344-349.

Farnsworth, N.R. Akerele, O., Bignel, A.S., Soejarto, D.D. and Guo, Z. (1985): Bull. WHO, 63(6): 965-981.

Heiner, D.D., Tashkin, D.P. and Whipp, B.J. (1973): Ann. Inter. Med. 78: 405-419.

WHO (1978): The promotion and development of traditional medicine. Technical Report Series 622, Geneva.

Resume of current research in medicinal plants in Botswana

J. BACON

Chemistry Department
University of Botswana
P/Bag 0022 Gaborone, Botswana

ABSTRACT

The potential for the economic development of medicinal plants use in Botswana has been shown to be very great. Experience gained during the last decade shows the necessity for proper management of resources, and a coherent unified strategy for research to reduce the possibility of exploitation of resources by external concerns. The grapple plant, Harpogophytum procumbens, serves as an excellent example of economic exploitation which has necessitated nationwide cooperation of research and government bodies. Following the lessons learned from the grapple plant, traditional remedies are now being closely examined with a more unified approach. Initially, only medicinal plants that have an immediate economic potential are being studied.

Introduction

In common with all African countries, Botswana has a strong tradition in the use of herbal remedies. As is frequently the case, it is difficult to separate traditional religion from therapeutic properties of administered medicines. The value of any drug is greatly enhanced by the power of suggestion, with the conclusion that any innocuous substance administered under the right conditions of suggestion and belief, can have dramatic healing effects. Belief in the power of a drug is not however, limited to traditional medicine. Clinical trials using placebos will always result in a percentage of cases responding to the "drug". For this reason, it is extremely difficult to study possible medicinal properties of plant species and correlate findings with traditional uses. This is clearly exemplified by the "grapple plant" (Harpogophytum procumbens), which, in recent years, has become Botswana's pre-eminent medicinal plant, known in Europe and the USA as "Devils Claw".

In this paper, the author describes the status of the art with respect to the exploitation of the grapple plant and the herbal tea plant (lippia) in Botswana, for medicinal applications.

The grapple plant

The grapple plant grows only under the semi-arid conditions, and is indigenous in the Kalahari desert and parts of Namibia and Angola. It is a typical desert plant in that it shows adaptation to restricted and sporadic rainfall. Much of the plant mass lies below ground level in the form of a parent tuber, storage tubers and roots. The leaf system is highly susceptible to available water, and in times of drought (which is frequent in the Kalahari) may be inconspicuous, making the plant very difficult to identify or collect. The fruiting body has an endocarp which resembles a grappling hook, from which the plant takes its common name. The storage tubers of the grapple plant have been known in Botswana traditional medicine for generations. However, in Namibia, the plant has almost become extinct, due to systematic destruction by the Namibian farmers. The fruiting body can inflict serious damage to animals, and farmers in Namibia regarded it a menace. Its survival in Botswana is probably explained by its use in traditional medicine, and hence its destruction a taboo.

Studies conducted in 1986 by Kgathi, confirm that the grapple was used in small amounts in traditional medicine. Producers of grapple for the European trade, confirmed that it could be used for stomach disorders in man and to heal wounds in animals. However, according to Taylor (1982), clinical trials in Germany indicated that 60% of arthritis cases can be healed by an extract of the grapple storage tubers, with no observable side effects, apart from the purgative effect. It therefore seems apparent, that traditional medicine has utilized the grapple for its purgative effect rather than for its proven anti-arthritic properties. One reason for this may be that the purgative effect is almost spontaneous, whereas the anti-arthritic properties are discerned over a much longer period of time. If this is indeed the case, then the converse must also be true, i.e., detrimental effects of medicinal plants may not be immediately obvious, such that physiological damage may occur days, weeks, or months after receiving treatment. Western medicine has of course learnt this the hard way as in the case of the drug "Thalidomide".

Although the exact mechanism of the therapeutic action of grapple on arthritic cases is not known, the active components of the storage tubers were identified as far back as 1962, by Lux and Tinmann, who identified iridoid glucosides. Bendul et al., (1979) modified the structure to produce an improved form, procumbide. In 1981, Vanhelen et al., proposed a mechanism for the anti-arthritic properties in which they suggested a conversion from harpogoside to harpagogenine. Research is still continuing in Germany as to the exact mechanism involved with these substances.

The case history of the economical development of the grapple plant serves as an excellent example of beneficial exploitation of natural resources and also possible detrimental exploitation of human resources. During the early 1980's 15-20 tones of dried grapple storage tubers were exported yearly from Botswana to Europe, mainly by Namibian and South African traders.

Iridoid glucosides

In 1987, the National Institute of Research (NIR), concluded that in general, producers of grapple are poor people, and in the Kgalagadi district, only those who desperately needed cash were involved in grapple production, because they needed the cash to purchase their basic needs. However, the report also concluded that although the grapple was being produced as a cash crop, it appeared not to have a detrimental effect on production of subsistence crops and the farming activities. The main reason for this seems to be that harvesting of the grapple takes place during the dry season when subsistence crop production has virtually ceased. It is however, interesting to note that the report found that the majority of grapple producers were women, the socio-economic implications of which need to be examined.

In 1981/1982, the average income earned by a grapple producer in the Kgalagadi District was 97 pula. Even allowing for inflation, this sum is small, but the report concluded that it was significant, particularly if it was used for purchasing such basic needs as food and health care.

The economics involved in the grapple trade, are, at best bewildering, and show the need for legislation. It has been calculated (Kgathi, 1987) that one harvester can collect kilogramme of dry grapple in 6.5 hours for which he receives 2 pula, which, although very small, is comparable with the rate for farm workers. It is nevertheless below the minimum wage for manual workers. Both collectors and traders in grapple require permits, and to ensure sustained yields, a quota system is in operation. In order to sell the grapple to foreign traders, the local traders must have an export permit. On the export permit, the amount and value of the grapple is recorded. However, serious discrepancies between the amount bought from producers and the amount exported have occurred in recent years.

The 1987 NIR report notes that although the export prices are recorded in the export permit, they do not make sense, since they are almost equivalent to the prices at which the trader buys from the producers. The report concluded that the correct prices are not actually declared. According to Taylor (1982), a South African company was prepared to pay 4.50 pula per kg for dried grapple storage tubers. Allowing for inflation, this price can now be expected to be much higher.

In 1982 grapple tablets were on sale in U.S.A. and South Africa, at an average price of 5.60 pula per kg (Taylor, 1982). In 1987 grapple tablets manufactured in Europe were on sale, in Botswana, at 148.25 pula per kg. (Kgathi, 1987). In February 1990, the price is 213.25 pula per kg. There is no evidence to suggest that other ingredients are added to the tablets, suggesting that the dried tubers are simply sterilized and compressed into tablet form. Kgathi (1987) concludes that the difference between trader prices and producer prices is just too wide, even if one allows for transport costs. The report recommends that the government should look into this matter and work out possibilities for increasing the producer prices of grapple. It is also apparent that strategies should be developed to lessen the difference between the trader prices and the tablet manufacturers prices.

In 1989, a non-profit making organization for rural development (Thusano Lefatsheng) approached the Ministry of Agriculture for funds to develop marketing and sustained production of grapple in Botswana. Thusano is a commercial concern, involved in the development of Botswana's natural products. Profits from the company are ploughed back into rural development. Research within Thusano liaises closely with many institutions, including NIR/Agricultural Research Institutions and the University of Botswana, Chemistry Department. Thusano's involvement with the grapple plant has so far been restricted to research on sustained yields and some sale of the product to European markets.

Following discussions with representatives from the Ministry of Agriculture, an advisory committee has been set up by the Ministry, with representatives from various institutions involved in natural product research, parastatals and Ministry of finance. In principle, it has been concluded that the research operations of the various institutions should be coordinated by Thusano, with financial support from the government for the development of veld products.

The immediate aim of Thusano is to start the manufacture of grapple tablets for export. If this can be achieved, Thusano will be able to pay the producers competitive prices for their labour and profits can be re-invested into rural development projects. The primary aim is to remove the control of the marketing of grapple from individuals who do not re-invest in rural development.

The formation of the advisory committee for the development of natural products in Botswana is certainly a step in the right direction. If environmental/economical chemical/agricultural research bodies can coordinate their activities, then repetitions of the abuse of the grapple plant can be avoided. There is no doubt that a coherent research programme coordinated by Thusano will undoubtedly serve rural development far better than ad hoc research in the Chemistry Department of the University of Botswana. Thusano currently has a number of projects under development, and the Chemistry Department of the University of Botswana is actively engaged in research of some of these products.

Lipia javanica

A herbal tea, marketed by Thusano is made from the dried leaves of Lippia javanica. The taste is variously described as that of 'mint' or 'vanilla'. In traditional medicine, the plant has a variety of recorded uses throughout the Southern Africa area. The reported uses of Lippia javanica according to Watt et.al. (1962), are as follows:

Xhosa: infusion of leaf and stem for coughs/colds and bronchial infections: disinfecting anthrax infected meal

Kwema: cough/cold remedy

Tswana: cough/cold remedy

Zulu: "gangergous rectis" measles, urticaria and rashes.

Zimbabwe: blackwater fever, malaria, dysentery.

Masai: red ointment for body decoration.

Lobedu: colds/nasal haemorrhage.

Shangana: cough remedy

Swati: influenza/colds

Nunguoi Bushmen: Malaria

Tswana: Insect repellent/insecticide

Early research concluded that flowering tops from Tanzania contained 0.4% of an oil rich in ocimene. The leaves contain an oil that yields 65 - 70% of a liquid of molecular formula C10H16O, which has an odour of lemons.

Research within the Department of Chemistry, University of Botswana, in conjunction with the Analytical Chemistry Laboratory of Utrecht University in The Netherlands, has shown that the essential oil yields a liquid of formula C10H16O. However, detailed analysis using various separation techniques and hyphenated techniques such as C10H16O and GC-F.T. etc., show the presence of three compounds of formula C10H16O.

The major component is 3,7-dimethyl-1,3-octadien-5-one, which is a monoterpene with two geometrical isomers as shown:


Figure

These compounds have previously been identified in Tagetes species, specifically, in Tagetes minuta, from which they take their trivial name Tagetones. The antimicrobial action is being studied by Hethely.

The other compound is also a highly unsaturated ketone with a proposed structure as shown below:


Figure

The decongestant effect of ketonic terpenes is well known (c.f. menthone, etc.) and so it is not surprising that these compounds have a calming effect on respiratory conditions. Similarly, the insect repellant properties of cyclic and acyclic monoterpenes has recently been reported (Wang et al 1985). The anti-microbial properties, however, are rather more difficult to explain on the basis of ketonic structures. However, tagetone exists in equilibrium with the enolic form. This can easily be shown by the temperature dependence of the infrared spectrum. At high temperatures, the carbonyl stretching vibration disappears and a hydroxyl stretching absorption appears instead.


Figure

The formation of an enol may explain the anti-microbial properties since enols are known to show disinfectant properties.

When heated, the above compounds readily polymerize by opening of the double bonds. However, it is suspected that in the case of cis-tagetone, the molecule may also aromatize. This reaction is also possible in the presence of ultra violet light.

The product, thymol, is of course a well known natural product (Thyme oil) and its phenolic nature gives it disinfecting properties.


Figure

The potential use of this plant is very promising. However, we feel sure that much of the chemical analysis may be a replication of work that has already been done and unpublished and/or is under investigation in other regional laboratories since there is insufficient liaison between the various groups undertaking research in the field of medicinal plants. Effective research to aid development can only be achieved by a coordinated approach, both nationally and internationally. For this reason, current research into medicinal plants is being restricted to plants which have an 'immediate' commercial potential.

Acknowledgements

I am indebted to the fullest cooperation of the following,: Dr. T. Tietema, National Institute of Research, Gaborone; F. Taylor, Veld Products, Gaborone; Thusano Lefatsheng, Gaborone; Prof. J. H. van der Maas, University of Utrecht, The Netherlands and Phillips Laboratories, The Netherlands.

Reference

Kgathi, D.L. (1987). NIR Research notes (24), University of Botswana.

Hwang, Y., Wu, K., Kumamoto, J., Axelroad, H. and Mulla, M.S. (1985). J. Chem. Ecol., 11, 1297-130.

Taylor, F.W. (1982). The Resource and its Commercial Utilization of Veldproducts, Plan No. T.B. 7/14/80-8, Ministry of Commerce and Industry Government Printer, Gaborone.

Watt, J.M. and Breyer-Brandwisk, M.G. (1962). The Medicinal and Poisonous Plants of Southern and Eastern Africa. 2nd Edn., Livingstone.

The use of data from traditional medicine: Tunisian experience

K. BOUKEF
C.N.T.S., Rue Djetel, Dahmar, Tunisia

ABSTRACT

The industrial, technological and social developments in the world have significantly contributed to a situation whereby man has neglected the development of expanded uses of traditional medicines. However, our knowledge on the adverse side effects of some of the modern medicines, the emergence of diseases which are incurable with modern medicines, and adverse economic conditions particularly in the Third World countries, have re-activated interest on the development of traditional medicines for use in health care systems, all over the world. This trend has called for scientific verification of the efficacy and toxity of these medicines. The new advances require thorough ethnobotanical investigations on medicinal plants; on the traditional uses of the plants; and the mode of preparation of the medicines by the traditional healers. This paper discusses the Tunisian experience on the ethnobotanical survey of medicinal plants. The data obtained in these investigations, are compared with those reported in countries neighbouring Tunisia.

Introduction

During the second half of the twentieth century, there has been rapid technological development in the search for new drugs. Third World laboratories have been "invaded" by newer and more efficient equipment to handle the isolation and identification of the active principles of plants. During the same period, computers have radically transformed, not only our working and living habits, but also our way of thinking.

Despite the above changes, it has been noted that there is paradoxically a trend to return to nature, and to "soft" medicine. Currently research is being carried out almost everywhere in the world, to try to rehabilitate traditional medicine.

In the developed countries, research to rehabilitate traditional medicine has mainly been a result of industrial development, which was geared towards production and consumption, but overlooked the dangers of such consumption. An awareness of the fact that the use of some drugs is dangerous, has led to a scenario whereby people want to go back to the roots, or to the use of medicinal plants.

In the Third World, economic factors have had a role to play in the use of medicinal plants. Due to the economic crisis, some countries are trying very hard to reduce the health budget, particularly the cost of drugs, by advocating the use of medicinal plants and other natural resources.

How can the resources of traditional medicine be used in a rational way? To answer this question, five steps must be followed: (a) taking stock of the resources of traditional medicine; (b) studying similarities in neighbouring countries; (c) modernizing the farming techniques of medicinal plants; (d) establishing procedures for the processing, quality control and standards of plant-derived products; and (e) testing the inocuity and efficiency of plant-derived products, including toxicological tests.

We now turn to a more detailed description of the above steps, with special reference to the experience obtained in Tunisia.

Stock-taking of the resources of traditional medicine

A research was carried out using a questionnaire which was distributed to primary and secondary school teachers all over the country. The research enabled the establishment of an inventory of about 1250 plants used in traditional medicine in Tunisia. Further field research was carried out in most of the regions in the country, and this helped to add 191 more plants to the inventory.

Similarities with neighbouring countries

The neighbouring countries selected for the study were Algeria and Morocco. In Algeria, Merabet carried out research in 1982, and in Morocco, Bellakdar edited a book on traditional medicine in Western Sahara in 1978. He came out with a list, of 250 species.

The study by the current author has managed to establish a list of 24 species which are used in the same way in the three countries, and 41 species which have; the same indications in at least two countries. The traditional use of 18 of the species in the inventory corresponds to characteristics which are already known, or which can be shown scientifically.

The second step described above is necessary, as it adds to the field research, and enables the researcher to sort out the plants listed in the inventory.

Modernization of the farming techniques of medicinal plants

The percentage of active principles found in the plant itself can be improved by genetic engineering and agricultural production of the plants. We will quote here an example of the results obtained with Solanum sodomeum L., a source of solasodine, a raw material which can be used for the semisynthesis of steroid hormones. The species was improved through farming techniques, and the percentage of solasodine was increased from 2.2% to 4.2%.

Establishing procedures for the processing, quality control and standards of plant-derived products

In order to maintain quality, rigid standards have to be set for plant-derived products. A law was passed in 1985 to govern the pharmaceutical industry and the different articles relating to the execution of the law are being worked out.

Testing the inocuity and efficiency of plant-derived products, including toxicological tests

Although an inventory of at least 18 plants (whose activity was demonstrated scientifically) was made, this is not always done for most of the plants used in traditional medicine. This motivated the author and his associates to undertake research aiming at testing the activity of some plants.

(a) Anti-bacterial and anti-fungal activity

16 plants were tested against 4 bacteria and 6 fungi species by using the technique of dilution, in a freezing solid environment. Six plants revealed an activity estimated at 5mg/ml, which can compare with the antibiotic, streptomycin, and the antifungal agent, griseofulvin. The six plants were: Pistacia lentiscus, Peganum harmala, Agave americana, Anonis natrix, rubus discolor and Ruta montana.

(b) Plants with cytotoxic activity

22 extracts were tested for their cytotoxic activity. The tests used were those which have been recognized by the C.C.N.S.C., using human cancerous cells (KB), and murine cells. The extract from Pergularia tomentosa was the only one which revealed an activity estimated at DI50 = 20 mg/ml.

(c) Algae used as vermifuge

Alsidium coralinum was tested by HPLC, and kainic acid was found to be present. This acid was isolated by Fuhrman in 1981 from another alga, Digenia simplex, and its vermifuge activity has been demonstrated.

(d) Plants with anti-inflammation activity

Calendula arvensis is used in traditional medicine in Tunisia to treat rheumatism. Several components were isolated and identified, such as amino acids, phenol acids, flavonoids and particularly saponosides. The study on anti-inflammation was carried out using the carragenine test. By measuring levels of hormones such as cortisone and haptoglobin, it was possible to isolate and identify a saponoside, arvensoside "A", which could be the source of this activity.

Discussion and conclusions

The testing of the above activities, and the search for new active principles need great human and material resources. However, we are of the opinion that the best way to carry out and implement successfully a programme which aims at studying the use of traditional cures derived from plants, is to work in an environment which has the following combination of factors:

(a) the use of plant-derived cures must be socially acceptable;

(b) there must be expertise in the agricultural and pharmaceutical fields; and

(c) there must be an industrial infrastructure, which deals with the transformation of traditional collections into scientific formulae, which can be prescribed and administered, according to recognized professional medical practice.

Chemical and pharmacological studies of marketed traditional drugs

MESFIN BOGALE*, B.K. NOAMESI** and ERMIAS DAGNE*

*Department of Chemistry
Faculty of Science, Addis Ababa University
P.O. Box 1176, Addis Ababa, Ethiopia

**Department of Pharmacology
Faculty of Pharmacy
University of Science and Technology
Kumasi, Ghana.

Introduction

Most of the medicaments used in the traditional medicine of Ethiopia, as indeed in many other countries, are of plant origin. These traditional medicines are obtained in most cases from healers. However, the very common medicaments are obtainable from vendors.

In most markets one does not fail to find a corner which could be considered as an "open pharmacy" and where medicinal plant preparations are spread out to attract the attention of customers. Vendors do not usually prescribe as the customers are quite knowledgeable about the type of drug they wish to purchase.

A survey of 19 medicinal plant markets of Central Ethiopia (Kloos et al. 1978) identified over 40 common medicinal plants sold routinely. This survey showed that Ethiopia has a rich medicinal plant resource. The interdisciplinary studies of clinicians, chemists, pharmacists, botanists agronomists and anthropologists is necessary to develop more efficient uses for these potential resources. Table 1 summarises the results of the survey of Kloos et al.

The proper authentication of medicinal plants and identification of the active ingredients, is invaluable in the assessment of the pharmaceutical value of the traditional medicines. Although the usage of most of the marketed traditional drugs does not require special knowledge, there are instances where overdosage leads to toxic effects, particularly in the use of anthelmintics. Pharmacological studies, therefore, help not only to determine efficacy of these traditional preparations, but also to establish required dosages.

In this paper, we report the results of a study on one of the marketed drugs of Ethiopia. In the indigenous system of medicine in Central Ethiopia, the roots of Taverniera abyssinica (Leguminosae) are known in the Amharic language as 'Dingetegna' signifying "medicine for sudden illness'. The roots are chewed to alleviate severe stomach pain and fever.

T. abyssinica is an endemic species occurring in Ethiopia and grows up to 2 m high in bushland or on limestone, at altitudes between 1700 and 2200 m. Taverniera belongs to a relatively small genus containing only 15 species found in arid regions, from Egypt to India (Thulin, 1983). Three other species are also known to occur in Ethiopia.

Phytochemical investigations of the roots have revealed the presence of a number of compounds including the isoflavonoids formononetin, afrormosin and the pterocarpans medicarpin and 4-hydroxymedicarpin (Duddeck et at., 1987). It has also recently been shown that extracts of the roots of this plant exhibit antipyretic and analgesic properties (Dagne et al, 1990).

The present investigation has been undertaken to evaluate the spasmolytic and other pharmacological activities of the extract of this plant, in order to establish an ethnopharmacological basis for its use in traditional medicine.

Materials and methods

Plant material

The plant material used in this study was purchased from the main market in Addis Ababa from traditional medicine vendors. For botanical authentication of the plant material as T. abyssinica and for voucher specimens see Duddeck et al. (1987).

Extraction

The powdered root (100 g) of T. abyssinica was soaked in 75% ethanol in water for 24 hrs. The concentrated extract was further extracted with butanol. The butanol extract was successively refluxed for 20 min. each with ethyl acetate, acetone and ethanol. The ethanol portion was used to test on the different models. The other extracts were devoid of pharmacological activity.

Pharmacological tests

Four experimental models were employed to investigate the effects of the extract: anti-ulcer, antiasthmatic (in vivo), oxytocic (both in vivo and in vitro) and the isolated guinea-pig ileum. The extract was found to have an effect only on the isolated guinea pig ileum.

Isolated guinea-pig ileum

Adult guinea-pigs weighing 250-350 g were used. Heal segments (ca. 2-3 cm long) were taken from the caecal end. The muscle was suspended in warm (37° C) Tyrodes solution aerated with atmospheric air in a 20-ml organ bath. Contractions of the smooth muscle were monitored by means of the Ugo Basile isotonic transducer with 1 g tension and recorded on the Ugo Basile Gemini 7070 two-channel recorder at a chart speed of 5-mm/min. The tissue was allowed to equilibrate in Tyrode's solution for 30 min. Control contractile response were obtained for acetylcholine. A contact time of 30 sec. and time cycle of 3 min. was maintained. The extract was then introduced into 500 ml of Tyrode's solution in different concentrations. Using this solution acetylcholine-induced contractile responses were again elicited after giving 20 min. for the tissue to equilibrate every time a fresh solution containing a higher concentration of the extract was used.

In another set of experiments, the effects of the extract of the contractile response of the ileum to histamine were similarly investigated.

Statistical analysis

The given data represent mean ± S.E.M. and the statistical significance was evaluated by the Student t-test.

Results

The extract produced no changes on the resting tone of the isolated guinea-pig ileum, i.e. neither a spasmogenic action nor a relaxation of smooth muscle was observed at any of the concentrations tested. Acetylcholine at concentrations of 5, 10 and 20 ng/ml produced concentration- dependent contractions of the ileum. The acetylcholine-induced contractions were significantly (p < 0.001) antagonized by the extract at 500 and 800 ng/ml. Fig. 1 illustrates a typical effect of the extract on the ileal response to acetylcholine and the results are presented in Table 1.

In the presence of the extract, maximal responses to acetylcholine could not be reestablished by increasing the concentrations of acetylcholine. Histamine at 10, 20 and 40 ng/ml also contracted the guinea-pig ileum in a concentration-dependent manner. The inhibitory effects of the extract on the isolated guinea-pig ileum contractions to histamine are illustrated in Fig. 2 and the results are presented in Table 2. As was observed for acetylcholine, in the presence of the extract, maximal responses to higher histamine concentrations were also not attained.

Discussion

Spasms of the gastrointestinal tract and gastric hyperacidity contribute to the symptoms of stomachache. In orthodox pharmaceutical preparations, such as, belladonna extracts, containing alkaloids of the atropine type, are often included in formulations for stomach ailments, because of their spasmolytic actions against acetylcholine-induced spasms (Weimer, 1980). Histamine mediates gastric acid secretion, acting through the H receptors and has been shown to be responsible for gastric pain, particularly in ulcers. To antagonize the histamine, gastric activity H receptor antagonist drugs like cimetidine, have been designed (Douglas, 1980).

Our present preliminary pharmacological investigations of T. abyssinica have illustrated the ability of the extract to antagonize the smooth muscle spasmogenic actions of both acetylcholine and histamine, two of the most important spasmagens responsible for hyperactivity of the gastrointestinal tract. The non-attainment of the maximum control response of acetylcholine and histamine in the presence of the extract suggests the non-competitive nature of the antagonism.

The above findings show that the extract of this plant possesses analgesic and antipyretic properties, confirming the significance of this traditional drug in ethno-medicine.

Acknowledgements

This work was supported by a grant from the Swedish Agency for Research Cooperation with Developing Countries (SAREC).

References

Dagne, E., Yenesew, A., Capasso, F., Mascolo, N., Pinto, A. and Autore, G. (1990). Ethiopian Med. J. (in press).

Douglas, W.W. (1980). "Histamine and 5-HT and their antagonists". In Gilman, A.G., Goodman, L.S. and Gilman, A. (Eds), The Pharmacological Basis of Therapeutics, Macmillan Publishing Co., New York.: 609 - 646.

Duddeck, H., Yenesew, A. and Dagne, E. (1987). Bull. chem. Soc. Ethiopia 1: 36-41.

Kloos, H., Tekle, A., Yohannes, L.W., Yosef, A. and Lemma, A. (1978). Ethiopian Med. J. 16: 33-43.

Thulin, M. (1983). Opera Bot. 68 : 186-188.

Weimer, N. (1980). "Atropine, scoplolamine and related anti- muscarinic drugs". In Gilman, A.G., Goodman, L.S. and Gilman, A. (Eds), The Pharmacological Basis of Therapeutics. Macmillan Publishing Co., New York: 120-137.


Fig.1. Typical trace showing the contractile responses of the guinea-pig ileum. 'A' shows control responses induced by ACh 5, 10, 20, 40, 80 and 160 ng/ml and 'B' shows responses of the ileum for ACh 0.08, 0.16, 0.32, 0.64, 1.28 and 2.56 ug/ml in the presence of 500 ug/ml of the extract.


Fig.2. Typical trace showing the contractile responses of the guinea-pig ileum. 'A' shows control responses induced by histamine 5, 10, 20, 40, 80 and 160 ng/ml and 'B' shows responses of the ileum for histamine 0.08, 0.16, 0.32, 0.64, 1.28, 2.56 and 5.12 ug/ml in the presence of 500 ug/ml of the extract.

Table 1: Some traditional medicinal plants marketed in Ethiopia

Plant species

Vernacular name

Plant part

Major use

Hagenia abyssinica

Kosso

Flowers

Taenicide

Embelia schimperi

Enkoko

Fruits

Taenicide

Glinus lotoides

Metere

Seeds

Taenicide

Croton macrostachys

Bisana

Bark

Taenicide

Myrisine africana

Kechemo

Seeds

Taenicide

Cucurbita pepo

Dubba

Seeds

Taenicide


Arusi kosso

Root

Taenicide

Silen macroselen

Wogert

Root

General Medicine

Echinops sp.

Kabaricho

Root

General Medicine

Ajuga remota

Armagusa


General Medicine

Withania somnifera

Gizawa

Stem

General Medicine

T. abyssinica

Dingetegna

Root

General Medicine

Ruta chalepensis

Tena adam

Leaves/fruit

General Medicine


Altit

Resin

General Medicine

Leonotis velutina

Ras-kimir

Leaves

General Medicine

Lepidium sativum

Feto

Seeds

General Medicine

Pychnostachys sp.

Famfa

Leaves

General Medicine

Phytolacca dodecandra

Endod

Fruit

General Medicine

Cucumis prophetarum

Yemeder-embway

Hoot

General Medicine

Artemisia afra

Chukun

Stem/leaves

General Medicine

Vernonia amygdalina

Grawa

leaves

General Medicine

Aloe sp

Setret

Leaves

General Medicine

Thymus serrulatus

Tosin

Leaves

Expectorant

Rubus sp.

Enjore

Leaves

Expectorant

Lantana trifolia

Kase

Leaves

Expectorant

Rubia discolor

Encheber

Roots

Expectorant

Ocimum sp.

Dama-Kasseh

Leaves/Stems

Expectorant


Taibedle

Leaves

Tonic


Ofgahng

Leaves

Tonic

Myrtus communis

Addes

Leaves

Tonic

Coriandrum sativum

Dembelal

Leaves

Tonic

Cymbopogon citratus

Tej-sar

Leaves

Tonic

Rutex abyssinicus

Mekmeko

Root

Tonic

Foenicalum vulgare

Ariti

Leaves/Stem

Tonic

S. longipendunculata

Etsemenahe

Root

Medicomagical

Lagenaria spp.

Kel

Fruit

Medicomagical

Commiphora sp.

Karbe

Resin

Vulneraries


Dechemarech

Root

Vulneraries

Verbena officinale

Attuch

Leaves

Digestant

Laggare sp.

Kaskase

Leaves

Digestant

Table 2: Traditional medicinal drugs available at the market of Addis Ababa according to a cursory survey conducted in February 1990.

Plant species

Vernacular name

Plant part

Major use

Cymbopogon citratus

Tej-sar

Leaves

Buda-besheta

Achyranthes aspera

Attuch

Roots

Dysentery

Mytrus communis

Addes

Leaves

Dysentery

Allium cepa

Nech-shenkurt

Bulb

General Medicine

Echinops sp.

Kabaricho

Roots

General Medicine

Lepidium sativum

Fetto

Seeds

General Medicine

Ocimum lamiifolium

Dama-kasseh

Leaves

General Medicine

Silen macrosilen

Wogert

Roots

General Medicine

Withania somnifera

Gizawa

Stem

General Medicine

Impatients tinctoria

Ensosela

Leaves

Rheumatism

Ajuga remota

Armagusa

Leaves

Stomach

Artemisia afra

Chukun

Seeds

Stomach

Artemisia rehan

Arriti

Leaves

Stomach

Ruta chalepensis

Tena-adam

Leaves

Stomach




seeds

Taverniera abyssinica

Dingetegna

Roots

seeds

Embelia schimperi

Enkoko

Fruit

Taenicide

Ghinus lotoides

Metere

Seeds

Taenicide

Cucurbita pepo

Duba

Seeds


Hagenia abyssinica

Kosso

Flowers

Taenicide

Dovyalis abyssinica

Koshim

----

Wounds


Senafech

Seeds

---


Kosseret

---

---

Osyris abyssinica

Kerett

Roots

---

Research into medicinal plants: The Somali experience

ABDULAHI S. ELMI

Department of Pharmacology
Somali National University
Mogadishu (Somalia)

Introduction

Herbal drugs have a considerable use throughout the World. In the past centuries, such use was understandably more extensive when related to the density of the populations. Treatment with herbal drugs seemed to be destined to vanish with the development of biomedicine. Instead, what actually happened is that despite the expeditious and impressive progress of "modern medicine" in the course of this century, ethnomedicine has remained the chief therapeutic reliance for hundreds of millions of people.

People have recourse to herbal drugs for a variety of reasons. A large number of persons depend on medicinal plants, mainly because they have no access to modern medicine. These people mostly live in rural areas, or in peripheral slums of big cities. For some people, especially in economically developed countries, plant-derived drugs are associated with memories of good old days. Nostalgia for grandmother's remedies are an inducement for many to try such remedies. Certain people believe that natural products have great efficacy while being devoid of toxic effects. Some people rely on modern medicine for certain diseases, while for others they resort to traditional medicine.

The use of herbal drugs by many is the result of balanced judgement based upon personal experiences, or acquired through reliable scientific sources. Whatever the reasons behind the utilization of herbal drugs, the merits of this system of treatment is unquestionable. It is unfortunate that some people associate it with the nostalgia of the past or link it with poverty. Herbal drugs are neither the medicines of the poor alone nor the remedies for nostalgic people; they are not merely a great potential for delivering health care for all in the future; they are actually an important tool for treatment of millions of people of different culture, social class and status throughout the world.

In today's world therapeutic year of armamentarium, plant products are well represented. Farnsworth points out that one quarter of the total prescription drugs in industrialized countries contain one or more components derived from plants.

Furthermore, scientific research has very often shown that in spite of being based on empirical systems, traditional herbal remedies are the result of long standing positive experience.

It is time that the experience of so many generations be placed at the service of modern man without loosing time or necessarily making use of expensive and sophisticated methods. The goal of improving and exploiting the use of medicinal plants in health care can be achieved with relatively easy means and in reasonable time.

Herbal drugs in Somalia

Traditional medicine uses different methods for curing diseases. The Somali traditional medicine could be divided into: (a) ceremonial healing and (b) practical treatments and herbalism.

Ceremonial healing:

This system is based on the celebration of specific rites. Some of these are purely religious. Others are located in the sphere of the magical and others are a mixture of both. The magic rites deal often with spirits and the treatments are mainly for mental or psychosomatic disorders. Famous among these rites are: the saar, hayaat, mingis, nuumbi, etc.. The religious treatments are based on the islamic teaching, that is the Koran, and give health to the true Muslim believers. Religious healing is for both organic and psychic diseases.

Practical treatments and herbalism:

These systems deal more properly with organic disorders. Most common among these are: (i) cauterization, (ii) scarification and blood letting, (iii) bone-setting, (iv) surgery, and (v) use of herbs. Traditional medical treatments are well approved and widely used by the Somali population. Surveys on traditional medical practices carried out by the Division of Pharmacology of the Faculty of Medicine in different times, showed very high prevalence of this type of medicine within both the rural and the urban communities. Among other information, one survey indicated that in the male population, the administration of herbs reached 73%. Several hundred plants are used in Somali traditional medicine. The confidence of the population to the ability of traditional herbalists is great. The use of plants is not devoid of spiritual rites. In the Somali traditional medicine, there is a great respect for the plant. Eradication of the whole plant is avoided, even if the used part is the root. This shows also a respect to the environment. Healers of the inter-riverine area do not consider the plant as a simple physical entity. Greater part of herbalists feel that the effect of a plant depends not only on its power, but also on the relationship between the collector and the plant itself. Usually, a healer avoids his shadow on the plant while collecting it. He says prayers or recites formulas before cutting the plant. The recited words or formulas may be words from the Koran or prayers to ancestors. It is important that the rules laid down by the ancestors be strictly followed.

Most herbalists make use of no more than 30-40 different plants. Nevertheless, the average number of plants known to the majority of healers is far greater than that. Many herbalists could easily list over 100 plants, indicating the purpose they are used for in traditional medicine. In this they are like the modern physicians, who in spite of the great armamentarium of drugs at their disposal, feel more convenient to prescribe few dozens of drugs during their lifetime. The average inventory of kinds of leaves, stem barks and roots in Mogadishu traditional herbalists' dispensaries do not exceed the number of 35-40 for each. While in the rural areas healers very often go out into the bush in order to collect their own herbs such is not the case in the cities. The herbalists who are also dispensary owners would employ an apprentice, or younger herbalist for this job. They also buy herbs by occasional suppliers. By doing so, much of the magical aureola is neglected. They prefer to pretend that their suppliers have complied to all traditional plant collecting regulations. Many herbalists of the cities probably do not give great importance to the "rules of the ancestors".

Herbalists of big centres may act as healers or simply as dispensers. In fact they may dispense herbs on simple request by the patient or according to another healer's prescription. This is quite a difference compared to their rural counterparts, who gather herbs upon clients needs. Traditional herbalists are allowed to practice their profession without restrictions. On the other hand, the law is not clear on whether clinical trials with plants could be performed.

Research experience

A programme of research into medicinal plants was established by the Somali National University in 1978. Investigation on plants used in traditional medicine is also one of the main lines of research of the Somali Academy of Sciences and Arts. The aims of the research that started in 1978 are:

(a) to foster the accomplishment of better use of medicinal plants lending to the necessary scientific support;

(b) to examine the credits of traditional use of medicinal plants in the light of modern science so as to encourage the use of therapeutically effective plants and discourage harmful ones;

(c) to promote the integration of proven valuable knowledge in herbal and modern medicine;

(d) to stimulate and cooperate in the realization of Somali traditional pharmacopoeia;

(e) to reduce the country's drug bill;

(f) to help in creating a national pharmaceutical industry;

(g) to aid in the therapeutic, economic and commercial exploitation of medicinal plants, by promoting their use, culture and exportation.

The research is a multi-disciplinary enterprise requiring the contributions of botanists, chemists, pharmacologists, and clinicians. At the Somali national University, the research on medicinal plants involves the Division of Pharmacology, Faculty of Medicine, the Section of Organic Chemistry, Department of Chemistry, and the Division of Botany at the Faculty of Agriculture.

At the very beginning, in 1978, we designed our programme just following the classical approach for drug research. Great importance was given to the isolation and structure elucidation of active compounds and pharmacological screening on them. After sometime, the team of research realized that the system chosen for the research was not the most appropriate to attain the aims of the programme at reasonable time. Further discussions brought about some changes and a decision was made that the research phases be as follows:

(a) Inventory of botanical identification of plants used in traditional medicine.
(b) Literature survey of the identified plants.
(c) Verification of efficacy of selected plants.
(d) Safety and toxicity assessment of active plants.
(e) Isolation, identification or structure alienation of active principles.
(f) In-depth pharmacological and toxicological evaluation of isolated active substances; and
(g) Production of drugs based on plants containing therapeutically valuable substances.

Extensive work has been accomplished on each of the above phases. The plants to be investigated upon are not chosen at random, but according to clearly set priorities. These priorities are linked to:

(i) the prevalence of the use of the plant among the population;
(ii) the prevalence of the disease for which the plant is used. Additionally, plants used for diseases which have no good cures in modern medicine, are given due consideration.

Regarding the inventory and botanical identification, information on the use of hundreds of plants has been collected by interviewing traditional herbalists. Many plant collecting expeditions have been carried out. All the collected plants have been identified. Samples of collected plants have been sent to internationally important herbaria.

Literature information has been collected for a relevant number of plants. This was partially carried out in Somalia. Lists of names (with synonyms) of identified plants were sent to the WHO collaborating Centre for Traditional Medicine at the University of Illinois, Chicago, USA, for search, through the NAPRALERT computer file. Literature printouts for most of the identified plant species have been obtained from the above Centre. The Medicinal Plants News-letter published by OAUSTRC, also reports literature information on medicinal plants.

Following the above system, extensive experimental research through the use of in vivo and in vitro pharmacological methods has been carried out. The performed activities include: isolated organ tests, antimicrobial and antiparasitic activity, anti-inflammatory activity, anti-ulcer activity and several others. Toxicological studies have been performed on a number of plants.

The isolation and identification of active principles has led to the elucidation of the structure of a number of compounds. Some of these compounds, such as, two 1,3-diarylpropan-2-ol derivatives, called quracol A and quracol B, are new compounds hitherto not found in plants. One of the positive results of this chemical research was the identification of a cocancerigenic compound (a phorbol diester) in a plant species, the oil of which was commercially exploited by a Government agency for use as a purgative.

The last step is the clinical evaluation of efficacy and safety. This is the most difficult phase, especially because of the ethical implications and the long time required for carrying out appropriately controlled clinical trials. We elaborated a strategy that would allow us to monitor some clinical effects before starting with controlled clinical trials. Since the traditional medical practitioners are allowed to practice their profession, we decided to assign a physician to a qualified and licenced healer. The healer's job was mainly observation of the healer while he practises. This arrangement was not difficult, because a practicing healer was in fact among the staff of the Division of Pharmacology. The observations yielded valuable information on several plants.

The research programme has given a lot of interesting and useful results. The new approach has shown to be better suited for the aims of the programme. Nonetheless, it has many shortcomings.

The experience has shown that it still neglects the most important and immediate objective of medicinal plants research in a developing country: the early utilization of these plants in Primary Health Care. Most of the research programmes in developing countries share these drawbacks.

More appropriate method for applicable research

The research into herbal drugs usually makes use of dried plants, while we know that such plants are normally administered by traditional medical practitioners in the fresh state. Moreover, the solvent used by the practitioners is water.

The classical method for research is to dry the plant, store it for some time and then subject it to extractions with different types of solvents. Thus the approach of the researcher is quite different from that of the operators of the type of medicine which is under evaluation. It is clear that the researcher directs the work in a way more compatible with the setup of the research facilities and methodologies. The latter are established according to drug research of pure chemical compounds. In fact the rest of the research sequence is testing on laboratory animals and later on clinical trials as is classically done with synthetic drugs.

Is this method appropriate for plant material? Many plants undeniably lose totally or partially their activity during the drying and storing process. Therefore biological as well as chemical studies must be performed on fresh plants. The use of solvents and fractionation may result in greater concentrations of active compounds and stronger activity. But this is not always the case. In fact, sometimes total activity decreases with fractionation.

The classical method gives undue importance to the isolation of pure active compounds from medicinal plants. While isolation and identification of single active compounds is interesting for studies of structure-activity relationships and may be stimulating for the scientist, it will not contribute to any significant extent to the solution of health problems of developing countries. It is imperative that research methodologies be made more respondent to the principles of traditional medicine and to improved objectives. We must consider that traditional medicine has, in many countries, greater prevalence and accessibility than modern medicine. There is no doubt that the trend will remain the same for many years to come.

For the hundreds of millions of people who live in rural areas, changes of attitude and the established use and acceptance of modern health care facilities will be very gradual. Therefore, the immediate useful arid most important contribution of scientists in this field is how to make the traditional curing systems safer and confirm or disprove the efficacy of the preparations which so many people make use of.

If research into medicinal plants is oriented to reach this very important goal, it can be carried out in an easier, quicker and cheaper way, than the methods which are normally applied in most research centres of developing countries. People in our countries are using herbal remedies although for most of them the toxicity has not been studied. It is the duty of scientists to investigate the toxicity of every product which is consumed by humans. One of the first investigations on all medicinal plants, regardless of their efficacy is, therefore, the study of their toxicity.

The second step is the evaluation of the activity for which the plant, or combination of plants, is used. If for nothing else, it is very unwise and wasteful to use something when it does not serve the purpose for which it is used.

Once enough information has been acquired on the safety and efficacy of a certain traditional remedy, this knowledge must be transferred to those who prescribe the treatments and, possibly, to the clients who make use of such treatments. Normally, the results on the investigations of plants remain in the drawers of the laboratories or in libraries as printed materials and they will never reach the user of the plants.

The method that we deem best respondent to the needs of our communities is as follows:

(a) toxicological study in two species of animals for acute and subacute toxicity;

(b) experimental evaluation of the activity for which the supposed remedy is used; and

(c) clinical evaluation for efficacy in humans (where possible this must be preceded by observation of the healer while using the remedy).

The fact that the plant is already used by healers on humans should not, by any means, save it from the necessary ethical obligations during clinical trials.

The advantage of this model is that the costly, sophisticated and time-consuming chemical studies of separation, subsequent fractionations and structure elucidation is avoided. These steps, in fact, are not necessary for the needed progress towards a better use of medicinal plants in health care. This approach takes into account the concepts of traditional and folklore medicine. We cannot expect that traditional medical practitioners make use of pure extracts, or fractions of the plants they use,

The organization of training courses and workshops with the participation of healers would contribute to the improvement of their knowledge and skills and to the consolidation of a safer and more effective community health care system. Healers trained and left to operate in their communities would be the best fabric for Primary Health Care.

The achievement of this goal would be the greatest satisfaction and victory for scientists engaged in research into medicinal plants.

Effect of nitrogen and phosphorus on the essential oil yield and quality of chamomile (Matricaria chamomilla L.) flowers

V.E. EMONGOR*, J.A. CHWEYA*, S.O KEYA* and R.M. MUNAVU**

*Crop Science Department, University of Nairobi
P.O. Box 29053, Nairobi, Kenya

** Department of Chemistry, University of Nairobi
P.O. Box 30197, Nairobi, Kenya

ABSTRACT

Field experiments were carried out to determine the effect of nitrogen (0, 50, 100, and 150kg N/ha) and phosphorus (0, 17.47, 34.93, and 52.41 kg P/ha) and their interactions on the essential oil yield and composition of chamomile. Nitrogen significantly increased essential oil yield and influenced its composition. Phosphorus did not significantly influence essential oil yield and composition, but low phosphorus rates (17.47 kg P/ha) tended to increase essential oil yield. High phosphorus rates decreased essential oil yield. Application of 17.47 kg P/ha at transplanting and top-dressing later with 50 kg N/ha gave the best results.

Introduction

Chamomile flowers contain an essential oil which is used in the manufacture of drugs for the treatment of such diseases as convulsions in children, diarrhoea, colic and acidity, hysteria, allergy, inflammation of body tissues, sleeplessness and stomach ulcers induced by chemical stress or heat coagulation (Martindale, 1977; Sticher, 1977 and Isaac, 1980). The essential oil also promotes epithelization and granulation, and shows antibacterial and antimycotic effects, through the activity of (-)-a-bisabolol and chamazulene (Isaac, 1979). The oil can also be used for flavouring liquors, colouring foods and making cosmetics (Bailey, 1949 and Kirk and Othmer, 1952). The essential oil content of chamomile flowers is in the range of 0.2-2.0% per unit dry flower weight (Martindale, 1977 and Franz, 1980). The composition and yield of essential oil may be affected by many factors, including plant nutrition (Franz et al., 1978 and Franz. 1982).

Work done elsewhere, and not in Kenya, has shown that nitrogen and phosphorus fertilization increases the yield and essential oil content of the flowers (El-Hamidi et al., 1965; Franz 1981; Singh, 1977 and Meawad et al. 1984). The authors further reported that nitrogen and phosphorus influenced oil composition. Although nitrogen and phosphorus increased chamazulene content in the essential oil, excess nitrogen decreased it. Franz (1983) reported that nitrogen increased the concentration of (-)-a-bisabolol but decreased that of bisabololoxide B. No work on chamomile has been conducted in Kenya.

The importance and usefulness of chamomile essential oil in the pharmaceutical, food, and cosmetics industries and the fact that Kenya is importing a lot of the essential oil, has led to the initiation of studies on chamomile. The objective of this study was to show the effect of nitrogen and phosphorus and their interactions on the essential oil yield and composition of chamomile flowers.

Materials and methods

Field experiments were carried out between August, 1985 and March, 1987 at the Field Station, Faculty of Agriculture, University of Nairobi. Chamomile seeds (variety max et oljea) were sown in the nursery and seedlings were transplanted four weeks after germination, when they had attained 6-7 true leaves. The treatments consisted of 4 levels each of phosphorus (0, 17, 47, 34.93 and 52.41 kg P/ha) and nitrogen (0, 50, 100, and 150 kg N/ha). These were combined factorially to give 16 treatment combinations which were laid down in a split-plot design with three replicates. Phosphorus and nitrogen treatments were allocated to main plots and sub-plots, respectively. Phosphorus and nitrogen were applied at transplanting time and two weeks after transplanting, respectively.

Harvesting of flowers started when 50% of the plants had flowered and continued for 98 days. At every harvest, only flower heads with more than 40% open tubular florets were harvested. The fresh flowers were dried to constant weight in an air-ventilated oven, at 35° C for 5 days and their dry weights were then determined and cumulated. The cumulated dry flowers were then used for extraction in order to determine the quantity and quality of the essential oil.

Determination of the quantity of the essential oil in the dried flowers was based on steam distillation. Clevinger apparatus were used for the extraction using the method described by Trease and Evans (1978) and Kornhauser (1986).

The qualitative analysis of the essential oil was done using gas liquid chromatography (GLC) as outlined by Kirk and Othmer (1952), Trease and Evans (1978) and Kornhauser (1986), with slight modifications on the conditions of the GLC. The conditions of the GLC used were as follows: Apparatus: Gow-mac series 69-750; column: 2.5 m long, 0.25 cm internal diameter; Packing: OV-1 on chromosorb W/HP (100-120); Temperature linear programming, 85- 175°C, 2.5°C per minute; Detector: Flame ionization; Injector temperature: 220°C; Detector temperature: 220°C; Column temperature: 170°C; Carrier gas: Nitrogen (flow rate 25 cm3 per minute); Attenuation: 16; Chart speed: 1 cm per minute; and Range: 10-11. The results presented are means of two trials.

Results discussions

Essential oil yield

Nitrogen fertilization significantly increased essential oil yield per both unit dry flower weight and hectare (Table 1). Increasing nitrogen from 0 to 100 kg N/ha increased essential oil yield per both unit dry flower weight and hectare from 0.627 to 1.036% (65% increase), and 5.85 to 16.64 kg (184% increase), respectively. Nitrogen rate above 100 kg N/ha decreased oil yield. Similar results were reported by El-Hamidi et at., (1965), Franz (1981), Agena (1974), Meawad, (1981) and Meawad et al. (1984); that is nitrogen increased chamomile essential oil content and yield. The increase of essential oil yield due to nitrogen fertilization could be accounted for by the fact that nitrogen played an active role in the development and division of new essential oil cells, cavities, secretory ducts and glandular hairs (Meawad 1981; Meawad et al, 1984 and Agena, 1974). Nitrogen may have increased the essential oil yield because of increased carbohydrate accumulation, gibberellins and auxins concentration in chamomile plants. These were then utilised in the formation of more essential oil cells in the secretory ducts, cavities or glandular hairs (Sacks and Kofranek, 1963; Moore, 1979; Agena, 1974 and Abou-Zeid and El-Sherbeeny, 1974).

Table 1: Effect of nitrogen on essential oil yield of chamomile plants

N rates kg N/ha

Essential oil yield per unit dry flower weight*

Essential oil yield per plant (Kg/ha)

0

0.627a

5.85a

50

0.869c

13.08b

100

1.036d

16.64b

150

0.811b

13.16b

* These values are ratios and hence they have no units

Effects of phosphorus and nitrogen and phosphorus interactions on essential oil yield per both unit dry flower weight and hectare were not significant.

Essential oil composition

Nitrogen fertilization significantly increased chamazulene, (-)-a-bisabolol and farnesene concentrations in the essential oil of the flowers (Table 2). Increasing nitrogen from 0 to 50 kg N/ha increased chamazulene, bisabolol, farnesene and cis-spiroether contents by 25, 13, 11 and 15%, respectively. Application of nitrogen above 50 kg N/ha led to a decrease in the contents of these constituents. However, bisabolol content increased throughout with increase in nitrogen. Similar results have been reported by Agena (1974), Franz (1981) and Franz (1983). The increase of chamazulene (matricine), bisabolol, farnesene, and cis-spiroether concentrations in the essential oil of chamomile flowers with increase in nitrogen application could be due to the decrease in the contents of bisabololoxides A and B with increasing nitrogen application. Amino acid metabolism in nitrogen-rich chamomile plants leads to the biosynthesis of chamazulene (matricine), bisabolol, farnesene and cis-spiroether at the expense of bisabololoxides A and B and vice versa (Franz, 1981 and 1983). This implies that the biosynthesis of basic hydrocarbon terpenes (matricine, farnesene and bisabolol) of chamomile are antagonistic to that of the oxygenated terpenes (bisabololoxides and bisabolonoxides).

Nitrogen application significantly decreased the concentrations of both bisabololoxides A and B in the essential oil of the flower (Table 2). Increasing nitrogen from 0 to 150 kg N/ha resulted in a decrease of 27 and 39% in bisabololoxides A and B concentrations, respectively. Franz (1981 and 1983) reported similar results.

Bisabololoxides (A + B) were predominant in the essential oil of the flowers, as they constituted on the average, 54.21% of the total constituents. Other constituents included bisabolol 6.02%, chamazulene 7.76% farnesene, 13.65% and cis-spiroether 7.97%. Mr-lianova and Felklova (1983) reported similar results. They reported that bisabololoxides (A + B) contents in essential oil of chamomile flowers were over 50%. This can be attributed to the fact that the biosynthesis of bisabololoxide A and B, and bisabolol are controlled by dominant and recessive genes, respectively (Franz, 1982).

Phosphorus application and the interaction between nitrogen and phosphorus did not significantly influence essential oil composition of chamomile flowers.

Table 2: Effect of nitrogen on essential oil composition of chamomile flowers

N rates
kg N/ha

%
chamazulene

%
bisabolol

%
farnesene

%
cis-spiro ether

%
bisabololoxide A

%
bisabololoxide B

0

6.89a

5.17a

12.93a

7.38a

43.55d

22.69d

50

8.60c

5.84b

14.31b

8.46a

38.68c

18.11c

100

8.02bc

6.51c

13.84ab

8.13a

34.82b

15.09b

150

7.45ab

6.54c

13.90ab

7.90a

31.58a

13.20a

Figures followed by same letter(s) down the columns are not significantly different according to Duncan's multiple range test at 5% probability level.

Conclusion and recommendation

The study showed that application of 17.47 kg P/ha (40 Kg phosphorus pentoxide, P2O5/ha) during transplanting and two weeks later top-dressing with 50 kg N/ha, would ensure high essential oil yield which has good quality. The study also showed that nitrogen was important in the biosynthesis of essential oil and its components. However, it is recommended that more research should be done in the field of plant breeding, agronomy (varietal evaluation, plant nutrition, ecological zones), plant biochemistry and economic evaluation of chamomile growing in Kenya.

Acknowledgements

The authors are grateful to the University of Nairobi for financial assistance during the period of this study. They also wish to record their thanks to Dr. B.O. Mochoge of the Department of Soil Science for his assistance during the laboratory work.

References

Abou-Zeid, E.N. and El-Sherbeeny, S.S. (1974): A preliminary study on the effect of GA on quality of volatile oil of Matricaria chamomilla L., Egypt J. Physiol. Sci. 1: 63-70.

Agena, E.A. (1974): Effect of some environmental and soil factors on growth and oil production of chamomile (Matricaria chamomilla L.). Ph.D. thesis, Faculty of Agriculture, Ain Shams University, Egypt.

Bailey, L.H. (1949): Manual of cultivated plants, Macmillan Publishing Co. Inc., New York: 99-991.

El-Hamidi, A. Saley, M. and Hamidi, H. (1965): The effects of fertilizer levels on growth, yield and oil production of Matricaria chamomilla L. Lloydia 28: 245-251.

Franz, C. Holzl, J. and Vomel, A. (1978): Variation in the essential oil of Matricaria chamomilla L. depending on plant age and stage of development. Acta Hort. 73: 229-238.

Franz, C. (1980): Content and composition of the essential oil in flower heads of Matricaria chamomilla L. during its ontogenetical development. Acta Hort. 96: 317-321.

Franz, C. (1981): Zur Quabitation arznei and Gewurzplanzen Habilschrift Tumuchen: 280 Habilitations Schrift, Weinhenstephan: 301-307.

Franz, C. (1982): Genetic, ontogenetic and environmental variability of the constituents of chamomile oil from Chamomilla recutita, Freising-Weinhestephan D-8050/F.R.G.: 299-317.

Franz, C. (1983): Nutrient and water management of medicinal and aromatic plants. Acta Hort. 132: 203-215.

Isaac, O. (1980): Antibacterial and antimycotic effects of bisabolol. Dtsch. Zeg. 120: 567.

Kirk, R. E. and Othmer, D.F. (1952): Encyclopedia of chemical technology 9: 569-591.

Kornhauser, A. (1986): UNESCO University-Industry Co-operation Project on Matricaria chamomilla L., Seminar/Workshop Nairobi. Kenya.

Martindale, W. (1977): The extra pharmacopoeia, 27th edition: 1011- 1021.

Meawad, A. A. (1981): Physiological and anatomical study on gladiolus. Ph.D. thesis, Faculty of Agriculture, Zagazig University, Egypt.

Meawad, A. A., Awad, A. E. and Afify, A. (1984). The effect of nitrogen fertilization and some growth regulators on chamomile plants. Acta Hort. 144: 123-134.

Moore, T.C. (1979): Biochemistry and physiology of plant hormones, Springer Verlag Inc., New York, U.S.A.: 90-142.

Mrlianova, M. and Ferklova, M. (1983): Content of bisabololoxides in flower heads of Matricaria chamomilla L., Farm obz. 52: 257-266.

Sacks, R. M. and Kofranek, A. M. (1963): Comparative cytohistological studies on inhibition and promotion of stem growth in Chrysanthemum morifolium. Amer. J. Bot. 50: 772-779.

Singh, B. (1977): Cultivation and utilisation of mediana (Matricaria chamomilla L.) and aromatic plants in Afal and Kapur, India, RRL. Jammu-Tawi: 350-352.

Sticher, O. (1977). New natural products and plant drugs with pharmacological, biological or therapeutical activity, Proc. 1st Internat. Congress Med. Plants Res., Sec. A., Univ. Munich, Germany: 136-176.

Trease, G. E. and Evans, W. E. (1978): Pharmacognosy. 11th edition, Bailliere, Tindall, London: 255-281, 405-474.

Chemical characterization of pharmacologically active compounds from Synadenium pereskiifolium

KERSTIN HERMANSSON*
LENNARD KENNE*, GEOFREY M. RUKUNGA**
GUNNAR SAMUELSSON*** and W. M. KOFI-TSEKPO**.

* Department of Organic Chemistry, Arrhenius Laboratory,
University of Stockholm, S-106 91 Stockholm, Sweden.

** Kenya Medical Research Institute
Traditional Medicines and Drugs Research Centre
P.O. Box 54840, Nairobi, Kenya.

*** Department of Pharmacognosy
University of Uppsala, Biomedicum
P.O. Box 579, S-751 Uppsala, Sweden.

ABSTRACT

Synadenium pereskiifolium (Baill.) Guill (Euphorbiaceae) is the key plant among the six plants which are used in the preparation of an anti- asthmatic drug regimen by traditional doctors. Although this plant belongs to the family of poisonous plants, traditional doctors have used it effectively in the treatment of asthma for decades with no adverse effects. Phytochemical screening of the aqueous extract of this plant revealed the presence of glycosides, terpenoids, flavonoids and other phenolic compounds. In order to characterize the pharmacologically active compounds from the aqueous extract of S. pereskiifolium, a method was adopted that was based on ion exchange, gel nitration on sephadex and extraction with organic solvents.

Introduction

Synadenium pereskiifolium (Baill.) Guill, belongs to the family Euphorbiaceae. The plant is used in the preparation of various traditional medicines, the most important preparations being an asthma remedy. S. pereskiifolium has been reported in the literature (Verdicourt and Trump, 1969; Watt and Breyer-Brandwijk, 1962) as a poisonous plant and no therapeutic value has to-date been ascribed to it. There are several publications which have mentioned other plants used traditionally for the treatment of asthma (Adjanohoun, 1983; Oliver, 1960; Nad Karni, 1976; Kokwaro, 1976; Watt and Breyer-Brandwijk, 1962). None of the publications have mentioned S. pereskiifolium as a drug plant for asthma. Yet in the preliminary study in our laboratories, medicines prepared from this plant by a traditional medicineman have shown very promising therapeutic effects on man. Preliminary phytochemical screening revealed that the leaves and stems of the plant contained glycosides, flavonoids and terpenoids.

An aqueous extract of the stems and leaves of S. pereskiifolium showed both contracting and inhibition activity of the isolated Guinea pig ileum. The aqueous extract was thus subjected to a bioassay-guided fractionation according to the scheme for preliminary chemical characterization of pharmacologically active compounds in aqueous plant extracts (Samuelsson et al., 1985).

Experimental

Solutions were concentrated under reduced pressure at temperatures not exceeding 40°C. Proton nuclear magnetic resonance (1H-NMR) spectra were obtained at 270 MHz, and Carbon-13 nuclear magnetic resonance (13C-NMR) spectra were taken at 67.8 MHz on a JOEL GSX-270 spectrometer using sodium 3-trimethysilyl-propanoate-d4 i (TSP, 1H-NMR, D2O) and 1, 4-dioxane (13C-NMR, D2O; 67.40) as internal references. Spectra were obtained at 70°C. Separation of 2-butyl glucosides was performed on Hp-54 fused-silica capillary columns (30 m × 0.3 mm) at 190-250°C, 3°/min. A Hewlett Packard 5970 MSD gas chromatograph - mass spectrometer (GC-MS) was used for GC-MS analysis. Positive FAB-MS spectra were obtained on a JEOL Dx-303 spectrometer.

Plant material

Fresh aerial parts of S. pereskiifolium were collected from South Nyanza, Kenya and transported to Sweden by airfreight. The identity of the plant was established by Dr. Mats Thulin, Department of Systematic Botany, University of Uppsala, Sweden.

Extraction

The fresh material (1.2 kg) was cut to small pieces in a blender with rotating knives and extracted in water (81) by stirring at room temperature overnight. The extract was filtered, concentrated in vacuo in a cyclone evaporator and lyophilized, yielding crude material (41.9 g).

Isolation of glucosides

Crude extract (10 g) was dissolved in water (100 ml) and acetone (1 l) was added with stirring. The precipitate which formed was recovered and lyophilized, yielding 8.0 g of material. An aqueous solution of this material was applied on Dowex 50 (H+) (160 ml) and eluted with water until the effluent was colourless. The eluate was neutralized with ammonia, concentrated in vacuo and lyophilized, yielding 5.0 g of material. The water eluate was partitioned between water (300 ml) and n-butanol (5x200 ml). The aqueous phase was concentrated in vacuo and lyophilized, yielding 4.8g of material. Part of this material (2.5g) was subjected to flash chromatography on silica gel (180 g) eluating with methanol: acetic acid: chloroform (85:10:5v/v). The separation was monitored by thin layer chromatography (TLC) using ethanol: acetic acid: propanol (50:30:10 v/v) and the compounds were visualized by spraying with anisaldehyde-sulphuric acid. One fraction contained a component which gave a green spot on TLC. The solvent from this fraction was evaporated and the material was lyophilized (0.9 g). Further purification of the material (100 g) was performed on Sephadex LH 20. Eluation was performed with water and the separation was monitored by TLC. Fractions containing the compound giving a green spot were combined and lyophilized (56 mg). The yield corresponded to 8.9% of the original aqueous extract of the plant and 0.3% of the fresh plant material. Part of the material was transformed to the acid form by passing it through Dowex 50 (H+). The sodium salt was obtained by evaporating part of the material with sodium bicarbonate followed by purification on a column of Bio-gel P-2. The material was analysed by MS and NMR spectroscopy.


Figure

Acid hydrolysis of the glucoside

The glucoside (43 mg) was treated with 2M trifluoroacetic acid for two hours at 120°C. The reaction mixture was purified over Bio-Gel P-2, eluted with water. A fraction containing pure aglycone was obtained and the latter was shown to be malic acid by NMR and MS spectroscopy and comparison with authentic L-malic acid. Glucose was also isolated from the reaction mixture and identified by sugar analysis and 1H-NMR spectoscopy.

Determination of the absolute configuration

The glucose (2.7 mg) was treated with 2M hydrochloric acid in (+)- 2- butanol (0.2 ml) at 80° for eight hours in a sealed tube (Gerwig, et al, 1978). The mixture was neutralized with silver carbonate and then evaporated to dryness over phosphorus pentoxide. Part of the material was analysed by GC-MS and another part was silylated with a mixture of trimethylchlorosilane-hexamethydisilane (1:3) in pyridine at 22° for thirty minutes, concentrated to dryness, dissolved in ethyl acetate and then analysed by GC-MS. Authentic D-glucose and L-malic acid were treated with racemic and (+)-2-butanol in the same way and injected as references.

Results and discussion

The compound giving green colour with anisaldehyde-sulphuric acid was isolated from S. pereskiifolium as described in the experimental section. Analysis of the 1H and 13C-NMR spectra (Table 1 and 2) showed that the substance consisted of one sugar residue and an aglycone which had one CH2 group, one CH group and two carbonyl carbons. 1H-NMR chemical shifts and coupling constants of the signal from the sugar residue indicated a D- glucopyranoside. The 1H- and 13C-NMR chemical shifts of the CH-signal indicated the presence of a CH-O group (Table 1). Positive FAB-MS produced an ion at m/z 319 (M+Na+) which corresponds to a molecular weight of 296 for the compound. These data, together with the sugar analysis and the determination of the absolute configuration, demonstrated that the substance consists of a b-D-glucopyranosyl group, linked to a hydroxylated dicarboxylic acid. The latter was isolated after acid hydrolysis of the glucoside and separation of the products by chromatography on Bio-Gel P-2.

The 1H-and 13C-NMR spectra of the dicarboxylic acid were compared and found to be identical with spectra of malic acid.

Determination of the absolute configuration of the acid by GC-MS after reaction with 2-(+)-butanol demonstrated it to be L-malic acid. No separation of the D-and L- forms of malic acid could be obtained after the hydroxyl group of the butyl ester was silylated. On the basis of these results, structure 1(2-O-b-D-glucopyranosyl-l-malic acid) was proposed for the isolated compound. This compound inhibited electrically stimulated contractions of the Guinea pig ileum eight times more than the original total aqueous extract. To our knowledge this compound has never been found in higher plants, but itself and the similar D-tartaric acid glucoside have been synthesized by Helferich and Arndt (1965).

Acknowledgements

This work-was partly sponsored by the International Program in the Chemical Sciences at the University of Uppsala, Sweden, which is hereby gratefully acknowledged. Preliminary work was done at the Department of Traditional Medicines and Drugs Research Centre, Kenya Medical Research Institute. A traditional doctor, Mr. C. Obuya, is also gratefully acknowledged for the basic information he gave on the use of the plant.

Table 1: 1H-NMR. Chemical shifts (d values) of 1 isolated from Synadenium pereskiifolium and of L-malic acid (coupling constants Hz in parentheses)

Compound

H-1

H-2

H-3

H-4

H-5

H-6a

H-6b

H-2

H-3a

H-3b

Glucoside (H+)

4.58
(7.9)

3.34
(9.1)

3.50
(9.2)

3.41
(9)2

3.43

3.88
(1.6,5.1)

3.72
(12.3)

4.78
(5.7)

2.991

2.991

Glucoside (Na+)

4.47
(7.9)

3.36
(9.2)

3.50
(9.2)

3.40
(9)2

3.41

3.89
(1.8,5.5)

3.70
(12.5)

4.55
(9.5,3.3)

2.66

2.49
(-14.7)

L-malic acid (H+)








4.61
(6.8,5.0)

2.93

2.84
(-16.5)

L-malic acid (Na+)








4.28
(9.3,3.5)

2.67

2.40
(-15.6)

Notes

1. The coupling constant could not be obtained from the spectrum. 9 Hz gave the best result in spin simulation experiments.

2. Unresolved signals.

Table 2: 13C-NMR Chemical Shifts (d values) of 1 isolated from Synadenium pereskiifolium and L-malic acid

Compound

C-1

C-2

C-3

C-4

C-5

C-6

C-1

C-2

C-3

C-4

Glucoside (H+)

102.87

73.97

76.55

70.41

76.87

61.63

174.92

74.47

38.62

174.54

Glucoside (Na+)

102.50

74.14

76.99

70.58

76.98

61.81

179.98

79.12

42.92

179.60

L-malic acid (H+)







176.60

67.07

38.98

174.62

L-malic acid (Na+)







177.71

63.53

39.65

176.66

References

Adjanohoun. (ed.) (1983): Traditional Medicine and pharmacopoeia. Agence de Cooperation Culturelle et Technique (Agency for Cultural and Technical cooperation), Paris.

Gerwig, G.J., Kamerling, J. P. and Vliegenthart, J.F.G. (1978): Carbohydr. Res. 62: 349.

Helferich, B. and Arndt, O. (1965): Ann. Chem. 686: 206.

Kokwaro, J. O. (1976): Medicinal Plants of East Africa. East African Literature Bureau. Nairobi.

Nodharni, A. K. (1976): Dr. K. M. Nadkarni's Indian Materia Medica. Popular Prakashan Private Ltd. Bombay.

Oliver, B. (1960): Medicinal Plants of Nigeria, Nigerian College of Arts, Science and Technology, Ibadan.

Samuelsson, G., Kyerematen, G. and Farah, M.H. (1985): J. Ethnopharmacol. 14: 193.

Watt, H.M. and Breyer-Brandwijk, M.G. (1962): The Medicinal and poisonous plants of Southern and Eastern Africa. E. & S Livingstone Ltd. London: 437.

Abietane diterpene quinones from lepechinia bullata

L. T. JONATHAN

Faculty of Science, Chemistry Department
National University of Lesotho
P.O. Roma 180
LESOTHO

ABSTRACT

Three cytotoxic abietane diterpene quinones, horminone, 7-O-methylhorminone and 6,7-dehydroroyleanone have been isolated for the first time from a methanol (MeOH) extract of Lepechinia bullata (Kunth) Epling (Labiatae). 7-O-methylhorminone is a new natural product, whose structure was unambiguously determined through 1H-13C long range homonuclear correlation (COSY) and heteronuclear correlation (HECTOR) experiments. To date, only a few diterpene quinones have been found to display antitumor activity. In the present study, the three isolates were found to inhibit the growth of P-388 cells although horminone and 7-O-methylhorminone were only marginally active, according to the guidelines of the National Cancer Institute. The compounds did not however, exhibit any significant cytotoxity against KB cells. They represent the first examples of diterpene quinones of the royleanone type to be found cytotoxic against mammalian tumor cells, although horminone has previously been reported to inhibit the growth of Trypanosoma cruzi.

Introduction

Lepechinia bullata (Kunth) Epling (Labiatae), a medicinal plant growing in Colombia, South America, was investigated for antitumour activity. A methanol (MeOH) extract of the above ground parts of the plant was found to be active against P-388 (murine leukaemia) cells (ED50=14.5 mg/ml), but far less sensitive in KB (nasopharyngeal carcinoma) cells (ED50 40.5 mg/ml).

Phytochemical screening of the bioactive MeOH extract afforded three cytotoxic diterpene quinones, viz., horminone (Fester et al., 1956), 7-O-Methylhorminone (Montes, 1969) and 6,7- dehydroroyleanone (Alpandes et al., 1972). 7-O-methylhorminone is a new natural product whose spectroscopic properties were very similar to those of horminone, thus justifying the royleanone type structure (See also Silver, 1968; Delgado et al., 1986):

Lepechinia bullata has not previously been investigated. Other Lepechinia species such as Lepechinia chalepensia (Fester et al., 1956), Lepechinia floribunda (Montes, 1969), Lepechinia speciosa (Alpandes et al, 1972), Lepechinia salviae (Montes et al., 1983), and Lepechinia graveolens (Riscale and Retamar, 1973) have been analysed for their essential oil content. Diterpenes and triterpenes have also been isolated from Lepechinia chamaedryoides (Silva, 1968) and Lepechinia glomerata (Delgado et al., 1986). The isolation and biological screening of the three abietane diterpene quinones from Lepechinia bullata is reported in this paper.


Figure

Materials and methods

Plant material

The aerial parts of Lepechinia bullata were collected in Colombia in May 1976, by a USDA team. Voucher specimens have been deposited at the National Herbarium, Washington D.C., U.S.A.

Isolation and identification

The crude methanol extract, after being washed with petroleum ether, was partitioned between chloroform (CHCl3) and aqueous MeOH. The CHCl3 fraction was chromatographed over silica gel, using CHCl3 as eluting agent. Fractions (500ml) were collected and combined on the basis of thin layer chromatography (tlc) analysis (see fractionation scheme). Fractions 6-19, on standing in the cold room overnight, deposited an orange precipitate, which was purified by preparative tic and recrystallised from CHCl3 to give fraction 3 (see Fig. 1). Fractions 47-48, when left overnight in the cold room, deposited a light-green substance which, on repeated chromatography and recrystallisation, gave Fraction 1. Complete spectral analysis (UV, IR, MS 1H- and 13C-NMR) of Fractions 1 and 3, gave data which were in close agreement with those previously reported for horminone (Hensch et al., 1975) and 6,7-dehydroroyleanone (Hensch et al., 1975), respectively.

Flash chromatography, followed by preparative tic of the yellowish- brown solid obtained by evaporation of fractions 31-42, gave the new compound 2 as yellow needles, mp 126-128°C. It was assigned the structure 7-O-methylhorminone, based on its spectroscopic properties. Its mass spectrum displayed a molecular ion at m/z 346, 14 amu higher than that of horminone (m/z 332), shown by the presence of the methoxyl signal, in both the 1H- and 13C-NMR spectra (d3.45 and 57.3 ppm, respectively). The compound was, therefore, most likely a derivative of horminone, with a methoxyl group at either C-7 or C-12. 12-O-methylhorminone has been synthesised and characterised by Hensch et al. (1975). The 7-O-methyl analogue is hitherto unknown.

Further comparison of the 1H and 13C-NMR spectra of 1 and 2 (Table 2 and 3) showed that the most significant difference between them lies in the chemical shift values for H7 and C7. The methoxyl group in 2 caused the H7 signal to move upfield to d4.32, from d4.73 in 1, and concurrently, C7 absorbed downfield at d0.8 from d63.2. The results are consistent with a methoxyl substituent at C7 and not C12 of horminone.

The uv spectra of 2 provides further evidence for a methoxyl substituent at C7. The absorption at 411 nm exhibited a significant bathochromic shift to 524 nm on addition of NaOH, indicating the presence of a quinonoid hydroxyl group at C12. Similar uv shifts have been reported in diterpene quinones bearing a quinonoid hydroxyl function (Lin et al, 1989).

The stereochemistry at C7 was determined from the 1H-NMR spectrum. Kupchan et al. (1968, 1969) have compared the H-7bH signal of horminone with the H-7ah of taxoquinone, its 7-epimer. They found that at 60 MHz, the H-7bH appeared as a multiplet with W1/2 = 20 Hz, whereas the H-7bH signal was a broad singlet, with W1/2 == 8Hz. In our work, the H7 of 2, measured at 300MHz, was observed as a doublet of doublets with J = 2 and 4Hz, consistent with a b orientation of H7. Compound 2 was, therefore assigned the structure 7-O-methylhorminone.

Biological screening

The MeOH extract and the three isolates were tested for antitumour activity in KB and P-388 cell cultures, according to standard procedures as described previously (Pezzuto et al., 1983, and Arisawa et al, 1984). The results are shown in Table 1. All isolates inhibited the growth of P-388 cells, although 1 and 2 were only marginally active, according to the guidelines of the National Cancer Institute (Geran et al., 1972). They did not, however, show any significant cytotoxicity against KB cells. The three compounds represent the first examples of diterpene quinones of the royleanone type, to be found cytotoxic against mammalian tumour cells. It is worth noting that in both KB and P-388 systems, the unsaturated 6,7-dehydro compound (3) is more active than the 6, 7- saturated structures, leading to speculation that the antitumour activity of these compounds depends on the substitution pattern at the C6-C7 position of these molecules.

Acknowledgements

This work was supported by the Fulbright Program of the United States of America. The Program for Collaborative Research in the Pharmaceutical Sciences (PCRPS), College of Pharmacy, University of Illinois at Chicago, is gratefully acknowledged, for providing the facilities for this investigation. My special thanks go to Dr. Chun-Tao Che, Prof. Harry H.S. Fong, and Prof. Norman R. Farnsworth.

Table 1. Data obtained from pharmacological testing of KB cells (nasopharyngeal carcinoma) and P-388 cells (murine leukemia) with Lepechinia bullata plant extracts and pure compounds

Compounds


ED50


KB cells

P-388 cells

Crude MeOH extract

40.5 mg/ml

15.5 mg/ml

Horminone

20.2 mg/ml

4.6 mg/ml

7-O-methylhorminone

13.0 mg/ml

4.8 mg/ml

6,7-dehydroyleanone

5.7 mg/ml

1.6 mg/ml

Table 2. Summary of 1H-NMR of Extracts 1 and 2 (300 MHz, CDCI3)


d (ppm)

Proton

Horminone

7-O-methylhormine

H - 7b

4.73 (d)

4.31 (dd)

H - 15

3.16 (septet)

3.18 (septet)

H - 1b

2.16 (ddd)

2.68 (ddd)

H - 6a

1.96 (d)

2.04 (d)

H - 2b

1.72 (m)

1.70 (m)

H - 5

1.55 (hidden)

1.57 (hidden)

H - 3a,b

1.5 - 2.7 (m)

1.4 - 1.6 (m)

H - 6a

1.4 - 1.5 (m)

1.35 (ddd)

H - 2

1.2-1.3 (hidden)

1.2- 1.3 (m)

Me - 16

1.21 (d)

1.19 (d)

Me - 17

1.22 (d)

1.22 (d)

Me - 20

1.22 (s)

1.22 (d)

H - 1a

1.1 - 1.2 (m)

1.1- 1.2 (m)

Me - 1d

0.98 (s)

0.95 (s)

Me - 19

0.90 (s)

0.91 (s)

7 - Ome

-

3.45 (s)

Table 3. Summary of data of C-13-NMR of Compunds 1 and 2 (90.8 MHz, CDC13)


d(ppm)

Carbon

Horminone (1)

7-O-methyl-horminone (2)

C - 14

189.0

186.4

C - 11

183.8

184.1

C - 12

151.1

150.6

C - 9

147.8

147.8

C - 8

143.1

141.4

C - 13

124.1

124.7

C - 7

63.2

70.7

C - 5

45.7

45.5

C - 3

41.0

41.0

C - 4

39.1

39.2

C - 1

35.7

35.7

C - 18

33.1

33.0

C - 10

33.0

33.0

C - 6

25.7

22.1

C - 15

23.9

24.2

C - 19

21.7

21.9

C - 17

19.8

19.9

C - 16

19.7

19.7

C - 2

18.8

18.8

C - 20

18.3

18.5

C - Ome

-

57.3


Figure 1: Fractionation scheme for the extracts from Lepechinia bullata

Antimicrobial activity of Tanzanian traditional medicinal plants

M.R. KHAN and M.H.H. NKUNYA

Department of Chemistry, University of Dar es Salaam
P.O. Box 35061, Dar es Salaam, Tanzania

ABSTRACT

A large number of plants used in traditional medicine were screened for antimicrobial activity. In the preliminary screening, Staphylococcus aureus (gram positive bacteria) and Escherichia coli (gram negative bacteria) were used to differentiate between active and non-active plant extracts. The extracts which showed activity were then screened for their antigonococcal and also for antifungal activity. A number of active plants were then phytochemically investigated to isolate the active components. A large number of different types of non-active compounds were also isolated and identified. There is some correlation between the activities and the traditional medicinal uses of the plants studied. Some of the compounds isolated could be responsible for the activity and use of the plants. This paper gives only the in-vitro screening and the results should be used with caution when applied to in-vivo effectiveness in humans. Screening needs to be done in-vivo and the toxicity aspect has to be studied very thoroughly before such crude plant extracts could be given as safe treatment with no serious consequences.

Introduction

In African and most developing countries traditional medicine still forms the backbone of rural medical practice. Medicinal herbs are extensively used for various ailments in these countries. This indicates that some of these medicines, if scientifically evaluated and standardized, could make very valuable medicaments. However, although a number of American (Lucas et al., 1951) and Australian (Atkinson et al., 1955) medicinal herbs have been screened for their medicinal properties, up to now there seem to be no serious attempts to evaluate African medicinal plants in a collective form for their biological activities and medicinal usefulness. However, there are scattered reports of such evaluations for individual or small groups of plants, as it will be noted in various presentations in this conference.

In the literature, it can be noted that Nickell (1959) is among the first researchers to compile an extensive review on biological (antibacterial) activity of vascular plants. Nickell's list of plants included only a few of Tanzanian medicinal plants. We therefore considered it worthwhile to investigate the in vitro antibacterial and antifungal activities of some of the Tanzanian medicinal plants, and ultimately to isolate and identify the active constituents (Sawhney et al., 1978a; Sawhney et al., 1978b: Khan et al., 1979).

We chose to screen the medicinal plants for antifungal activity because, of all human microbial infections, fungal diseases are the most difficult to modify in their course, or to prevent (Lucas et al., 1973; Taylor et al., 1961). It is now becoming more evident that the incidence of such diseases is increasingly becoming prominent.

From the literature (Kokwaro, 1976; Watt et al., 1962) and personal communications with Tanzanian traditional medical practitioners, we established that a number of herbs are used for the treatment of skin diseases, and many of them are said to be very effective. Thus the fruits of Solanum incanum, a weed which is widely distributed in East Africa, are extensively used for the treatment of cutaneous mycotic infections and other pathological conditions. The therapeutic action of the fruits has been attributed to solanine and related glycoalkaloids (Beaman-Mbaya et al., 1976). Similarly, the juice of Emilia sagittata is used for ring worms and athletic's foot. Although no chemical work is reported on this plant, a very potent antimicrobial and pharmacological agent, emiline (1), has been obtained from another plant of the same genus, E. flammea (Tomczyk et al., 1971).

Apart from using Staphylococcus aureus and Escherichia coli as test bacteria, we also included the essay of the crude plant extracts for their antigonococcal activity. This is because gonorrhoea is among the most common venereal diseases, both in rural and urban populations in Africa (Becker, 1973). Despite the introduction of sulphonamides and antibiotics, a large proportion of rural populations in developing countries still rely on local herbs for the treatment of gonorrhoea. Thus, in West Africa for example, cottonwood tree (Bombax sp.), Alchronea cordifolia, A. floribunda, Mussaenda elegans, Craterspermum laurinum and Aframomum baumannii are commonly used (Harley, 1970). There are also similar example in East Africa (Kokwaro, 1976).

In this paper we will give an overview of the results on the screening of crude plant extracts for their antibacterial, antigonococcal and antifungal activity and the phyto-chemical investigations on some of the most active plants.

Antibacterial activity

In all, 134 plant extracts were tested for their activity against S. aureus and E. coli in vitro. An extract which failed to inhibit the growth of the test bacteria was regarded as being inactive. Results are summarized in Table 1, in which the inactive extracts are not shown.

Phytochemical investigations on some of the most active extracts have revealed the active constituents of the plants. Thus the activity of Euclea natalensis can be attributed to 7- methyljuglone (2), mamegakinone (3) and diospyrin (4). These compounds, which were isolated from the plant, have been found to be active against S. aureus and a few other bacteria (Table 2).

The antibacterial activity of Harrisonia abyssinica root bark, which showed an activity against S. aureus, comparable to 5 units of penicillin G, has been traced to be due to the limonoid harrisonin (5) (Kubo et al., 1976). The latter compound, which was the only active component of this plant, showed a minimum inhibitory concentration of 5 mg/ml (Mosile, 1980).

Another most active plant is Acacia nilotica. This plant is known to contain phenylethyl alkaloids and flavonoids. Although these compounds have not been tested, we found the activity to be concentrated in the acidic fraction of the extract, which contains the flavonoids.

Active compounds which have been isolated from some of the most active plant extracts are shown in Chart 1.

Antigonococcal activity

In this category of assay, extracts from 88 Tanzanian medicinal plants were tested for their in vitro activity against Neisseria gonorrhoea isolates from clinical cases, which were isolated and maintained at the Department of Microbiology and Immunology, Faculty of Medicine, University of Dar es Salaam (Sawhney et al, 1978a). Results are shown in Table 3. It is interesting to note that some of the plants used locally for the treatment of gonorrhoea are very active against the pathogenic bacteria. Furthermore, 82% of the plants listed in Table 4 were also active against S. aureus. More than 40% of the plant extracts without antigonococcal activity showed various levels of inhibition of S. aureus. This, in a way, ruled out the effect of nonspecific factors, such as acidity, on the observed activity.

Antifungal activity

In all, 124 plants were screened for activity against the common dermatophyte, Trichophyton mentagrophytes, as well as Candida albicans. Results are summarized in Table 4.

As it can be noted in Table 4, the highest level of antifungal activity was exhibited by extracts of Emillia sagittata, Securrinega virosa (pulp) and Sida serratifolia (roots) (Sawhney et al., 1978b). Apparently, none of these plants is used to treat dermatomycoses in East Africa. Instead these plants are used for miscellaneous ailments, such as eye inflammation, topical dressing for wounds and contusions, diarrhoea, gonorrhoea, pneumonia, pulmonary tuberculosis and dysentery, most of which are bacterial diseases (Kokwaro, 1976; Watt et al, 1962). Incidentally, among the above plants only S. serratifolia showed antibacterial activity in vitro (Table 1). Such results may suggest that either the antibacterial activity is exhibited only in vivo, in patients, or the plants are used just as a matter of tradition. Again, the observed antifungal activity, despite the plants not being used traditionally for fungal related diseases, gives us a good indication that a lot is yet to be discovered regarding the diverse usefulness of medicinal plants.

Phytochemical investigations

We have carried out extensive phytochemical investigations on some of the most active plants shown in Tables 1, 4 and 5, with the aim of isolating the active constituents. Thus from Euclea natalensis we isolated several naphthaquinones, among which the active ones are listed in Table 2 (Khan et al., 1979).

Several triterpenoids and naphthaquinones have been isolated from various Diospyros species (Ebenaceae), but only 7-methyljuglone, diospyrin and mamegakenone were the active compounds in this series. Eleven Cassia species have been analysed for their constituents, and in addition to emodine (6), aloe-emodine (7) and barakol (8), several other anthraquinones have been isolated, some of which were obtained for the first time (Mutasa, et al., 1990).

Maerua angolensis (Capparidaceae) is among the plants which exhibited a high antifungal activity. We have isolated several C12, C14 and C18 fatty acids and esters from this plant, and most of these compounds showed antifungal activity (Nkunya, 1985).

Among the plants of the family Annonaceae, which were included in the screening tests, were those belonging to the genus Uvaria. In the literature some of these plants are reported to possess a wide range of biological activities. Furthermore, these plants have been found to contain compounds with interesting chemical structures, some of which are also the active components of the plant extracts. These findings prompted us to carry out extensive phytochemical investigations of these plants. In the course of these investigations, we have isolated more than forty compounds from nine Uvaria species found in Tanzania. An account of these compounds, regarding their biological activities, has been given by Nkunya (1990, this conference), in a paper on the antimalarial activity of the compounds. Apart from this, the compounds have shown activity against some bacteria and tumour cells. Among the active compounds are (+)-b-senepoxide (9), (+)-pandoxide (10) and (-)-pipoxide (11) (Nkunya et al, 1986). Results on the antibacterial activity are shown in Table 5.

Conclusion

The results discussed in this paper do not claim that the plants we have investigated and the pure compounds therefrom are safe medicines. Their efficacy and safety can only be established by very careful toxicity and pharmacological studies, followed by clinical trials using usual protocols. Our results definitely have provided a basis for further investigations on similar lines, as well as on the toxicity and pharmacological aspects of the extracts, and pure compounds. We hope that the leads presented here will be pursued exhaustively by the scientific community.

References

Atkison, A. and Brice, C. (1955). Austr. J. Exptl. Biol. Med. Sci. 33: 547 - 554.

Beaman-Mbaya, V. and Muhammed, S. I. (1976). Antimicrob. Agents Chemother. 9: 920 - 924.

Becker, N. L. (1973). In Clinical Medicine in Africans in Southern Africa. Campbell, G.D., Seedat, Y.K. and Daynes, G. (Eds). Churchill/Livingstone, London: 465.

Harley, G.W. (1970). Native African Medicine, Frank Cass, London.

Khan, M.R., Mutasa, S.L., Ndaalio, G., Wevers, H. and Sawhney, A.N. (1978): Pakistan J. Sci. Ind. Res. 21: 197 - 199.

Khan, M.R., Ndaalio, G., Nkunya, M.H.H., Wevers, H. and Sawhney, A.N. (1980). Planta Med., Suppl.: 91 - 97.

Kokwaro, J. O. (1976). Medicinal Plants of East Africa, East African Literature Bureau, Nairobi.

Kubo, I., Tanis, S. P., Lee, Y., Miuva, F., Nakanishi, K. and Chapya, A. (1976). Heterocycles 5: 485.

Lucas, A. O. and Gilles, H.M. (1973). A short Textbook of Preventive Medicine for the Tropics. English University Press, London: 127.

Lucas, E. H., Lickfield, A., Gottshall, F. and Jennings, J. C. (1951). Bull. Torrey Bot. Club 78: 310 - 321.

Mosile, F. W. (1980). Chemical studies and antimicrobial activity of some Tanzanian medicinal plants: M.Sc, Thesis, University of Dar es Salaam.

Mutasa, S.L., Khan, M.R. and Jewers, K. (1990). Planta Med. 56: 244.

Nickell, L. G. (1959). Econ. Bot. 13: 281 - 318.

Nkunya, M. H. H. (1985). A search for potentially useful compounds from some Tanzanian plants: In Proc. Sci. Symp. Univ. Dar es Salaam, Publisher: Tanzania Commission for Science and Technology: 73-75.

Nkunya, M. H. H. and Weenen, H. (1986). Chemical investigations of a Tanzanian medicinal plant: Uvaria pandensis Verdc (Annonacese). In: Proc. 3rd Internat. Chem. Conf. Africa, Lome (Togo): 313 - 317.

Nkunya, M. H. H. (1990). Chemical evaluation of Tanzania Medicinal Plants for active constituents as a basis for the medicinal usefulness of the plants. In Proc., this conference.

Sawhney, A. N., Khan, M.R., Ndaalio, G., Nkunya, M.H.H. and Wevers, H. (1978a). Pakistan J. Sci. Ind. Res. 21: 189 - 192.

Sawhney, A. N., Khan, M.R., Ndaalio, G., Nkunya, M. H. H. and Wevers, H. (1978b). Pakistan J. Sci. Ind. Res. 81: 193 - 196.

Taylor, E. P. and D'Arcy, P. F. (1961). Progress in Medicinal Chemistry, Plenum Press, New York: 220.

Tomaczyk, H. and Kohlmuenzer, S. (1971). Herba Pol. 17, 226 (Chem. Abstr. 1972, 77: 1984)

Watt, J. M. and Breyer - Brandwijk, M. G. (1962). Medicinal and Poisonous Plants of Southern and Eastern Africa, 2nd Ed., Livingstone, London.

Table 1: Susceptibility of Staphylococcus aureus and Escherichia coli to various plant extracts

Antibacterial activity

Name of the plant

Family

Part

Traditional uses

Staphylococcus aureus

Escherichia coli

Anona senegalensis Pers.

Annonaceae

Bark

Intestinal worms, guinea worms, dysentery

+

0

Uvaria acuminata Oliv.

Annonaceae

Roots

Epilepsy, sunstroke, tonsillitis, lunasy

+

0

Uvaria acuminata Oliv.

Annonaceae

Leaves

Epilepsy

+

0

Dictyophleba lucida

Apocynaceae

leaves

No known use

++

++

Pierre Plumeria rubra L.

Apocynaceae

Bark

Itching, diarrhoea gonorrhoea, dropsy, purgative, skin diseases, syphilis

++

0

Kigelia africana (Lam.).) Berth

Bignoniaceae

Bark

Wounds, sores, gynaecological conditions, ulcers, abscesses, dysentery

++

0

Tecomaria capensiss Spach.

Bignoniaceae

Leaves

Pneumonia, bleeding gums, diarrhoea, enteritis

+++

++

Ehretia amoena Klotzch

Boraginaceae

Root-bark

For pains about the waist (stitch)

++

+

Boscia salicifolia O.

Capparidaceae

Bark

Chiufa, various women's diseases

++

0

Boscia salicifolia O.

Capparidaceae

Leaves

Chiufa, remedy for fever in cattle

++

+

Maerus angolensis D.C.

Capparidaceae

Bark

Roots used for homocidal purposes, treatment of lupus, influenza, toothache

+
+

0
0

Carica papaya L.

Caricaceae

Roots

Venereal diseases, anti-helmintic, akin

0

+

Elaeodendron schlechteranum (L.)

Celastraceae

Roots

Elaeodendron sp. to abscesses and carbuncles

++

0

Vernonia hildebrandtii V.

Compositae

Leaves stem

Cough, strangulated hernia, stomach troubles

+++

0

Cyperus rotundus L.

Cyperaceae

Tuber

Diuretic, emmenagogue, liver and heart desease remedy, headache cure, carminative

+++

0

Tetracera boiviniana B.

Dilleniceae

Root-bark

No known use

++

0

Diospyros mespiliformis Hoechst ex DC

Ebenaceae

Leaves

Anthelmintic, wounds & sores, leprosy, dysentery, coughs

+

0

Euclea natalensis A.DC.

Ebenaceae

Root-bark

Gonorrhoea, syphilis, hookworm, relief of toothache, ulcers

++

0

Acalypha fruticosa F.

Euphorbiaceae

Leaves

Cholera, stomach ache coughs, chest pains

++

0

Euphorbia hirta L.

Euphorbiaceae

Plant

Gonorrhoea, dysentery, boils, coughs, ophtholmic, wounds.

+++

++

Phyllanthus niruri L.

Euphorbiaceae

Plant

Gonorrhoea, ulcers jaundice, sores urino-genital diseases.

++

++

Phyllanthus reticulatus P.

Euphorbiaceae

Leaves

Gonorrhoea, venereal sores, hookworms, anaemia.

++

0

Pseudolachmaestylis maprouneaefolia Pax

Euphorbiaceae

Bark

Stomachache, cathartic

++

0

Ricinus communis L.

Euphorbiaceae

Plant

Venereal diseases, ulcers diarrhoea, fungicidal, eardrop

++

0

Seccurinega virosa B.

Euphorbiaceae

Roots

Gonorrhoea

+

++

Hoslundia opposita Vahl

Labiatae

Plant

Gonorrhoea, cystitis, coughs, wounds, liver disease, blennorrhoea, hookworms.

+++

0

Cassytha filiformis L.

Lauraceae

Plant

For vermin, gonorrhoea dysentery, syphilis, snake bite wounds

++

0

Acacia mellifera Vahl

Leguminosae

Bark

Syphilis, pneumonia, malaria, sterility, stomachache

+

0

Acacia nilotica Del.

Leguminosae

Plant

Tuberculosis, pneumonia, gonorrhoea, diarrhoea, smallpox

+++

++

Acacia robusta Burch.

Leguminosae

Root-bark

No known use

++++

++

Acacia sieberiana DC.

Leguminosae

Bark

Gonorrhoea, stomachache, diarrhoea, haemorrhage.

+++

0

Bauhinia reticulata DC.

Leguminosae

Plant

Dysentery, leprosy, roundworms, anthrax, malaria, cough

++

0

Caesalpinia pulcherrimai Swartz

Leguminosae

Flowers

Lung disease, fever, skin diseases

+

0

Caesalpinia pulcherrima Swartz

Leguminosae

Bark

Lung disease, fever skin disease

++

0

Caesalpinia pulcherrima Swartz

Leguminosae

Root-bark

Lung disease, fever skin diseases

++

0

Cassia abbreviata Oliv.

Leguminosae

Dry - roots

Gonorrhoea, syphilis, diarrhoea, dysentery pneumonia, malaria

++

0

Cassia fistala L.

Leguminosae

Bark

Dysentery, blackwater fever, anthrax, malaria

+++

0

Cassia obtusifolia L.

Leguminosae

Whole plant

Stomach troubles

++

+

Dichrostachys cinerea W.

Leguminosae

Stem & branches

Gonorrhoea, syphilis, skin diseases

+++

+

Lonchocarpus bussei Harms.

Leguminosae

Bark

Gonorrhoea, cough

++

0

Peltophorum petocarpum (DC.) K.

Leguminosae

Bark

Dysentery, diarrhoea, colic, sore eyes

++

0

Pongania pinnata (L.)P.

Leguminosae

Leaves Root-bark

Scabies, cutaneous infection

++

0

Pongania. Pinnata (L.)P.

Leguminosae

Seeds

Scabies, cutaneous infection

++

0

Asparagus falcatus L.

Liliaceae

Leaves

Syphilis

++

0

Sida serratifolia L.

Malvaceae

Leaves

Gonorrhoea

+++

0

Sida serratifolia L.

Malvaceae

Roots

Gonorrhoea

+++

0

Psidium guajava L.

Myrtaceae

Leaves

Diarrhoea, skin diseases

++

0

Brackenridgea zanguebarica Oliv.

Ochnaceae

Root-bark

Wounds, snakebites

+

0

Ziziphus pubescens Oliv.

Rhamnaceae

Leaves

Pneumonia, diarrhoea dysentery, wounds, skin diseases

+++

0

Lamprothamnus zanguebaricus Hiern.

Rubiaceae

Leaves

No known use

++

0

Fagara chalybaea Engl.

Rutaceae

Root-bark

Diarrhoea, coughs, malaria, toothache

++

0

Allophylus rubifolius (A.Rich.)

Sapindaceae

Roots

Diarrhoea, toothache

+

0

Solanum incanum L.

Solanaceae

Plant

Pneumonia, ringworms, liver disease, gonorrhoea, syphilis, ear ache

+

0

Solanum incanum L.

Solanaceae

Fruits

Dandruff, skin diseases, sores and wounds

++

0

Harrisonia abyssinica Oliv.

Simaroubaceae

Root-bark & twig

Skin diseases, haemorrhoids

++++

0

Grewia forbesii Harv. ex Mast.

Tiliaceae

Bark & roots

Rheumatism, lumbago, stiff neck

+++

0

Lantana camara L.

Verbenaceae

Leaves

Coughs, sore throat, colds, conjunctivitis, toothache

+

0

Premna chrysoclada G.

Verbenaceae

Leaves

Ulcers, venereal diseases

++

0

Vitex fischeri. G

Verbenaceae

Leaves

Chronic venereal diseases, epilepsy as sedative, skin diseases.

++

0

Rhoicissus rovoilii P.

Vitaceae

Roots

Wounds, optholmic remedy

+

0

Table 1a: Sensitivity of test organisms against a number of standard antibiotics

Standard Antibiotics

diameter of Zones of inhibition (mm)


+
10-15

++
15-20

+++
20-25

++++
above 25

Test Organisms

Penicillin G. (Units)

2

3

4

5


Septrin (SXT) (mg)

15

20

25

30


Tetracycline (mg)

25

32

42

60

Staphylococcus aureus (Oxford)

Streptomycin (mg)

7

9

12

15


Sulphathiamoxazole (mg)

12

18

24

30


Nalidixic acid (mg)

15

24

30

35


Furadantoin (mg)

75

100

125

130

Escherichia coli (055)

Gentamycin (mg)

23

30

36

43


Table 2: Susceptibility of some microorganisms to some naphthoquinones

Bacteria

Zones of inhibition (mm)


7-Methyl-juglone

Diospyrin

Mamegakinone

Klobsiella aeroganesae (from urine)

11

9

11

Shigella dysenteriae

14

14

9

Shigella flexnerii

12

11

0

Corynebacterium diphtheriae

13

14

-

Bacillus anthracis

17

13

-

Bacillus cereus

9

10

0

Salmonella hidelberg

8

8

8

Hamophilus influenzae

11

12

10

Pseudomonas aureginosae

0

0

0

Escherichia coli

0

0

0

Clostridium wolchii

8

0

0

Staphylococcus aureus

11

0

22

Neisseria gonorrhoeae

24

0

14

The 10 - 15mm zone of inhibition is comparable to the one caused by 25 mg of tetracycline

Table 3: In vitro antigonococcal activity of some Tanzanian medicinal plants

Plant

Family

Part

Traditional uses

Antigonococcal activity

Sclerocarya caffra Sond.

Anacardiaceae

Bark

Dysentery, diarrhoea, gangrenus, rectitis, insecticide

+

Uvaria acuminata Oliv.

Annonaceae

Leaves

Epilepsy

++

Kigelia africana (Lam.) Benth.

Bignoniaceae

Bark

Wounds, sores, for gynaecological conditions, ulcers, abscesses, dysentery

++

Tecomaria capensis Spach.

Bignoniaceae

Leaves

Pneumonia, bleeding gums, diarrhoea, enteritis

++

Tetracera boiviniana Baill.

Dileniceae

Roots

No known use

+

Euclea natalensis A.DC.

Ebanaceae

Root-bark

Gonorrhoea, diarrhoea, dysentery, bleeding gums

+

Phyllanthus reticulatus P.

Euphorbiaceae

Leaves

Gonorrhoea, venereal sores, hookworms, anaemia

++

Ricinus communis L.

Euphorbiaceae

Plant

Venereal diseases, ulcers, diarrhoea, fungicidal, eardrop

+++

Acacia nilotica Del.

Leguminosae

Bark

Tuberculosis, pneumonia, gonorrhoea, diarrhoea, smallpox

++++

Albezia harveyi Fcurn

Leguminosae

Roots

Any intestinal troubles

+

Bauhinia reticulatus DC.

Leguminosae

Plant

Dysentery, leprosy, roundworms, anthrax, malaria, cough

+

Caesalpinia pulcherrima Swartz.

Leguminosae

Flowers

Lung diseases, fever, skin disease

+

Cassia abbreviata Oliv.

Leguminosae

Dry roots

Gonorrhoea, syphilis diarrhoea, dysentery pneumonia, malaria

+

Cassia obtusifolia L.

Leguminosae

Whole plant

Stomach troubles

+++

Lonchocarpus bussei Harms.

Leguminosae

Leaves, roots & bark

Gonorrhoea, cough

+

Malvastrum coramandelianum (L) Garcke.

Malvaceae

Plant

Wounds, diaphoretic, sores

+

Sida serratifolia L.

Malvaceae

leaves

Pulmonary tuberculosis, diarrhoea

+++

Sida serratifolia L.

Malvaceae

Roots

Gonorrhoea

++

Psidium guajava L.

Myrtaceae

Leaves

Diarrhoea, skin diseases

+

Ziziphus pubescens Oliv.

Rhamnaceae

Stern

Measles, gonorrhoea

+

Fagara chalybaea Engl.

Rutaceae

Root-bark

Diarrhoea, coughs, malaria, toothache

+++

Harrisonia abyssinica, O.

Simarubaceae

Twig & rootbark

Skin diseases, haemorrhoids

+++

Premna chrysoclada G.

Verbenaceae

Leaves

Ulcers, venereal diseases.

+

The following plants did not show any antigonococcal activity:

Acanthaceae: Barleria prionitis L. (roots, leaves and bark); Amaranthes aspera L. (plant);

Anacardiaceae: Rhus natalensis Bernh. (leaves), Lannea stuhlmannii Engl. (leaves);

Annonaceae: Anona senegalensis Pers (bark), Uvaria acuminata Oliv. (roots);

Apocynaceae: Calotropis gigantea Ait. f. (leaves), Dictyophleba lucida Pierre. (leaves, trunk), Nerium oleander L. (leaves), Plumeria rubra L. (bark);

Araceae: Stylochiton hennigii Engl. (roots and leaves);

Boraginaceae: Ehretia amoena Klotzch. (root bark);

Capparidaceae: Boscia salifolia Oliv. (bark, leaves), Maerua angolensis DC. (bark); Carica papaya L. (leaves, roots, (bark);

Celastraceae: Elaeodendron schlechteranum Loes. (roots);

Combretaceae: Combretum zeyheri Sond. (fruits, plant), Terminalia catappa L. (leaves); Compositae: Aspilia natalensis Willd. (roots), Emilia sagittata D.C. (plant);

Convolvulaceae: Bonamia mossambicensis Hall. f. (roots);

Cyperaceae: Cyperus rotundus L. (tuber);

Ebenaceae: Diospyros mespiliformis Hochst ex DC (leaves);

Euphorbiaceae: Acalypha fruticosa Forsk, (roots), Fluggea virosa Baill. (bark), Phylanthus niruri L. (plant), Pseudolachmaestylis maprouncaefolia Pax. (bark), Securinega virosa Baill, (bark, pulp);

Icacinaceae: Pyrenacantha kaurabassana Baill (tuber, green fruits); Labiatae: Hoslundia opposita Vahl. (leaves), Leonotis nepetaefolia R. Br. (plant);

Lauraceae: Cassytha filiformis L. (plant);

Leguminosae: Acacia robusta Burch (rootbark), A. Senegal Wild. (roots), Adenanthera pavonina L. (seeds), Caesalpinia pulcherrina Swartz (bark), Cassia fistula L. (bark), C. amiculata L. (seeds and bark), Desmodium sp. (plant), Dichrostachys cinerea Wight. Am. (roots), Peltophorum petocarpum K. (roots, bark), Pongania pinnata L. (leaves, rootbark, seeds), Pterocarpus angolensis DC (bark), Stylosanthes fruticosa Alston. (plant), Xeroderris stuhlmannii Taub. (plant);

Liliaceae: Asparagus falcatus L. (plant);

Malvaceae: Sida spinosa L. (leaves);

Rhamnaceae: Ziziphus pubescens Oliv (leaves);

Rubiaceae: Lamprathamnus zanguebaricus Hiern. (leaves);

Rutaceae: Citrus aurantifolia Swingle. (roots);

Sapindaceae: Allophylus rubifolius Engl. (stem);

Solanaceae: Withania somnifera Dun (plant);

Sterculiaceae: Dombeya shupangae K. Schum (leaves), Melhania velutina Forsk. (leaves), Waltheria indica L. (flowers, leaves);

Tiliaceae: Corchorus olitorius L. (fruits and seeds), Grewia forbesii Hary ex Mast. (bark and roots), G. Stuhlmannii K. Schum (roots), Trimimfetta rhomboidea Jacq. (bark and roots);

Verbenaceae: Lantania camara L. (leaves), Vitex fischeri Guerke. (leaves), Vitex sp. (roots);

Vitaceae: Cissus integrifolia Manch. (stem), Rhoicissus rovoilii Planch (roots).

Table 4: Susceptibility of fungi to various plant extracts

Plant

Family

Part

Traditional uses

Antifungal activity

Group A





Plumeria rubra L.

Apocynaceae

Bark

Itching, diarrhoea, gonorrhoea, dropsy, purgative, skin disease, warts, syphilis

++

Zizyphus pubescens Oliv.

Rhamnaceae

Leaves

Pneumonia, diarrhoea dysentery, wounds, skin diseases

++

Solanum incanum L.

Solanaceae

Plant

Pneumonia, ringworms, liver disease, gonorrhoea, syphilis, earache

++

Solanum incanum L.

Solanaceae

Fruits

Dandruff, skin diseases, sores, & wounds

++

Harrisonia abyssinica Oliv.

Simaroubaceae

Root-bark & twig

Skin diseases, haemorrhoids.

+++

Waltheria indica L.

Sterculiaceae

Flowers

Skin diseases, syphilis, cleansing wounds, coughs, sores.

+

Vitex fischeri Guerke.

Verbenaceae

Leaves

Chronic venereal disease, epilepsy, as sedative, skin diseases.

+

Group B





Dictyophleba lucida (K. Schum.) Pierre.

Apocynaceae

Leaves

No known use

+++

Dictyophleba lucida (K. Schum.) Pierre.

Apocynaceae

Trunk

No known use

+++

Holarrhena febrifuga Klotzsch.

Apocynaceae

Leaves

Snake bite, venereal diseases, dysentery

++

Ceiba pentandra Gaertn.

Bombacaceae

Leaves

Gonorrhoea and as dressings for wounds

+

Boscia salicifolia Oliv.

Capparidaceae

Bark

Rectal infections

++

Combretum zeyheri Sond.

Combretaceae

Whole plant

Diarrhoea

+++

Emilia sagittata DC.

Composite

Whole plant

For inflammation of eyes, contusion, ulcerative processes, nasal disease syphilis

++++

Bonamia mossammbicensis (Klotzsch.) Hall. f.

Convolvulaceae

Leaves

Wounds

++++

Bonamia messambicensis (Klotzsch.) Hall. f.

Convolvulaceae

Roots

Wounds

+++

Bridelia cathartica B.

Euphorbiaceae

Stem

Purgative, stomach ache

+

Phyllanthus reticulatus P.

Euphorbiaceae

Plant

Gonorrhoea, ulcers, jaundice sores, urogenital diseases

+

Pseudolachnostylis maprouneaefolia Pax.

Euphorbiaceae

Bark

Stomach ache, cathartic

++

Securinega virosa (Wind.) Baill.

Euphorbiaceae

Pulp

Diarrhoea, gonorrhoea, pneumonia

++++

Cassia amiculata L.

Leguminosae

Bark

Headache, toothache

++

Xeroderris stuhlmanii T.-

Leguminosae

Plant

Colds, chest troubles, elephantisis

+

Asparagus falcatus L.

Liliaceae

leaves

Syphilis

+

Hibiscus micranthus L.

Malvaceae

Plant

Earache, bronchitis, renal remedy

++

Sida serratifolia L.

Malvaceae

Leaves

Pulmonary tuberculosis, diarrhoea

+++

Sida serratifolia L.

Malvaceae

Roots

Gonorrhoea

++++

Citrus aurantifolia Swingle.

Rutaceae

Roots

Gonorrhoea, dysentery

++++

Fagara chalybea Engl.

Rutaceae

Root-bark

Diarrhoea, coughs, malaria, toothhache

++

Deinbollia borbonica nica R.

Sapindaceae

Roots

Chest troubles, abdominal pains

+

Plant extracts which did not show any in vitro antifungal activity:

Acanthaceae: Barleria prionitis L. (roots, leaves and bark);

Amaranthaceae: Achyranthes aspera L. (plant);

Anacardiaceae: Rhus natalensis Bernh. (leaves), Lannea stuhlmannii Engl. (leaves);

Annonaceae: Anona senegalensis Pers. (bark), Uvaria acuminata Oliv. (leaves, roots);

Apocynaceae: Calotropis gigantea Ait. F. (leaves), Nerium oleander L. (leaves); Stylochiton hennigii. (roots and leaves);

Bignoniaceae: Kigelia africana Benth. (bark), Tecomaria capensis Spach. (leaves);

Boraginaceae: Ehretia amoena Klotzch. (root bark);

Capparidaceae: Boscia salicifolia Oliv. (leaves), Maerua angolensis DC. (bark, leaves);

Caricaceae: Carica papaya L. (green fruits, bark);

Celastraceae: Elaeodendron schlechteranum Loes. (roots, leaves);

Combretaceae: Combretum zeyheri Sond: (fruits), Terminalia catappa L. (leaves); Compositae: Vernonia hildebranditii Vatke, (leaves and stem), V. cinerea Less. (plant);

Connaraceae: Byrsocarpus orientalis Bak. (plant);

Dilleniceae: Tetracera boiviniana Baill. (rootbark);

Ebenaceae: Diospyros mespiliformis Hochst. ex. DC (leaves);

Euphorbiaceae: Acalypha fruticosa Forsh (leaves, roots), Antidesma venosum E. May. (root bark), Bridelia cathartica Bertol. f. (leaves), Euphorbia hirta L. (plant), Fluggea virosa Baill, (bark), Phyllanthus reticulatus Poir. (leaves), Securinega virusa Baill (roots);

Icacinaceae: Pyrenacantha caurabassana Baill (tuber, green fruits); Labiatae: Hoslundia opposita Vahl (leaves), Leonotis nepetaefolia R. Br. (plant);

Lauraceae: Cassytha piliformis L. (plant);

Leguminosae: Acacia mellifera Vehl. (bark), A. robusta Burch. (root bark), A. senegal Willd. (roots), Adenanthera pavonina L. (seeds, leaves), Bauhinia reticulata DC. (plant), Caesalpinia pulcherrina Swartz. (flowers, rootbark), Cassia fistula L. (bark), C. obtusifolia L. (plant), C. occidentalis L. (plant), Desmodium sp. (plant), Dichrostachys cenerea Wight. Arn.(stem), Peltophorum petocarpum K. (roots, bark), Pongamia pinnata P. (leaves and rootbark), Pterocarpus angolensis DC. (bark), Stylosanthes fruticosa Alston. (plant);

Liliaceae: Asparagus sp. (plant);

Loganiaceae: Strychnos madagascarensis Poir. (root bark);

Malvaceae: Malvastrum coromandelianum Garcke. (plant), Sida cordifolia L. (roots), S. serratifolia L. (plant), S. spinosa L. (roots, leaves);

Ochnaceae: Brackenridgea Zanguebarica Oliv. (root bark);

Rhamnaceae: Zizyphus pubescens Oliv. (stem);

Solanaceae: Withania somnifera Dun. (plant),

Sterculiaceae: Dombeya shupangae K. Schum. (bark, leaves), Melhania velutina Forsk. (leaves), Waltheria indica L. (leaves);

Tiliaceae: Corchorus olitorius L. (fruits and seeds), Grewia stuhlmannii K. Schum. (roots), Triumfetia rhomboidea jacq. (bark and roots);

Verbenaceae: Lantana camara L. (leaves), Vitex sp. (plant, roots);

Vitaceae: Cissus rotundifolia Vahl. (leaves),

Table 5: Zones of inhibition of bacterial growth (nun) by (+)-b-senepoxide and (+)-pandoxide

Bacteria

Zones of inhibition (diameter)


(+)-b-senepoxide

(+)-pandoxide

Escherichia coli

29

20

Staphylococcus aureus

20

16

Klebsiella pneumoniae

23

15.5

Pseudomonas aeroginosa

20

20

Bacillus subtilis

22

22

Salmonella typhi

21

19

Both the compounds showed bacteristatic activity and no bactericidal properties. (+)-b-Senepoxide showed a minimum inhibitory concentration (MIC) of 62.5 mg/ml.

Chart 1: Some antibacterial compounds from Tanzanian medicinal plants.


2


3


4


5


6


7


8


9


10


11

Identification of clovanediol: A rare sesquiterpene from the stem bark of canella winterana L. (Canellaceae), using spectrophotometric methods

D.W. KIOY,* A. I. GRAY,** and P. G. WATERMAN**

* Kenya Medical Research Institute (TMDRC),
P.O. BOX 54840, Nairobi, Kenya.

**Phytochemistry Research Laboratories,
Department of Pharmacy, University of Strathclyde
Glasgow G1 IXW, U.K.

ABSTRACT

The Canellaceae is a small plant family found in continental Africa, Madagascar and America. In Kenya the two species (Warburgia ugandensis and W. stuhlmannii) that belong to this family are used traditionally as medicines against many aliments. Canella winterana are trees with an aromatic and pungent bark, found in Florida and the West Indies. Its stem bark has been used as a flavouring agent, as spices and as medicine. Previous investigations of the plant have reported the occurrence of monoterpenes, sesquiterpenes, phenylpropanoids and mannitol in the plant. In a re-investigation of the plant, ground stem bark was macerated with petrol, ethyl acetate and methanol. The separation of the extracts chromatographically, that is, column chromatography, vacuum liquid chromatography and high performance liquid chromatography (HPLC) etc., yielded a number of compounds. Of these compounds, one was identified as clovanediol, with the help of nuclear magnetic resonance (NMR), infrared (IR), ultraviolet (UV).

Introduction

The Canellaceae is a small plant family of glabrous, aromatic trees and has been described (Good, 1971 and 1974) as a discontinuous family occurring in America, Africa and Madagascar. The Warburgia species are found in East and Central Africa, and are used traditionally as medicines and spices (Kokwaro, 1976; Watt and Breyer-Brandwijk, 1962; Dale and Greenway, 1961). Canella is a genus consisting of one species, C. winterana and is found in Southern Florida, through the Caribbean, and in Colombia (Hutchinson, 1964). It has been used traditionally as a spice and as medicine (BPC, 1934).

Earlier investigations of the stem bark of Canella reported the occurrence of monoterpenes, eugenol and mannitol (Claus, 1956 and Gibbs, 1974), drimane sesquiterpenes [canellal = muzigadial], 3-methoxy-4, 5-methylenedioxycinnamolide (El-Feraly, 1978 and 1979), and 4, 13-a-epoxymuzigadial (Al-Said et al., 1989). During our re-investigation of the stem bark, we reported on the isolation and identification of myristicin, eugenol, warburganal, mukaadial and 9a-hydroxycinnamolide (Kioy et al., 1989). We now report on the further identification of a tricyclic sesquiterpene, clovanediol (Aebi et al., 1953), using spectroscopic methods.

Materials and method

Plant material

The stem bark of Canella winterana was collected from the coastal bluffs at East End Grand Cayman (Kenya) in August 1981.

Extraction and isolation

Ground stem bark (85 g) was macerated in the cold using petroleum ether (boiling range 40-60°), ethyl acetate, and methanol, in succession. Comparative thin layer chromatography (TLC) of ethyl acetate and methanol extracts showed similar chromatogams, and they were mixed together and separated by means of Vacuum Liquid Chromatography (VLC). Silica gel (Merck, 60 G) chromatography (chloroform, and then a gradient of chloroform and methanol) gave a fraction which contained one major compound. This was purified by HPLC eluting with methanol/chloroform (2:100 v/v) and then by preparative HPLC to yield 18 mg of pure clovanediol.

Physio-chemical measurements

Melting points were determined using a Reichert sub-stage microscope melting point apparatus, and are uncorrected. Specific rotations, [a]D were measured using a Perkin-Elmer model 241 polarimeter. The infra-red (IR) spectrum was recorded as a KBr disc on a Perkin-Elmer model 781 infra-red spectrophotometer. The Proton Nuclear Magnetic Resonance (1H-NMR) spectrum was recorded on a Bruker WH-360 operating at 360 MHz instrument, and the carbon-13 nuclear magnetic resonance (13C-NMR) spectrum was recorded on a Bruker WH-360 instrument operating at 90.56 MHz. High resolution electron impact mass spectral data were obtained on an AEI-MS 902 double focussing instrument by direct probe insertion.

Discussion

The structure of clovanediol was established on the basis of the spectral data, and eventual comparison with literature information. Accurate mass measurements gave the molecular ion at m/z 238, which is consistent with formula C15H26O2. The (13C-NMR) spectrum contained 15 carbon resonances, while Distortionless Enhancement by Polarisation Transfer (DEPT) experiments revealed that these consisted of three methyl, six methylene, three methine and three quaternary carbons.

Combined spectroscopic analysis and extensive single frequency irradiations and nuclear overhauser enhancement (NOE) experiments ultimately established that the isolated compound was clovanediol.

The relative stereochemistry was established by considering the magnitudes of the coupling constants, and by NOE experiments. The melting point was in agreement with the previously reported value of 152-153° (Aebi et al., 1953). This, together with the specific rotation of +6° [reported: +5° (Aedi et al., 1953)], confirmed the structure of clovanediol.


Scheme 2.4b: Proposed fragmentation pattern for clovanediol (Gupta and Dev. 1971)

Conclusion

The most logical approach towards the discovery of new drugs is through investigation of medicinal plants. This paper discusses an example on how compounds isolated from medicinal plants are identified. Although different physical-chemical methods may be used, the steps outlined in this paper are essential. In some plants, the active compounds are present in very small amounts which would otherwise be difficult to be investigated using other methods. But the use of modern spectroscopic methods has made it possible to carry out complete identification of compounds, even when they are in minute amounts.

The biological activity of clovanediol has not been investigated. However, it would be interesting to see if this compound has any activity.

References

Aebi, A., Barton, D. H. R. and Lindsey, A. S. (1953): J. Chem, Soc. (C): 3124.

Al-Said, M. S. Khalifa, S. I. and El-Peraly, F. S. (1989): Phytochemistry 28: 297.

BPC (1934): 238.

Claus, E. P. (1956): Pharmacognosy, Henry Kimpton, London.

Dale, I. R. and Greenway, P. J. (1961): In Kenya trees and Shrubs, Hatchards. London: 654.

El-Feraly, F., McDhal, A. T. and Onan, K. D. (1978): J. Chem. Soc. Chem. commun.: 75.

El-Feraly, F. S. and Hofftetter, M. D. (1979): J. Nat. Prod. 43: 407.

El-Sherei, M. M., El-Feraly, F. S., El-Sohly, M. A and Stanford, D. F. (1987): Fitoterapia 58: 272.

Gibbs, R. D. (1974): Chemotaxonomy of flowering plants, 2. McGill-Queens University Press, Montreal: 783.

Good, R. (1971): The Geography of flowering plants, 3rd Edition. William Cloves & Sons Ltd. London: 63.

Good, R The Geography of flowering plants, (1973) 4th Edition. William Cloves & Sons Ltd. London: 64.

Gupta, A. S. and Dev, S. (1971): Tetrahedron 27: 635.

Hutchinson, J. (1964): The genera of flowering plants 1. Oxford University Press: 62-65.

Kioy, D., Gray, A. I. and Waterman, P. G. (1989): J. Nat. Prod. 52: 174.

Kokwaro, J. O. (1976): Medicinal Plants of East Africa. East Afr. Lit. Bureau, Nairobi: 45

Watt, J. M. and Breyer - Brandwijk, M. G. (1962): Medicinal and poisonous plants of Southern and Eastern Africa, E. S. Livingstone Ltd., Edinburgh & London.

Williams, D. H. and Fleming, I. (1980): Spectroscopic Methods in Organic Chemistry, 3rd Edition, McGraw Hill Co. (UK) Ltd.

A comparative study of the traditional remedy ''Suma-kala'' and chloroquine as treatment for malaria in the rural areas

NOUHOUM KOITA

The Clinical Section
Traditional Medicine Division
P.O.Box 1746, Bamako, Mali.

Introduction

Traditional medicine has been utilised by the majority of the World population for thousands of years. Until the beginning of the 19th century, all medicine was traditional (Jellife, 1977). Yet in many developing countries it is true that for the majority of the rural population traditional medicine is the only primary or any other kind of health care available (Heggenhougen et al., 1988). For more than 70% of the population in Africa, traditional medicine is the first, if not the only health care system available in the poor rural and urban areas. In recognition of this fact, the World Health Organization underlined the potential role that traditional medicine may play in reinforcing the health care system through the primary health care approach in developing countries (W.H.O., 1978). The value of traditional medicine may be relative to both its pharmacological and/or biomedical value, as well as its psychological and social values (Heggenhougen et al., 1988).

Medicinal plants and their products have been used in the treatment of malaria throughout the tropics and subtropics. Such experience is not to be ignored. Instead, it should be actively investigated so that basic information can be made available for the preparation of standardized, effective and non-toxic remedies. Quinine, from the bark of Cinchona, whose legend dates from the 17th century (Bruce-Chawatt, 1985; Phillipson, et al., 1986) is an outstanding example of a plant product which has been used for centuries in the treatment of malaria. The Chinese antimalarial, quinghaosu, is another example of this kind. The Ministry of Health in Mali has been trying to study the resources of Malian traditional medicine, with emphasis on the evaluation of the effectiveness of its medicinal plants.

The main purpose of this paper is to analyse and discuss the results of a clinical trial which compares a Malian traditional remedy called "Suma-Kala", with chloroquine, as a treatment for malaria in the rural areas of Mali.

Materials and Methods

A randomized controlled trial of "Suma-Kala" in the treatment of malaria was carried out at the Selingue Health Center, from July to September, 1987.

Preceding the main study, a two weeks training and pilot study took place in the Selingue Health Centre, attended by all personnel involved in the study. The aims of these were to review and standardize the clinical and laboratory techniques and also to test and correct the material and methodology. The ethical problems of the study were discussed. Any complicated case was to be admitted immediately to the health centre for proper management.

Preparatory visits were paid to the local authorities by the doctor of Selingue Health Centre and his team, to explain the objectives of the study, and to ask for their approval and cooperation.

Objectives of the study

The objectives of the study were:

(a) to confirm the antimalarial property of the "Suma- Kala";
(b) to assess the acceptability and tolerance of the "Suma- Kala"; and
(c) to compare its activity with that of a well established standard antimalarial, which, in our case, was chloroquine.

Study area

The study was conducted in four villages in the Selingue area during the rainy season, from July to September in 1987 (Figure 1). Selingue is the National Institute of Public Health Research's rural health centre, in a dam area which deals with water-related diseases. Selingue is 135 km from Bamako. The background information about Selingue area is adapted from Traore (1986).

Human population and randomization

The method used consisted of a randomized control, and partially blind clinical trial. The four villages closest (from 3 to 10 km) to the health centre were chosen for a good follow up and case management in the event of complications. The chief and the health committee of each village chose the place (rooms) where the examination of the patients took place. All patients who thought had "sumaya" (malaria fever) were invited to attend the clinical examination.

All the patients were randomized on their arrival on day 0 and treated. The patients were randomly allocated to the "treatment" group ("Suma-Kala") or the "control" group (chloroquine) alternatively in a group of 10 on arrival. The method of "tossing a coin" was used to decide the order of allocation For the purpose of this study, the patients were told that they were receiving traditional remedies made by the Traditional Medicine Division of their own country by their own countrymen. The treatment was administered on an outpatient, basis. Neither the patient nor the medical team was blind to the treatment since the chloroquine was administered in capsules while the "Suma-Kala" was given as a decoction.

The patients were also questioned on the first day (day 0) about the recent prophylaxis and treatment and their urine was tested for presence of detectable concentration of chloroquine, amodiaquine, quinine, quinidine or mefloquine using the Dill-Glasko test.

A positive result of the Dill-Glasko test excluded the patient from the study. Any patient younger than 5 years and any pregnant woman was excluded.

The following conditions also excluded patients from the study:

(a) parasitaemia less than 5000 malaria parasites per cubic mm of finger blood smears;

(b) serious illness conditions such as, liver and kidney failures, acute or chronic pneumonia, hepatitis, and allergy;

(c) presence of serious digestive troubles such as, diarrhoea, intensive vomiting; and

(d) signs of dehydration.


Fig. 1: Map of Mali

Two teams were responsible for the study: one team in the field was in charge of the clinical examination and the blood film preparation without knowing the parasitaemia progress; and the second examined parasitaemia in the laboratory in Selingue Health Centre, without knowing which drug the patient had received. Only the result of the first blood smear (day 0) was communicated the following day (on day 1) to the clinical examination team for exclusion from the study of any patient with a parasitaemia less than 5000 of parasites per cubic mm on the first day (day 0). The other results of parasite count (days 1,3,5,7,14 and 21) were kept secret by the head of the laboratory team until the end of the study. On the other hand, the laboratory team members could not distinguish whether a slide they were examining belonged to a patient under the new drug or not.

Preparation of the drug

Both treatments were administered orally and were continued for seven consecutive days. The chloroquine diphosphate was made by our partners in France for the purpose of the study and presented in 100 milligramme and 300 milligramme capsules. Empty placebo capsules similar to those of chloroquine were made in France and sent to us by "CREDES, Terre des Hommes".

"Suma-Kala" was analysed botanically, chemically and pharmacologically. The detail on its botanical, chemical and pharmacological preliminary studies are available elsewhere in the Traditional Medicine Division in Bamako, Mali (Study of "Suma-Kala" presented to the 1988 meeting of the Scientific Committee of the National Institute of Public Health Research in Bamako).

The "Suma-Kala" is composed of three medicinal plants including Cassia occidentalis L. (locally known as: Mbala mbala), Lippia chevalieri Moldenke (locally known as: Kaniba djan); and Silanthus oleraceae Jacq. (locally known as : Mame - Farimani) (Figures 2, 3 and 4).

"Suma-Kala" was prepared by the galenic section of the Traditional Medicine Division in its laboratory in Bamako, Mali. It was a mixed powder of the leaves of Cassia occidentalis L. and Lippia chevalieri M. and of the flowers of Spilanthus oleracea J. It was presented in a small plastic bag each containing 10 grams of this mixture of powder with the following proportions:

Cassia occidentalis L. 64%
Lippia chevalieri M. 32%
Spilanthus oleraceae J. 4%

Although the population in rural areas in Mali are used to decoction preparation, the patients randomised to "Suma- Kala" were shown on the first day (day 0) how to prepare the decoction. Subsequently they were required to prepare the decoction for themselves daily at home. The decoction was prepared by boiling a bag of 10 grams of "Suma-Kala" in a half litre (500 ml) of water for about 15 minutes. Sugar can be added to sweeten its taste.

Dosage

The treatment was administered to the patients at home (outpatient). The chloroquine treatment was standardized and consisted of swallowing 10 milligrammes per kilogramme body weight during three consecutive days. For the remaining four days of the week, the empty placebo capsules were given so that the duration of the treatment for both drugs lasted for seven consecutive days.

The treatment with "Suma-Kala" consisted of drinking the decoction made from "Suma-Kala", twice a day, for four days, and then once a day for three days. The quantity of "Suma kala" bags and chloroquine capsules for the daily treatment were given to the patients each day after the clinical examination and the making of the blood film for parasitaemia count.

Clinical parameters

A form was used to record each patient's identity and the clinical parameters each day of examination. The biological parameter (parasitaemia) was recorded separately in the laboratory record. In addition to the identity (name, sex, age, village, date of examination, and the observer's name), the clinical record included the follow up of auxiliary temperature, headache, vomiting, shivering, nausea, and the side effects such as allergy and digestive troubles (see copy of the form in annex). These clinical parameters were recorded every day from day 0 (first day of examination) to day 7 (eighth day of examination) for assessing the curative effect of the drugs; and also on days 14 and 21 for assessing the eventual residual protective effect of the drugs.


Figure 2: Habit drawing of Cassia occidentalis


Figure 3 : Habit drawing of Spilanthus oleracea


Flgure 4: Habit drawing of lippia chevalieri

Laboratory methods

The laboratory method used was the malarial parasite count from finger thick and thin blood smears, using the W.H.O. standard techniques (W.H.O., 1984).

The labelling of the slides was carried out with a diamond pencil. The finger of the patient was cleaned with 70% ethanol. Staining of blood was done using Giemsa stain. The films for malaria parasites were collected in the field during the clinical examination on days 0, 1, 3, 5, 7, 14 and 21. All blood films collected were read in the first instance in the laboratory of Selingue Health Centre and cross checked after one month in the parasitology Department of the Medical School in Bamako. The laboratory observer teams were composed in Selingue by the two laboratory technicians under the supervision of the parasitologist head of the laboratory, and in Bamako by one laboratory technician and the physician parasitologist, head of the Parasitology Department of the Medical School.

The thick films were examined using the "farmer ploughing his field" technique: across the film to the opposite edge, and a slight lateral move, then back across the film, a slight lateral move. The process was repeated. For the thin films a "battlement" technique was used traversing the edge of the tail in short vertical and horizontal tracks. The number of parasites per 200 White Blood Cells were counted and parasite density was calculated taking 8,000 WBC per cubic mm as an average WBC count. A simple mathematical formula was used to convert the counts into the number of parasites per cubic mm of blood. For the minimum threshold, W.H.O. suggests 1000 parasites per cubic mm (W.H.O., 1984), but we decided to use 5000 parasites which is according to findings in Africa (Trape, 1985), a useful discriminant for separating children in whom malaria was thought to be the cause of their illness, from those in whom it probably was not. This was because of the fact that most patients in endemic areas of malaria like Selingue, could have a parasitaemia up to 1000 per cubic mm without showing the clinical signs of malaria. Therefore, any patient with a parasite density less than 5000 per cubic mm was excluded from the study.

Data analysis and reports

It was planned to carry out a computer analysis of the data and also at the Statistics Unit, the National Institute of Public Health Research in Bamako, using appropriate statistical tests (Z-test or t-test or Mantel-Haenszel test) to compare the effects of the two drugs. The results were supposed to be diffused at the different levels of utilisation.

Results of the clinical trial

About 3000 people presented with "sumaya" were included in the study. All were randomised on their arrival, then examined and their complaints were examined and treated if necessary. However, according to the criteria for inclusion in the study, only 53 of these patients were eligible for comparing "Suma-Kala" and chloroquine from July to September 1987 in Selingue. Thirty-six of the patients belonged to the "Suma-Kala" treated group and 17 belonged to the chloroquine treated group.

Age and sex distribution

The age and sex distribution is shown in Table 1. The study population was very young: 70% of the 53 patients were under 10 years. Only one patient was older than 25 years (she was 45 years old). Fourty-five percent of the patients were males and 55% were females. The results of the Mantel-Haenszel test have shown that the sex difference between the two groups after allowing for age group was not statistically significant (c2 = 0.030, with a degree of freedom = 1 and p > 0.05). On the other hand, the age group difference between the "Suma-Kala" treated group and the chloroquine treated group controlling for the sex was not significant (Mantel Haenszel c2 = 0.030 with df = 1 and p > 0.05).

Table 1: Age and sex distribution of the study population per treatment

Age group

Suma-Kala

Chloroquine

(years)

Males

Females

Total

Males

Females

Total

5-9

13

11

24

5

8

13

10-14

2

4

6

1

2

3

15-49

2

4

6

1

0

1

TOTAL

17

19

36

7

10

17

Follow-up of the study population

Table 2 shows the follow up of the study population per day and age group. The overall proportions of drop-out before the end of the study were similar among the two groups and concerned mainly the first age group (5-9 years). Eighty-six percent of the patients in the "Suma-Kala" group completed the treatment, while 71% in the chloroquine group completed the treatment. Therefore, the follow up was 15% better in the "Summa-Kala" group on day 7. However, this difference between the proportion of patients who completed both treatments was not statistically significant (Z = 0.064, p = 0.95).

Table 2: Follow up of the treatment by the patients per day and per age group

"Suma-Kala" treated group

Chloroquine group

Days

5-9

10-14

15-19

24-25

45-49

Total

5-9

10-14

15-19

Total

0

24

6

3

2

1

36

13

3

1

17

1

24

6

3

2

1

36

13

3

1

17

3

23

6

3

2

1

35

10

3

1

14

5

20

6

3

2

1

32

8

3

1

12

7

19

6

3

2

1

31*

8

3

1

12*

14

18

5

3

2

1

29

8

3

1

12

21

17

4

3

2

1

27

6

3

1

10

Clinical parameters

Figures 5 and 6 show the proportions of patients who became free of the clinical parameters per treatment and per day of treatment. The comparison of the effects of the two drugs on the clinical parameters show that "Suma-Kala" was as effective as chloroquine, if not better.

We considered an auxiliary temperature of 37.5°C or higher as fever according to findings in Africa (Greenwood et al, 1987; Delfini, 1968; Cobban, 1960). The proportions of patients who had fever, headache, shivering, nausea and vomiting at the start (on day 0) and became free of these clinical parameters after 7 days of "Suma-Kala'' treatment were respectively 59.3 %, 76%, 62.5 %, 93.3%, and 79%, while the proportions of patients free of clinical parameters under chloroquine treatment were respectively 50%, 47%, 80%, 75%% and 68%. The general trend was suggesting a better improvement under "Suma-Kala". However, the difference of the effects of the two drugs against fever, headache, shivering, nausea and vomiting was not statistically significant (all p > 0.05). The same trend of better improvement of the clinical parameters on days 14 and 21 was noticed, but the difference was not statistically significant (p > 0.05).

Side effects

No clinical complication was noticed during the follow up of the patients in spite of the high parasitaemia at the start of the treatment. Few side effects were noticed. Three cases of allergy to chloroquine causing the treatment to be abandoned on day 3 were noticed among the chloroquine group, while none was reported among the "Suma-Kala" group. One case of constipation was declared among the "Suma-Kala" group, and none among the chloroquine group.

The "Suma-Kala" was very well tolerated by the patients. Table 3 shows the proportion of patients developing clinical parameters later, on days 3, 5 or 7, without having them at start. The differences between these proportions using Fisher's exact test were not statistically significant for all (p > 0.05), except for the allergy in which case "Suma-Kala" was better than chloroquine (p < 0.05).

Table 3: Proportion of patients developing clinical parameters later on days 3, 5 or 7 without having them at start

Parameters

"Suma-Kala" group

Chloroquine group

Fever

2/9 (22.2%)

1/7 (14.3%)

Headache

1/3 (33.3%)

1/2 (50%)

Shivering

1/4 (25%)

2/5 (40%)

Nausea

0/5 (0%)

0/13 (0%)

Vomiting

0/22 (0%)

0/14 (0%)

Allergy

0/36 (0%)*

3/17 (18%)*

Indigestion

1/36 (3%)

0/17 (0%)

* p < 0.05 using Fisher's exact test.

Biological parameters

Plasmodium falciparum was the only type responsible for the malaria infection in our study. The results of the biological parameters are shown in Tables 4 and 5 and in figure 7. These results suggested that chloroquine was more effective than "Suma-Kala" in cleaning the parasites of malaria from the finger blood smears.


Figure 5: Proportion of patients who had fever on day 0 and became free from it later per day and treatment


Figure 6: Proportion of patients with headache on day 0 but none later on per day and per treatment


Figure 7: MEAN LOG (PARASITAEMIA .1) PER DAY AND PER TREATMENT

Before the treatment started (on day 0), the overall geometric mean of parasite count was 17975.3 among the "Suma-Kala" group for a population of 36 patients, while among the chloroquine group it was 13414.3 for a population of 17 patients. The difference between the parasitaemia of the two groups using mean log (parasitaemia count + 1) was not statistically significant (t-test = 1.37, df = 51, and p > 0.05).

At the end of the 7 days treatment, the geometric mean of parasitaemia count became 153.8 among the "Suma-Kala" group for 31 patients, while in the chloroquine group it became 3.4 for 12 patients. The difference between the means of parasitaemia using the mean log (parasitaemia count +1) became statistically significant (t = 2.98, df = 41 and p < 0.05) (Table 4). These figures in Table 4 were suggesting that chloroquine was better than "Suma-Kala" in cleaning the malaria parasitaemia at the end of both treatments.

Table 4: Mean log (parasitaemia count + 1) and geometric means per day and per treatment


"Suma-Kala" group

Chloroquine group

Days

log(cnt+1)N

SD

Geom. mean

log(cnt+1) N

SD

Geom. mean

0

4.2547 36

.3079

1795.3

4.1276 17

.3274

13414.3

1

3.8774 36

.6282

7539.5

3.0301 17

.9380

1046.4

3

2.9449 36

1.4131

880.0

1.3995 13

.9204

24.1

5

2.4817 32

1.4201

302.2

.7175 12

.8457

4.2

7

2.1898* 31

1.6239

153.8

.6417* 12

1.2096

3.4

14

2.3245 28

1.6530

219.1

.1165 12

.4036

3.0

21

1.8449 26

1.6094

69.0

.5454 10

.8921

2.5

* p > 0.05

Residual effect of the drugs

We expected the protective ("prophylactic" or residual) effect of "Suma-Kala" to be continued one or two weeks after the treatment like the way it usually happens with chloroquine. The data on days 14 and 21 (Tables 4 and 5) were for the study of these eventual residual effects.

The residual effects of "Suma-Kala" against the clinical symptoms of malaria were similar with those of chloroquine. However, the parasitaemia of 5 among the 18 patients of the "Suma-Kala" group with low parasitaemia (less than 1000 parasites per cubic mm) on day 7 (end of both treatments), became high (greater than 1000 parasites per cubic mm) on days 14 and 21, while the patients of the chloroquine group with low parasitaemia on day 7 remained with a low parasitaemia. The difference between these proportions (13/18 and 12/12 or 10/10) was statistically significant (using Fisher's exact test p < 0.05). Although the sample size was small, this result was suggesting that the residual protective effect of "Suma-Kala" was less than that of chloroquine on days 14 and 21.

Table 5 shows the proportions of patients with parasitaemia less than 100 per cubic mm per day and per treatment. At the end of the treatment (day 7), the difference between these proportions (58.1 % versus 92%) was not statistically significant (Z = 1.72 and p = 0.085 > 0.05).

On day 21 also, the proportions of patients with a parasitaemia less than 100 per cubic mm (63 % versus 100%) were not statistically significant (Z = 1.81, p = 0.07 > 0.05).

Table 5: Proportions of patients with parasitaemia less than 1000 per cubic mm per day and per treatment

Days

"Suma-Kala" group

Chloroquine group

0

0/36 (0%)

0/17 (0%)

1

3/36 (8.3%

10/17 (59%)

3

15/35 (43 %

13/13 (100 %)

5

17/32 (53.1 %

12/12 (100 %)

7

18/31 (58.1 %)

11/12 (92%)*

14

16/29 (55.2 %)

12/12 (100 %)

21

17/27 (63 %)*

10/10 (100 %)*

* p > 0.05

Discussion of study design and results

A good study design should be made in such a way that any observed difference between the treatment and the control group can be attributed to the real effect of the treatment.

We thought of using the randomized double blind placebo control trial but unfortunately, the drug section could not make placebo for the "Suma-Kala", and it was impossible to make the leaves composing "Suma-Kala" unrecognizable. On the other hand, because of ethical consideration, a control group receiving no treatment or placebo was not thinkable. We finally ended up with a randomized control blind method.

Whenever possible, it is preferable that neither the participant nor the investigator knows which treatment has been received until after the end of the trial.

For future trial if the drug section is able to make a placebo preparation indistinguishable to "Suma-Kala", then we can achieve a double blind method by giving to the control group chloroquine capsules plus a placebo decoction and to the treatment group "Suma-Kala" decoction plus placebo capsules. We randomized alternatively by group of 10, the patients declaring having "Suma-Kala" (malaria) on their arrival to the control and the treatment group. The method of "tossing a coin" was used to decide the order of allocation. The patients were unknown by the examiners and therefore this limited the selection bias. However, the randomization method we used could be improved for instance by randomizing only the eligible patients and by using random number tables with odd numbers (1,3,5,7,9, etc.) corresponding to the chloroquine treated group and even numbers (0,2,4,6,8, etc.) to the "Suma-Kala" treated group (or vice versa).

Instead of numbers, different combinations of letters could also be used to randomize the patients (i.e., AABB, ABBA, ABAB, BBAA, etc., where A is for the control group and B for the treatment group, or vice versa). The order of allocation should be preferably decided before the start of the trial. It is sometimes also desirable to arrange the allocation so that equal numbers of participants will be entered into each group. That is what (Kirkwood (1988) called "restricted randomization" or "randomization with balance."

We had a lot of trust on the patients for following correctly the instruction for the preparation of "Suma-Kala."

The urine of the patient became positive to the Dill- Glasko test, like it happened with chloroquine. Therefore Dill-Glasko test was not performed after day 0 to check whether patients on "Suma-Kala" also gave themselves chloroquine. This could perhaps be avoided by doing the study on patients basis in which case one would have to think about selection biases. For future trials we should find a way to perform spot check.

There is no perfect approach and the field conditions are such that compromise between theory and reality is obligatory. What is essential is to be as close as possible to the ideal as the conditions permit it. The fact that our population was very young, may be due to the high level of our threshold of 5000 parasites per cubic mm, which is easier to get among the young people because the older people in a high endemic area may have already developed their semi-immunity to malarial infection (Bruce-chawatt, 1985; Trape, 1985).

Because of the conditions required for the inclusion in the study, our sample collected during three months seems small. Most of the people of Selingue very often take chloroquine in all cases of fever or for prophylactic purpose. Therefore, the urine in most of the people was positive for the Dill-Glasko test. In these conditions, a reasonable sample size was difficult to obtain in three months and the resources available could not permit a longer stay.

The results so far of the study are interesting for several reasons. To our knowledge this study is perhaps one of the first (if not the first) clinical trials comparing African traditional antimalarial medicinal plants and allopathic antimalarial drugs.

Some preliminary work has been done in some countries but not published (Bray, personal communication). Most of the studies published referred to in vivo experiments on mice infected berghei (Makinde and Obih, 1984; Peter, 1970) or in vitro (Phillipson et al., 1986).

The plants which composed "Suma-Kala" were known in West Africa and used in traditional medicine against several diseases.

Cassia occidentalis L. was the most popular, and the most used by the traditional practitioners mainly against malaria fevers, headache and skin diseases (Kheraro, 1974; Ayensu, 1978; Rozat, 1979; Oliver, 1986, Sofowara, 1982).

The findings have shown that C. occidentalis has antiparasitic and antibacterial activities (Oliver, 1986). Spilanthus oleraceae J. was known too, and used as a medicinal plant in West Africa (Kheraro, 1974; Rozat, 1979). The extracts of its flower-heads killed Anopheles larvae and the whole plant has shown insecticidal properties (Oliver, 1986).

Lippia chevalieri M. was the least popular among the plants which composed "Suma-Kala." However, it was also used as a medicinal plant in West Africa (Kheraro, 1974; Rozat, 1979).

The results of the study have shown that "Suma-Kala" is as effective as chloroquine against the symptomatic signs of malaria. Therefore, the traditional practitioners are quite right in using these medicinal plants against malaria because their diagnosis and prognosis of the disease are mainly based on clinical symptoms.

The current dosage of "Suma-Kala" was less fast than that of chloroquine in suppressing the malaria parasitaemia. The difference between the proportion of patients with parastitaemia less than 1000 parasites per cubic mm, was not statistically significant at the end of the treatment (day 7). However, the difference between the mean log (parasitaemia count + 1) of the two groups was statistically significant. Therefore, chloroquine was more effective than "Suma-Kala" in clearing the parasitaemia.

A parasitaemia of 1000 per cubic mm of finger blood smears is common among the people living in endemic areas like Selingue, and is well tolerated. That is why WHO suggested it as a cut off point (WHO, 1984) and (Trape 1985) suggested a higher level of minimum threshold of 5000. If we consider a parasitaemia of 1000 per cubic mm as "normal" in endemic areas during a period of high infection (raining season) as suggested by many authors (W.H.O., 1984; Trape, 1985; Greenwood et al., 1987), "Suma-Kala" and chloroquine could be considered as having similar effects against malaria, because the difference between the proportion of patients among the two groups having a parasitaemia less than 1000 parasites per cubic mm was not significant at the end of treatment.

It could be interesting to compare the effect of "Suma- Kala" to that of a placebo. But for ethical reasons, a placebo group was not used in our study, and in the literature we did not see any publication referring to placebo effect on malaria. Nevertheless, no case of complication was noticed among our patients in spite of very high parasitaemia cases (some were as high as 80,000 parasites per cubic mm). Furthermore, the difference between the biological parameters (proportion of patients with a parasitaemia less than 1000) on one hand, and between the clinical parameters (proportion of patients with fever, headache, vomiting, nausea, shivering) on the other hand, were not statistically significant. And also, the likely pattern of high parasitaemia in untreated malaria would be the occurrence of clinical malaria with a certain number of complications (for instance convulsions in children) and probably some cases of deafness. Therefore, we were convinced that the effect of "Suma-Kala" was far more than that of a placebo.

The two drugs were well tolerated, but "Suma-Kala" was better tolerated than chloroquine. This was illustrated by three facts. Firstly, the study did not show any side effect from "Suma-Kala", while 3 patients among the chloroquine treated group abandoned the treatment on the third day because of the allergy to chloroquine that they developed. Secondly, the difference between the proportions of patients who have developed later on clinical parameters without having them at start was not statistically significant, except for the allergy to chloroquine noticed among the chloroquine group. Thirdly, the follow-up of the treatment by the patients was 15 % higher among the "Suma-Kala" group.

An attempt was made to measure the protective (residual or "prophylactic") effect of the drug by looking at the clinical and biological (parasitaemia) parameters on days 14 and 21. The interpretation of the data on days 14 and 21 was difficult, because of the size of the sample becoming smaller on one hand, and on the other hand, these data are rather related to the eventual residual protective effect than to the prophylactic effect. Nevertheless, the two drugs seemed to have the same residual protective effect against the clinical parameters, but concerning the biological parameter, "Suma-Kala" seemed to have a less protective effect against malaria reinfection than chloroquine.

Conclusion

Research into medicinal plants should not stop because the herbal medicine still has an immense potentiality to enrich the universal pharmacopoeia.

Although the cooperation between allopathic and traditional medicine is not easy to build, it is necessary because it represents a valuable national resource for many developing countries. Therefore, it should be taken into account for the achievement of the World Health Organization goal of an ideal health for all. In Mali, as elsewhere, the research into traditional medicine should be extended beyond the focus on phytotherapy, and efforts should be made to do more research in the other aspects of traditional medicine because they heal people, even though they may not cure disease. The Malian traditional antimalarial remedy, "Suma-Kala", is working. The study showed that it is as efficient as chloroquine against the clinical symptoms such as fever, headache shivering, vomiting, and nausea, and also that it was better tolerated. However, "Suma-Kala" was not as fast as chloroquine in clearing malaria parasitaemia.

More research should be done in order to improve the mode of administration of "Suma-Kala", and to increase its speed of clearance of malaria parasitaemia. For instance, more research on its dosage and galenic presentation could improve its effects. Although the study has shown interesting results, its design, particularly the sampling method and the 'blindness', could be improved for future clinical trials. A randomised blind control trial could be applied, provided that a placebo for the "Suma-Kala" is available, so that the "control group" will receive chloroquine capsules (or the standard treatment) plus placebo (decoction), and the "treatment group" will receive "Suma-Kala" (or the new drug), plus placebo (capsules).

Meanwhile, the production and commercial exploitation of "Suma-Kala" in Mali should not be delayed. The plants which compose "Suma-Kala" are locally available and could also be locally cultivated. Therefore, the production of "Suma-Kala" should be regarded in the perspective of reducing the burden of drug importation, and also as a potential alternative source of income for the peasants.

Acknowledgements

I am grateful to Prof. Mamadou Koumare for the initiation of contemporary research into traditional medicine in Mali; Ms Gillian Maude for providing invaluable assistance and encouragement in preparing this paper; Drs. Kris Heggenhougen, Thierry Mertens and Dorothy Bray for reading early drafts and giving useful feedback; Drs. Drissa Diallo, Ogobara Doumbo, Moctar Guindo, the people and the personnel of the Selingue Health Centre, and the personnel of the Traditional Medicine Division for actively taking part in designing and implementing the study; Dr. Martin Vitte and her colleagues from "CREDES, Terre des Hommes, France" for funding of the study and the British Council for sponsoring my MSc. course in England.

References

Ayensu, E.S. (1978). Medical Plants of West Africa, Reference Publication, Inc., Michigan, U.S.A: 72-75.

Bray, D.H. Personal Communication, Department of Medical Parasitology of the London School of Hygiene and Tropical Medicine. Keppel Street, London WC1E 7HT, UK.

Bruce-Chwatt, L.J. (1985). Essential Malariology, William Heinemann Medical Books, Second Edition, London.

Cobban, K. McL (1960). Journal of Tropical Medicine and Hygiene, 63: 233-237.

Delfini, L.F. (1968). The Relationship Between Body Temperature and Malaria Parasitaemia in Rural Forest areas of Western Nigeria. W.H.O. Report WHO/MAL 68.654 [Unpublished document].

Greenwood, B.M. et al (1987). Mortality and Morbidity From Malaria Among Children in a Rural Area of the Gambia, West Africa. Transaction of the Royal Society of Tropical Medicine and Hygiene. 81: 478- 486.

Heggenhougen, K. et al (1988). Traditional Medicine and Primary Health Care. EPC Publication No. 188. London Shool and Tropical Medicine, Keppel Street, London WC1E 7HT UK.

Imperato, P.J. (1981). Modern and Traditional Medicine: The case of Mali. Annals of Internal Medicine, 95. No. 5.

Jelliffe, D.B. and Jelliffe, E.F.P. (1977). The Cultural Cul-de-sac of Western Medicine. Transactions of the Royal Society of tropical Medicine and Hygiene 71 (4): 331-334.

Kheraro, J. (1974) . La Pharmacopee Senegalaise Traditionnelle. Plantes Medicinales and Toxiques, ed. Vogot Freres, Paris.

Kirkwood, B.R. (1988). Essentials of Medical Statistics. Sackwell Scientific Publications, Oxford.

Makinde, J.M. and Obih, P.O. (1984). Screening of Morindo lucida Leaf Extract for Antimalarial Action on Plasmodium berghei berghei in mice. African Journal of Medicine and Social Science. 14: 59-63.

Oliver, B. (1986). Medicinal Plants in Tropical West Africa. Cambridge University Press, UK.

Peter, W . (1970). Chemotherapy and Drug Resistance in Malaria. Academic Press, London.

Phillipson, J.D. and O'Nell, M.J. (1986). Antimalarial drugs from plants? Parasitology Today. 2 No. 12: 355-359.

Rozat, T.A. (1979). Plantes Medicinales du Mali. Bamako, Mali.

Sofowora A. (1982). Medicinal Plants and Traditional Medicine in Africa. J. Wiley and sons Limited, Chichester.

Traore M.S. (1986). Schistosomiasis in Selingue. A Man-Made Lake in Mali. A dissertation for the MSC, C.H.D.C. London, School of Hygiene and Tropical Medicine, UK.

Trape J.F. et al. (1985). Criteria for diagnosing clinical malaria among a semi-immune population exposed to intense and perennial transmission. Transactions of the Royal Society of Tropical Medicine and Hygiene, 79: 435-442.

World Health Organization (1978). The Promotion and Development of Traditional Medicine. Technical Report Series, No 622. Geneva.

World Health Organization (1984). Advances in malaria chemotherapy. Technical Report Series No. 711.

Ethnobotany and conservation of medicinal plants

R.L.A. MAHUNNAH and E.N. MSHIU

Traditional Medicine Research Unit
Muhimbili Medical Centre
P.O. Box 65001
Dar es Salaam, Tanzania

ABSTRACT

Plants are indispensable to man for his livelihood. This paper presents the value of ethnobotany to the search for new biomedical compounds in the tropics. The general values of the rich tropical vascular plant flora as sources of direct therapeutic agents, as sources of starting points for the elaboration of more complex semisynthetic compounds, as sources of substances that can be used as models for new synthetic compounds, and as taxonomic markers for the discovery of new compounds, are highlighted. A case is made for continued research in ethnobotany, since it is estimated that 80% of the people in the Third World rely on traditional medicine for primary health care needs, most of which is plant-derived.

The whole question is addressed from socio-economic perspectives. Of all the plant-derived compounds that are used in the prescription drugs, about 50% originate from the tropics; yet it is here where the greatest threats to plant biodiversity occur. Therefore, concerted ethnobotanical research is directly linked to the urgent need for sustainable conservation programmes. It is proposed that conservation programmes for developing countries take into account both conservation of maximum plant biodiversity and focused approach aimed at individual medicinal plants.

The results should facilitate better management of our medicinal plant genetic resources for sustainable economic harvesting in both in-situ and ex-situ conservation -areas.

Introduction

Our purpose here is to urge that ethnobotanical prospecting, the exploratory process by which new useful plants are discovered, be substantially intensified. However, plant species are being lost at an ever-increasing rate, faster by orders of magnitude than rates of evolutionary replacement. Therefore intensification of ethnobotanical exploration should, of necessity, be linked to the urgent need for sustainable conservation strategies for medicinal plants since human expansionist demands can be expected to wreak environmental deterioration and biotic destruction well into the next century.

This paper specifically urges for an Increased involvement of developing nations in the exploratory and conservatory process, an involvement which, in our view, is warranted on scientific, economic and cultural grounds.

Traditional Therapy

Traditional medicine is a priceless heritage which was created in the historical course of prevention and treatment of diseases over a long period. Today, traditional systems of medicine, which utilize mostly plant-derived prescriptions, remain the source of primary health care for more than 3/4 of the Third World population. It is estimated that a third of all world pharmaceuticals are of plant origin, or if algae, fungi and bacteria are included, then two thirds of all pharmaceuticals are plant based. Therefore, traditional medicine and medicinal plants are indispensable in practice. The rich traditional ethnopharmacopoeia of the Third World's tropical flora is, indeed, indicative of the high utility of indigenous medicinal plants.

Proper development and utilization of traditional medicinal plants, is of great significance in the development of health services and provides for proper take- over of national cultures for developing countries. The merit of traditional therapeutics cannot be over-emphasized. It is easily acceptable to the community, manageable and is of low cost. With the rich traditional medicinal plant resources, efficacy of prevention and treatment of disease can be ensured by appropriate, but comparatively non-sophisticated technology and with minimal side effects. Therefore proper utilization of the traditional medicinal systems by developing nations can make significant contributions towards the implementation of the programme of Health For All by the year 2000.

Drugs from nature

Through most of man's history, botany and medicine were, for all practical purposes, synonymous fields of knowledge. Therefore, the traditional healer, usually an accomplished traditional botanist, represents, probably, the oldest professional man in the evolution of human culture. However, the advent of modern technology and synthetic chemistry has been able to reduce our almost total dependency on the plant kingdom as a source of medicine. Nonetheless, plants have traditionally served as man's most important weapon against pathogens. In fact, it seems that even the Neanderthal man knew and made use of medicinal plants.

What, then, is the value of ethnobotany to the search for new biomedical compounds? Of the hundreds of thousands of species of living plants, only a fraction have been investigated in the laboratory. This poor understanding of plants is particularly acute in the tropics. Consequently, this calls for the urgent need for continued ethnobotanical research. The importance of ethnobotanical enquiry as a cost-effective means of locating new and useful tropical plant compounds, cannot be over-emphasized. Most of the secondary plant compounds employed in modern medicine were first 'discovered' through such investigation. Some 119 pure chemical substances extracted from higher plants, are used in medicines throughout the world, and 74% of these compounds have the same or related use as the plants from which they were derived. The rosy periwinkle, Catharanthus roseus (synonymous to Vinca rosea), represents a classic example of the importance of plants used traditionally by man. This herbaceous plant, native to South-eastern Madagascar, is a source of over 75 alkaloids, two of which, vincristine and vinblastine, are used to treat childhood leukemia and Hodgkin's disease, with a significant success rate. The use of quinine from Cinchona bark to cure clinical malaria, today owes its use by Peruvian Indians in the 17th Century, who employed crude extracts from the Cinchona trees to cure malarial fevers. These are but only a few of what modern medicine owe to ethnobotanical treasures.

There are four basic ways in which plants that are used by tribal peoples are valuable to modern medicine. First, some plants from the tropics are used as sources of direct therapeutic agents. For example, the alkaloid D - tubocurarine, extracted from a liane, Chondradendron tomentosum, is widely used as a muscle relaxant in surgery.

Secondly, tropical plants provide sources of starting points for the elaboration of more complex semi-synthetic compounds. For example, saponin, an extract from Dioscorea, is chemically altered to produce sapogenins, necessary for the manufacture of steroidal drugs. Thirdly tropical flora can serve as sources of substances that can be used as models for new synthetic compounds. Cocaine from the plant Erythroxylum coca, has served as a model for the synthesis of a number of local anesthetics, such as procaine. Lastly, plants can also be used as taxonomic markers for the discovery of new compounds. For example, although little was known of the chemistry of the Orchidaceae, plants of this family were investigated because of its close systematic relationship to the Liliaceae. The research demonstrated that not only was the Orchidaceae rich in alkaloids, but many of these alkaloids were unique and thought to be of extreme interest for the future. This rich natural economic resource needs urgent appraisal to coincide with the current "green wave" of lay interest in herbs and natural plant medicines, which is unparalleled in modern history.

We must consider seriously the importance of medicinal plants in the developing countries. The World Health Organization estimated that 80% of the Third World population rely on traditional medicine for primary health care needs. In many cases, these countries simply cannot afford to spend millions of dollars on imported medicines which they could produce or extract from their tropical forest plants. Indigenous medicines are relatively inexpensive; they are locally available and are usually readily accepted by the people. The ideal situation would be the establishment of local pharmaceutical firms that would create jobs, reduce unemployment, reduce import expenditures, generate foreign exchange, encourage documentation of traditional ethnomedical lore, and be based on the conservation and sustainable use of the tropical forests.

Conservation

What can the medical community do to aid both the struggle to conserve tropical forests and the search for new plant medicines? Many reasons have been presented to the general public: aesthetic, ethical and the like. But the most relevant to the medical profession is the utilitarian, that is, species are of direct benefit to us. The few examples that are given above (drugs from nature), are indicative of the kinds of undiscovered compounds that are undoubtedly there to be discovered.

Tropical forests are complex chemical storehouses that contain many undiscovered biomedical compounds with unrealized potential for use in modern medicine. We can gain access to these materials only if we study and conserve the plant species that contain them. The point that cannot be over-emphasized, and which is at the core of our argument here, is that biotic impoverishment is tantamount to chemical impoverishment. Loss of a species means loss of chemicals of possible use, chemicals potentially unique in nature, not likely to be invented independently in the laboratory.

Clearly, the most urgent conservation problems are occurring in the tropics. While the tropical forests cover less than 10% of the earth's surface, they are believed to contain over 50% of the world's species, and the majority of the endangered species. Extinction is a natural process, yet to view these recent extinctions as natural, is to misinterpret the geological record.

Parallel to this, is the urgent need to document and conserve ethnomedical plant lore, since indigenous knowledge is essential for use, identification and cataloguing of the (tropical) biota. As tribal groups disappear, their knowledge vanishes with them. Thus, the preservation of these groups is not a luxury, but a significant economic opportunity for the developing countries. Failure to document, this lore would represent a tremendous economic and scientific loss to humanity.

Action plan

To achieve these objectives ultimately, some practical issues need to be addressed to. These include:

(a) Formulating clear policies on the practice of traditional medicine. The policies should promote, inter alia, the organization of traditional healers, and realistic integration of traditional and modern medical practices.

(b) Promoting the volarization of medicinal and aromatic plants growing in the spontaneous flora, by setting up specialized units in agrobiological, pharmaceutical industrial and quality control aspects.

(c) Promoting the strengthening of research capability in the field of traditional medicinal plants.

(d) Promoting research in the economic mapping of the indigenous vascular plant flora, to identify the qualitative and quantitative natural resources, in medicinal and aromatic plants, in order to render the economic potential profitable.

(e) Promoting ethnobotanical studies to retrieve the vanishing ethnomedicinal information from remote village communities especially the traditional healers.

(f) Promoting the conservation of medicinal and aromatic plants, based on realistic in situ and ex-situ sustainable programmes, i.e., conservation of maximum plant biodiversity and individual plant species, respectively.

(g) Promoting meaningful infra-regional, regional and international cooperation that will enhance the exchange of information and technology of medicinal and aromatic plant genetic resources, without jeopardizing the genetic germ plasm.

References

Earthscan, J. (1982). What's Wildlife worth? International Institute for Environment and Development. London.

Eisner, T. (1988). Chemical Exploration of nature: A Proposal for Action, in Ecology, Economics, and Ethics: The Broken Circle. Yale University Press.

Farnsworth N.R. (1977). Foreword in major medicinal plants. J. Morton and G.C. Thomas. Springfied.

Plotkin, M.J. (1988). Conservation, Ethnobotany, and the Search for New Jungle Medicines: Pharmacognosy Comes of Age Again. Pharmacothera 8:257-262.

Sohultes, R.E. (1979). The Amazonia as a Source of New Economic Plants, Econ. Bot. 33: 259-266.

Swain, T. (1975). Plants in the Development of Modern Medicine.

Tyler, V.E. (1986). Plant Drugs in the Twenty-first Century. Econ. Bot. 40: 279 - 288.

UNESCO. (1978). Tropical Forest Ecosystems: A state of knowledge. Report prepared by UNESCO/UNDP/FAO. Paris.

Wagner, H. and Wolf, P., (1977). New Natural Products and Plant Drugs with Pharmaceutical, Biological and Therapeutic Activity. Springer-verlag. Berlin, New York.

Biotransformation of hydroxyanthraquinone glycosides in Cassia species

S.R. MALELE

Department of Pharmaceutical Sciences
Muhimbili Medical Centre
P.O. Box 65013
Dar es Salaam, Tanzania.

ABSTRACT

The development and application of tissue cultures in the production, biosynthesis and biotransformation of secondary metabolites is presented. Specific consideration is given to 1, 8 - dihydroxyanthraquinone derivatives of Cassia senna and Cassia artemisiodes. Plant Tissue Cultures, both static (solid) and in suspension (liquid) were established from seeds of same. Conditions for culture growth were investigated and optimised and cultures were maintained by sub-culturing for up to 32 passages.

Qualitative and quantitative analysis of hydroxyanthraquinone derivatives was investigated with emphasis on the application of HPLC. Total content and variation of these compounds in the species was carried out. Five compounds were identified and assayed, namely aloe-emodin, chrysophanol, emodin, physcion and rhein.

Incorporation of radio-active precursors (U-14C-acetate and (2-14C- malonate) were studied in cultures of the species, and their conversion into hydroxyanthraquinone derivatives has been instigated. Cultures were harvested at regular intervals, extracted and the hydroxyanthraquinones separated by HPLC before measurement of incorporated radioactivity.

Fluctuation of the radioactivity in the anthraquinone constituents occurred throughout the passage suggesting that biosynthesis and biotransformation were occurring simultaneously.

Plants of the same species were injected with (2-14C)-malonate, anthraquinones extracted at regular intervals and separated by HPLC prior to measurement of radioactivity.

Introduction

Anthraquinones are the largest group of natural quinones and historically the most important which for a long time have been used as dyes. The derivatives have cathartic activity and are used as purgatives and are widely employed in geriatric and pediatric medicine (Rada et al., 1974). Plant families which are the richest sources of this class of compounds (including important genera) are Polygonaceae (Rheum, Rumex and Polygonum), Rhamnaceae (Rhamaus and Zizyphus), Leguminoceae (Cassia), Rubiaceae (Morinda, Rubia and Galium, and Liliaceae (Threase and Evans, 1983).

Species such as Rheum palmatum (rhubarb), Aloe ferox, Cassia senna, and Rhamnus alnus have long been used as laxative drugs. They contain the anthraquinone derivatives, mainly as glycosides, which on hydrolysis yield aglycones which are hydroxyanthraquinone derivatives. The common polyhydroxyanthraquinone derivatives present in laxative drugs are 1,8 - dihydroxyanthraquinones (1,8 - DHAQ) and typical structures are given in Figure 1.


Fig. 1: Typical polyhydroxyanthraquinones


R1

R2

Chrysophanol

Me

H

Emodin

Me

OH

Physcion

Me

OMe

Aloe-emodin

EtOH

H

Rhein

CO2H

H

Biosynthesis of anthraquinones

Leristner et al., (1969) and Fairbairn et al. (1972) established that naturally occurring anthraquinones are synthesized by two completely separate pathways. Thus those of the emodin type (with substituents in both terminal rings A and C) are usually derived through the acetatemalonate (polyketide) pathway in both higher and lower plants, while the alizarin (without substituents in ring A) type of anthraquinones are derived through the shikimic acid pathway.

Pharmacology and mode of action

Sennosides have the highest purgative activity, followed by rhein monoglcosides, whereas the anthraquinone glycosides are less active and the aglycones have the least activity (Fairbairn et al., 1949, 1965, 1970).

The mechanism of action of anthraquinone glycosides involves the systematic deposition of these compounds to the site of action in the intestine, enzymatic cleavage of the sugar groups and the slow oxidation of the resulting compounds, thus releasing the free anthraquinones which act on the intestines to produce peristalsis (Fairbairn, 1964).

Plant tissue culture

Over the centuries, plants have made a major contribution to the health of mankind, particularly through their use as spices, flavours, fragrances, vegetable oils, soaps, natural gums, resins, drugs, insecticides and other significant industrial, medicinal and agricultural raw materials. Scraag (1986) noted that despite substantial advances in microbial and chemical production methods, plants still remain the source of active ingredients of some 25% of prescribed medicines. The continued demand of these compounds has encouraged scientists to search for reliable alternative sources. One of the significant contributions to the manipulative powers of modern biologists has been the development of tissue culture techniques. Plant cells in culture have been expected to produce secondary metabolites which are characteristic of the whole plant (Rai, 1976). Several patents dealing with the production from cultures of metabolites such as allergens, dios-genin, L-dopa, ginsenosides, glycyrrhixin, etc have been registered (Staba, 1982; Bajaj, 1988).

In this paper the establishment of tissue cultures of Cassia species and the careful phytochemical investigation of the controlled production of the hydroxyanthracene derivatives is discussed. An attempt to devise a sensitive, rapid and efficient analytical technique of these very closely related hydroxyanthracene derivatives by the use of HPLC will also be presented.

Materials and methods

Cultures

Cultures were established from seeds of Cassia artemisioides on Murashige and Skoog's modified tobacco medium. Cultures were incubated in the dark at 25°-27°C and maintained for more than 30 passages, each of 38 days. Static cultures were chosen for subsequent analysis rather than suspension cultures because they proved to give better results in the production of secondary metabolites. Anthraquinone content variation during a single passage of the culture was done with a view to subsequent investigation of the biotransformation of the compounds produced.

Phytochemical investigations

The phytochemical investigations followed the scheme shown in Figure 2.

Sensitivity screening for sennosides showed negative results. Nonetheless purification was carried out by column chromatography and preparative TLC. Five compounds - chrysophanol, emodin, physcion, aloe-emodin and rhein -were isolated and identified spectroscopically (UV, IR and MS) and by comparison of the melting points with those reported for chrysophanol, emodin, physcion, aloe-emodin and rhein.

Radio-tracer studies

Feeding technique

The precursors used were (1-14C)-acetate and (2-14C)-malonate. 0.1 mCi in 5 ml of each of the tracers was separately added onto the callus once the culture showed visible signs of growth. Cells were harvested at regular intervals, extracted and the compounds were separated by high performance liquid chromatography (HPLC). Plants were fed with 14C-malonate and radio-active incorporation monitored at regular intervals by HPLC. The malonate was fed at the leaf-base where an axillary bud was evident. The HPLC instrument consisted of Rheodyne rotary valve which was equipped with a 100 ml loop, in order to collect sufficient eluate from the column for scintillation studies.

Anthraquinones were consistently eluted in the sequence, aloe-emodin, rhein, emodin, chrysophanol and physcion. Using the reverse phase system, this elution sequence is broadly in accordance with their polarities: aloe-emodin polar, and physcion, least polar is eluted last.

Results

The results of the study to investigate the influence of 14C-acetate and 14C-malonate, intermediates in the biosynthesis of polyketides, on the production of hydroxyanthracene derivatives are shown in Figure 3A and 3B and also in Figure 4A and 4B. The incorporation rates of the two radio-tracers and the radio-activity values are given in Table 1.


Figure 2 : Schematic diagram for the entraction of Hydroxyanthracene derivatives


Figure 3A : Influence of acetate and malenate in rhein production in static cultures of Cassia senna


Figure 3B : Influence and radioactivity incorporation of acetate and malonate in emodin in static cultures of Cassia senna


Figure 4A : Influence and radioactivity incorporation of acetate and malonate in chrysophanol in static cultures of Cassia senna


Figure 4B : Influence and radioactivity incorporation of acetate and malonate in aloe-emodin in static cultures of Cassia senna


Fig 5 : Suggested transformation of anthroquinones derivatives

Comments:

(a) Anthracene derivatives were able to absorb the radio- tracers.

(b) Malonate was incorporated into hydroxyanthracene compounds at a higher rate than for acetate. The incorporation varied, chrysophanol being highest and with rhein much lower.

The suggested transformation of anthraquinone derivatives is given in Figure 5.

Discussion and Conclusion

From the results above the interconversions shown in Scheme 1 were found to occur.


Scheme 1

Le médicament indigène Africaine: Sa standardisation et son évaluation dans le cadre de la politique des soins de santé primaires

MAMADOU KOUMARE

WHO Africa Office
Brazaville, Republic of Congo

Sommaire

Le médicament indigène africain obéit à des règles de préparation dont le respect permet d’obtenir des produits d’une standardisation acceptable, qualitativement et quantitativement.

L’étude des doses thérapeutiques proposées par le tradithérapeute, montre que ces doses sont également acceptables.

L’efficacité thérapeutique étudiée par des essais cliniques comparés et l’importance de la consommation du remède indigène africain, constituent les éléments de son évaluation. Les règles de cette évaluation devrait tenir compte du concept du médicament indigène africain.

Introduction

Il ne fait plus aujourd’hui aucun doute que les soins de santé primaires (SSP) offrent l’une des approches les plus viables pour atteindre l’accessibilité à la santé pour tous.

En effet, cette approche suppose la prise en compte de toutes les ressources appropriées disponibles y compris les pratiques et les remèdes des systèmes indigènes de soins.

La composante pharmaceutique de cette politique des soins de santé primaires, de mande la mise à la portée des populations, géographiquement et économiquement, des médicaments appropriés.

Malgré l’engouement populaire, l’acceptabilité du médicament indigène africain se heurte aujourd’hui encore à une certaine méfiance; d’où la nécessité de son évaluation et de sa standardisation afin d’en favoriser son homologation et son inscription sur les listes des médicaments essentiels.

Si tout le monde est unanime sur la nécessité d’une évaluation, il ne semble pas qu’il en soit de même pour le recours aux conditions de mise sur le marché appliquées actuelle ment aux nouveaux médicaments.

Notre propos n’est point de faire accepter n’importe quel médicament pour les soins de santé primaires, ni encore moins d’opposer le remède indigène africain au médicament européen; mais de présenter une expérience ayant pour objectif de dissiper la méfiance causée par certains préjugés défavorables et d’aider à résoudre le problème de santé publique qu’est l’approvisionnement régulier des formations sanitaires en médicaments.

Si une certaine analogie est apparente dans le concept de médicament des deux systèmes de soins, indigène africain et exotique européen, il n’en est pas moins vrai que la philosophie qui les soutend est différente: l’un relève de l’esprit analytique, du raisonnement et de l’expérimentation; et l’autre, de l’esprit systémique, de l’intuition et de l’empirisme.

Au prime abord on pourrait penser que les médicaments du système exotique européen traitent les causes de la maladie et que ceux du système indigène africain soignent les symptomes.

Nous nous empressons d’ajouter qu’il ne serait pas juste de dire que les médicaments indigènes africains ne sont utilisés que pour des traitements symptomatiques.

Comme nous l’avons déjà dit et écrit, chacun des deux systèmes de soins dispose de “médicaments étiologiques” et de “médicaments symptomatiques” dont l’élaboration répond à certaines règles. Il nous à semblé indispensable et urgent de faire le point sur ces règles afin de définir leurs limites de fiabilité et de permettre une meilleure standardisation du remède indigène africain.

Pour ce faire, nous avons essayé de suivre le processus de son élaboration et de son administration.

Elaboration du médicament indigène Africain

La méfiance dont nous avons parlé plus haut, pour ne pas dire la crainte, persiste encore vis-à-vis du remède indigène africain malgré l’engouement des populations.

On ne peut nier qu’elle soit justifiée; mais malheureusement, on accuse trop souvent et abusivement la qualité ou les doses thérapeutiques du médicament indigène.

“Les faux guérisseurs” sont hélas trop nombreux et il n’est point question de vouloir garantir leurs préparations et leur compétence.

Loin de nous l’idée de nier les insuffisances de l’art pharmaceutique traditionnel africain; mais il nous parait injuste de ne pas reconnaître qu’il existe des règles de préparation et d’administration bien adaptées au système. Il suffit pour s’en convaincre, de savoir que dans certains pays on à déjà procédé à la codification des règles de la médecine indigène en général et du remède indigène en particulier.

Matières premières

Nous nous limiterons volontairement aux plantés médicinales qui constituent actuellement la majeure partie de ces matières premières et dont les techniques de récolte nous paraissent les plus respectées pour ne pas dire les mieux standardisées.

Le respect scrupuleux des règles de récolte trouve son explication dans les craintes que le phytothérapeute éprouve dans leur transgression. Le geste qui semble le plus anodin n’est pas négligé; et nous ne sommes pas de l’avis de ceux qui ne voient toujours dans leur exécution que superstition. Et même si une possible superstition il y avait, il serait souhaitable de ne pas la combattre avant d’en connaître l’origine ou d’en faire son évaluation complète; il y va de la préservation de bonnes conditions de remassage et de l’obtention d’échantillons moyens de matières premières faciles à tester et à homologuer, à ce point de vue, la présentation sous forme de bottes à retenu notre attention; et nous avons essayé d’en connaître le poids approximatif par espèces végétales.

Cette homologation, d'après notre modeste expérience, est beaucoup plus aisée au niveau des phytothérapeutes qu’au niveau des herboristes soucieux surtout de la vente de leurs produits malgré l’homogénéité apparente des bottes.

L’identification de la plante n’est pas seulement morphologique; c’est un véritable diagnose que pratique le phytothérapeute à partir également des caractères Il connaît en outre la période et le lieu de récolte, la partie de la plante qui lui permettent d’assurer des succès constants. Malheureusement beaucoup d’enquêteurs ne s’en préoccupent pas sur le terrain et ne posent pas suffisamment de questions. Il est rare que le phytothérapeute conserve les matières premières au delà d’une année; ce qui n’est point le cas chez les herboristes.

A notre avis, avec l’identification faite par le phytothérapeute, la connaissance de la partie utilisée de la plante, des techniques, période et lieu favourable à la récolte, il est possible d’établir les bases d’une homologation acceptable à partir d’échantillons moyens.

Il est certain, qu’il foudra ensuite que les institutions chargées de l’étude des plantes médicinales améliorent progressivement cette connaissance en la complétant par d’autres caractéristiques que ne peuvent apprécier les tradipraticiens de santé. C’est la méthode d’approche qui nous à conduit à déterminer la bonne période de récolte, les grands groupes chimiques, les tenues en eau, cendres totales, huiles essentielles, etc.. Si l’éthique médicale traditionnelle oblige le phytothérapeute au respect rigoureux de règles définies de récolte, elle conseille au contraire une adaptation de la préparation et du traitement au patient. Cette pratique rend plus difficile une standardisation dans le cadre d’une fabrication industrielle du médicament.

Composition du médicament

La standardisation qualitative et quantitative de la composition du médicament indigène africain s’avère une nécessité dès lors que sa fabrication industrielle ou même semi-industrielle est envisagée; car les règles des préparations individuelles que peuvent préconiser les tradithérapeutes deviennet difficilement applicables. Il est cependant indispensable de ne pas trop s’en écarter sans analyse critique préalable comme nous l’avons déjà préconisé pour les techniques de récolte.

Sur le plan qualitatif, il n’est point aberrant de constater que certains médicaments indigènes africains contiennent plus de dix constituants. Le seul terme “excipient” de certains médicaments qui sont inscrits dans un répertoire sérieux comme le “vidal” peut en contenir autant. C’est pourquoi, il est indispensable comme nous l’avons suggéré, de ne rien considérer à priori comme inutile. On pourrait cependant, à la lumière des entretiens avec le tradithérapeute et de certains essais chimiques, pharmacologiques et/ou cliniques, éliminer certaines drogues qui ne modifient pas notablement ni l’acceptabilité, ni la stabilité, ni l’innocuité et l’efficacité du médicament. Telle est notre méthode d’approche.

Concervant les quantités, il suffit de se les faire indiquer par le tradithérapeute, de procéder aux mesures pondérales ou volumétriques appropriées de chaque constituant; celles-ci pouvant ultérieurement être reproduites facilement à partir des moyennes établies après plusieurs mesures.

Pour faciliter les modes de préparation, nous avons commencé par adopté le matériel de cousine qu’utilise le tradithérapeute; puis, au fur et à mesure qu’on établissait les valeurs limites de certains caractères, on remplaçait ce matériel de cuisine par un appareil de pharmacotechnie appropriée; ainsi on finit par établir une certaine équivalence entre les deux outils de travail et favoriser les échanges et le dialogue entre les systèmes de soins.

Formes médicamenteuses et modes d’obtention

S’il nous à été relativement facile d’établir des équivalences entre la ténuité des poudres obtenues à partir des tamis locaux de cuisine et ceux de notre broyeur Forplex, il n’en à pas été de même pour les autres formes galéniques. On peut cependant affirmer que l’observation rigoureuse des modes opératoires permet de garantir, dans une certaine mesure, la reproductibilité des caractéristiques des préparations et par voie de conséquence, celle des doses.

C’est ainsi que pour une décoction par exemple le tradithérapeute tiendra compte à la fois:

Sur le plan qualitatif de:

(i) la couleur du décocté;
(ii) la viscosité, le cas échéant;
(iii) le goût (astringence);

Sur le plan quantitatif:

(i) du nombre de bottes de plantes;
(ii) des volumes d’eau au début et à la fin de l'opération, souvent identiques respectivement par l’immertion et la non-immretion des bottes de plantes et non par le temps d’ébullition.

Le contrôle de cette reproductibilité peut se faire sur l’extrait sec obtenu à partir du décocté en définissant qualitativement et quantitativement certaines propriétés et caractéristiques.

Concernant une des critiques les plus fréquentes, celle des conditions hygiéniques de préparation, là aussi nous pensons qu’il n’est pas juste de dire que le tradithérapeute n’en à aucun souci. Les techniques de filtration ou de décantation et l’usage des récipients neufs n’ayant pas encore servi auxquels il à recours, de même que la prise en compte des formes pharmaceutiques (surtout le décocté; donc après ébullition) et de la voie d’administration (surtout orale ou externe) expliquent en partie la situation.

Nous livrons pour réflexion un des principes fondamentaux de la médecine indigène africaine:

l’organisme humain à besoin d’un équilibre symbiotique et ne pourrait subsister dur une stérilité absolue.

Administration du médicament indigène Africain: la posologie

L’existence des doses dans la médication traditionnelle africaine à été souvent contestée, à notre avis, on à parfois imputé à tort à cette médication des accidents causés par l’imprudence des victimes elles-mêmes. Notre propos est beaucoup plus d’affirmer l’existence de doses thérapeutiques acceptables que de nier l’insuffisance de la précision des unités de mesures.

Faire mieux connaître les règles qui régissent la détermination des doses afin d’en permettre son amélioration est l’un de nos objectifs.

Comme nous l’avons dit, le respect rigoureux des modes de préparation permet d’obtenir des médicaments comparables dans des limites qu’apprécie valablement le tradithérapeute et qu’une institution sommairement équipée peut déterminer d’une manière plus précise. Pour ce faire, sans nous préoccuper du principe actif, nous cherchons à suivre qualitativement et quantitativement certains constituants (au moins deux) et certaines caractéristiques (physico-chimies et/ou organoleptiques) qui nous permettent d’attester que les préparations sont comparables. L’existence des formes pharmaceutiques non unitaires nécessite la connaissance des règles de mesures des prises avec les moyens utilisés à cet effet.

Il ne suffit pas par exemple d’utiliser la même cuillère et le même produit pour croire que les quantités de poudre mesurées sont égales. En effet, pour avoir la même quantité il faut obligatoirement respecter la règle de la mesure rase.

Par ailleurs, l’utilisation de la cuillère demande qu’on précise s’il s’agit de la cuillère à café, & dessert ou à soupe.

De même, en pratique traditionnelle, il faut savoir que la pincée s’effectue verticalement et est limitée à la première phalange; qu’il faut bien préciser le nombre de doigts, à défaut duquel on retient la pincée à deux doigts.

L’étude pondérale des bottes de plantes fraîches nous à donné une variation du simple au triple (1,3 à 3,1). Celle des pincées une variation de 1 à 2,5 (voir annexes).

Par voie orale, les quantités de décocté absorbées par les malades sont fonction de la capacité de leur estomac dont les limites de variation (1 litre à 1,5 litre pour l’adulte) permettent aux tradithérapeutes de préconiser comme il le font, la boisson de certaines tisanes.

En prenant encore l’exemple du répertoire Vidal, on constate que la dose usuelle journalière chez l’adulte peut varier souvent de 1 à 3 comprimés; autrement dit, du simple au triple.

La comparaison entre ces différents chiffres nous permet de dire à notre avis que les variations de doses thérapeutiques préconisées par le tradithérapeute sont acceptables.

Nous pensons que la détermination de la dose à administrer dépend aussi de la compétence du praticien; et cela est valable pour les deux systèmes de médecine.

C’est au médecin d’adapter cette dose usuelle journalière aux différents cas. Seule son expérience lui permettra d’éviter les erreurs d’appréciations et les accidents. L’attitude du tradithérapeute comme celle du médecin sera dictée par l’état général du malade, de son sexe, de son âge, de sa corpulence (pour le tradithérapeute surtout) ou de son poids (pour le mèdicin) et de la gravité de son mal.

Evaluation du médicament indigène Africain

Eléments d’évaluation L’efficacité thérapeutique et l’importance de l’usage du médicament indigène africain constituent sans nulle doute des éléments de son évaluation.

· En effet, il n’est point besoin de rappeler ici les bons résultats de certaines préparations traditionnelles qui sont à la base de la découverte de produits purs cristallisés et de la synthèse de substances analogues.

· La popularité recueillie pendant des décennies “(pharmacovigilance estimative)” et la grande consommation d’un médicament indigène permettent de situer son importance dans la couverture des besoins pharmaceutiques et juger de l’opportunité de son inscription sur la liste des médicaments essentiels.

La méthode d’évaluation à notre avis, devrait être la comparaison (par essais cliniques) avec un médicament déjà existant sur le marché et jouissant d’une très bonne acceptabilité aussi bien sur le plan de coût que sur le plan d’efficacité et de disponibilité.

Conditions préalables de l’évaluation du médicament indigène africain

La mue sur le marché d’un médicament obéit aujourd’hui à des conditions de rigueur qui, si elles sont nécessaires et indispensables pour les nouvelles molécules, ne nous paraissent pas justifiées pour le médicament indigène ayant subi et vaincu l’épreuve du temps après administration à l'espèce humaine. Ceci signifie en effet que la pharmacovigilance, autrement dit la surveillance des effets des médicaments dans leurs conditions usuelles d’emploi ne lui à pas été défavorable.

Loin de nous l’idée de nier toute possible toxicité tératogène de ces remèdes; mais nous pensons également qu’il n’est pas juste de minimiser le fait qu’ils ont vaincu l’épreuve du temps après administration à l’homme et non à un animal de laboratoire. C’est pourquoi, nous préconisons une adaptation des conditions administratives et législatives, de mue sur le marché afin quelles soient appropriées et favorisent l’innovation au lieu de la freiner.

C’est ainsi que nous pensons que cette adaptation doit se faire en autorisant les es sais cliniques comparés plus rapidement qu’ils ne le sont actuellement; tout au moins légalement et officiellement.

Le problème posé est plus éthique que scientifique; c’est pourquoi la solution doit être conforme à l’éthique de notre environment socio-culturel.

Conclusion

Au terme de cette communication, nous pensons avoir exposé avec assez de clarté notre méthode d’approche, nos résultats et nos conclusions en ce qui concerne la standardisation et l’évaluation du médicament indigène africain.

Nous nous sommes à comprendre les attitudes et concepts qui sont à la base des insuffisances des pratiques afin de trouver les moyens de les rendre reproductibles.

Nous tenons à ajouter que cette approche ne s’oppose nullement à la prise en compte ultérieure d’études plus approfondies sur par exemple, s’il existe, le principe actif, sa toxicité et son mécanisme d’action.

Sans nier leur importance, notre priorité n’est point de rechercher un principe actif; de déterminer une DL 50, ou un mécanisme d’action; mais plutôt de s’assurer de la reproductibilité et de la stabilité des préparations avec des normes de spécifications; car il s’agit là de médicaments pour lesquelles l’épreuve de la pharmacovigilance n’a pas été défavorable.

Pour ce faire, nous pensons que la constitution d’échantillons moyens sur une période donnée de récolte et le respect rigoureux de certaines règles suffisent.

Le “remède indigène amélioré”, comme nous l’avons appelé, peut, à la faveur d’une adaptation des conditions de mise sur le marché conforme à l’éthique de notre environnement socio-culturel, être accepté et produit au moins semi-industriellement afin de répondre dans l'immédiat au problème de la santé publique qu’est l’approvisionnement en médicaments des formations sanitaires.

Bibliographie

Delmas, À. (1970). Anatomie humaine, descriptive et topographique. Ed. Masson Paris.

Kayser, C. (1963). Physiologie: Fonctions de Nutrition. Ed. Flammarion Paris.

Koumare, M. (1978m). Le Remède traditionnel africain et son Evaluation. Bulletin Sante pour Tous, 3: 28-33, Bamako

APPENDICES

1. Evaluation des Bottes de Plantes Fraîches (en g)

No. d’ordre

Guiera senegalensis

Diospyros mespiliformis

Saba senegalensis

Opilia celtidifolia

Bridelia ferruginea (saguan)

Parkia biglobosa (nere)

1

110,2

185,5

182

51,5

232,2

181,5

2

140,4

191,8

177,5

130,2

226,1

220,9

3

116,1

224,4

166,4

164

257,2

169,8

4

122,8

149,4

190,9

142,7

194,9

252

5

161,9

184,3

155,1

105,8

206,4

184,2

6

130,7

230,3

138,8

115,8

184

179,2

7

167,6

191,8

177,5

130,4

190,6

136,5

8

113,5

212,5

113,2

140,2

215,7

153,2

9

147,9

212,3

192

136,5

187,6

104,7

10

122

207,9

189,8

94,6

194,1

193,3

11

1333,1

1990,2

1683,2

1211,7

2088,8

1775,3

Average

133,31

199,02

168,32

121,17

208,88

177,53

2. Calcul des Variations des Mesures de Pincées de la Poudre D’asthmagardenia

Désignation des séries de mesures

Mesure extra inférieure (Mi)

Mesure extrème supérieure (Ms)

Report Ms Mi

1

0,2073

0,5278

2,5

2

0,1976

0,3212

1,6

3

0,1966

0,3282

1,6

4

0,2310

0,3443

1,5

5

0,2542

0,3600

1,4

Bottes de Plantes Fraîches

Désignation des plantes

Mesure extrême
Inférieure (mi)

Mesure extrême
supérieure (ms)

Rapport
Ms

Guiera
senegalensis

110,2

167,6

1,5

Diospyros
mespiliformis

149,4

230

31,5

Saba
senegalensis

113,2

192

1,6

Opilia
celtidifolia

51,5

164

3,1

Bridelia
ferruginea

184

257

21,3

Parkia
biglobosa

104,7

252

2,4

D’asthmagardenia

No. d’odre

Tare lare + Poudre

Poudre(g)

1

5,9558

6,2604

0,3046

2

6,2375

6,5157

0,2782

3

6,4909

6,6982

0,2073

4

5,8706

6,3035

0,4329

5

6,3572

6,7570

0,3998

6

5,7518

6,2796

0,5278

7

6,3614

6,7975

0,4361

8

6,1505

6,5910

0,4405

9

6,1310

6,4805

0,3495

10

6,0659

6,4950

0,4291

My = 0,3805 gm

D’asthmagardenia

No. d’odre

Tare Tare + Poudre

Poudre(g)

1

6,2980

6,5042

0,2062

2

6,1622

6,4777

0,3155

3

6,7003

6,9084

0,2081

4

6,2670

6,4646

0,1976

5

6,6130

6,9342

0,3212

6

6,1116

6,3390

0,2274

7

6,6522

6,9386

0,2864

8

6,2492

6,5276

0,2784

9

6,2055

6,4426

0,2371

10

5,6594

5,9298

0,2704

My 0,2548 g

6. Evaluation de la Pincée de la Poudre

D’asthmagardenia

No. d’odre

Tare Tare + Poudre

Poudre (g)

1

6,2980

6,5032

0,2052

2

6,1620

6,3862

0,2242

3

6,7005

7,0287

0,3282

4

6,2672

6,5349

0,2677

5

6,6130

6,8559

0,2429

6

6,1113

6,3628

0,2515

7

6,6522

6,8795

0,2273

8

6,2489

6,4455

0,1966

9

6,2058

6,4220

0,2162

10

5,6593

5,8643

0,2050

My = 0,2364 g

7. Evaluation de la Pincée de la Poudre D'asthmagardenia

No. d’odre

Tare Tare + Poudre

Poudre (g)

1

6,5,9559

6,2130

0,2571

2

6,2381

6,5824

0,3443

3

6,4914

6,7793

0,2879

4

5,8704

6,1430

0,2726

5

6,3573

6,6548

0,2975

6

5,7522

6,0433

0,2911

7

6,3616

6,6746

0,3130

8

6,1508

6,3818

0,2310

9

6,1312

6,4310

0,2998

10

6,0663

6,3322

0,2659

My = 2860 g

8. Evaluation de la Pincée de la Poudre

D’asthmagardenia

No. d’odre

Tare Tare + Poudre

Poudre (g)

1

8,8108

9,1197

0,3089

2

6,1620

6,4421

0,2081

3

6,7005

6,9547

0,2542

4

6,2673

6,5570

0,2897

5

6,6130

6,9702

0,3572

6

6,1112

6,4504

0,3392

7

6,6524

6,0124

0,3600

8

6,2493

6,5490

0,2997

9

6,2057

6,5402

0,3345

10

5,6595

5,9712

0,3117

My = 3135 g

Chemical Evaluation of Tanzanian medicinal plants for the active constituents as a basis for the medicinal usefulness of the plants

MAYUNGA H. H. NKUNYA*, H. WEENEN**, & D. H. BRAY***

*Department of Chemistry, University of Dar es Salaam P. O. Box 36061, Dar es Salaam, Tanzania

** Quest International, P. O. Box 2, 1400 CA Bussum, The Netherlands.

***London School of Hygiene and Tropical Medicine Keppel Street, London WC 1E 7HT, U.K.

ABSTRACT

Drugs derived from medicinal plants still form the basis for rural medical care in most developing countries, apparently either because of lack of modern medical facilities in these areas, or as a supplement to the latter. In practice, most of these drugs offer effective treatment. This is not surprising because about 40% of all pharmaceutical presently in use are derived from natural sources (plants, fungi and other microorganisms, animals, etc.), either used directly as such, or with some modifications. Unfortunately, the we of crude plant extracts without any scientific evaluation, could lead to serious complications. Ineffective drugs could be used just as a matter of belief or tradition; under/over-doses could be taken; highly toxic drugs with short term, long term, or cumulative effects could be prescribed etc. The last two effects, however, are much more difficult to recognise than the others, and hence potentially more serious. In addition to these, the preparation, handling and storage of the drugs could lead to decomposition or transformation of the hitherto active constituents to ineffective and/or harmful products. Thus there is a need to evaluate and establish a scientific rationale for the use of the traditional medicinal plants, through chemical, pharmacological, toxicological and microbiological studies. In this paper, chemical investigations of medicinal plants for the active constituents and the correlation between biological activity of the crude extracts and/or the pure chemical constituents with the medicinal uses of the plants will be discussed.

Introduction

Quite a number of plants are used in different parts of the world for the treatment of various ailments. The medicinal values of most of these plants were recognised since ancient times. In fact, it can correctly be argued that the development of modern pharmaceutical is based on this ancient knowledge of medicinal plants and traditional medicines. Thus presently, about 40% of pharmaceuticals are derived from natural sources (plants, microorganisms, fungi and animals (Farnsworth, 1984). These drugs are used as such, or as derivatives. Moreover, several natural products obtained from medicinal plants, which cannot hitherto be used as such, have offered leads to the development of various pharmaceuticals, as analogues or derivatives.

In developing countries, traditional medicines from plants continue to form the basis of rural medical care. This is so because, obviously, these medicines are easily available and cheap. However, the use of such medicines in their crude forms without establishing scientifically their efficacy and safety could, in a short while or long run, be detrimental to the very health of mankind. Therefore, there is an urgent need to carry out scientific evaluations of these medicines worldwide. After all, apart from the efficacy and safety of traditional medicines, the scientific evaluation may lead to the isolation of a pure active ingredient which otherwise occurs, in minute quantities in the crude drug. And since medicinal plants depend on their geographical location, such isolated active principle can then be synthesized cheaply, so that eventually the drug is available to a larger population. Alternatively, knowledge of the structures of naturally occurring, medicinally useful compounds may give leads to the synthesis of analogues, which could be cheaper, and sometimes even more active than the naturally occurring compounds.

In 1976 we initiated a long term project on the scientific evaluation of Tanzanian medicinal plants, aimed at establishing the active constituents. So far we have studied plants which are used for the treatment of bacterial and fungal diseases (Sawhney et al., 1978a and 1978b; Khan et al., 1980), and those which are used for malaria. Occasionally we also evaluated the isolated compounds for antitumour or other activities. In this paper results of our on-going research on plants used in Tanzania for the treatment of malaria and malaria-related fevers will be discussed. Prof. Khan will present our results on the chemical investigations of plants used for bacterial and fungal diseases (Khan and Nkunya, 1990).

The malaria problem

Malaria is one of the most prevalent tropical and subtropical diseases (WHO, 1982/83). Recently it has been estimated that about 260 million people are infested annually (WHO, 1988). In tropical Africa alone about one million children under 14 years die from the disease annually (Underson, 1986). It is now over forty years since campaigns to eradicate the disease were initiated but, unfortunately, until now there is no success in eradicating this disease in the poor, developing countries. Efforts to develop an antimalarial vaccine have been futile because of the complicated stages of malaria infestation (Mgani, 1990).

Efforts to eradicate the mosquito vector, the Anopheles mosquito, have been futile because of financial and management problems of the eradication programmes. Furthermore, the mosquitoes are now known to be developing resistance against the cheap insecticides, such as DDT, fenitrothin, proppoxur, malathion, clorfoxin, and synthetic pyrethrins, which are generally used in these programmes (WHO, 1984). The use of large quantities of these insecticides also poses an environmental problem, since some of them, such as DDT, are non-biodegradable. The economic difficulties being faced by the affected countries, coupled with the emergence of other killer diseases, such as AIDS, will, most likely, hamper financial commitments in the fight against malaria, particularly the massive mosquito eradication programmes, since these involve huge financial requirements.

Due to the above constraints, at the moment, malaria chemotherapy should be given due attention. But again sad news have emerged in this direction. That is, the most dangerous human malaria parasite, Plasmodium falciparum, is developing resistance against the commonly used cheap drugs such as quinine and chloroquine (Breman and Campbell, 1984). The use of the new drugs, mefloquine, fansidar, amodiaquine, primaquine, etc, in malaria chemotherapy, poses other problems. These drugs are quite expensive and some have serious side effects. They particularly affect human liver, kidneys and the nervous system (Mtulia, 1976). Hence, at present, chloroquine and quinine continue to be prescribed to malaria patients. Larger doses of chloroquine are now being recommended for drug resistant strains of P. falciparum. However, long-term effects of such large doses of chloroquine we still unknown, but could be significant.

Due to the shortcomings discussed above, efforts are now being directed in obtaining drugs which have structural features that are different from those of chloroquine and related drags, and those of sulfa drugs, either synthetically or from plants.

Antimalarials from plants

After the isolation of quinine from Cinchona trees (Sterling, 1977), and artemisinine from Artemisia annua L. (Compositae) (Xu-Ren et al., 1985), it has become apparent that plants are a potential source of antimalarial drugs. Artemisinine (also known as ginghaosu) is one of the most potent antimalarial drugs known at present, which is toxicologically the safest (Xu-Ren et al., 1985). Since this compound has a structural feature which is different from that of any other known antimalarial, parasite resistance to this compound is unlikely to take place in the near future.

The drug is still obtained from the plant where it occurs in small quantities, since its synthesis is still very cumbersome (Gavagan, 1988). This makes the drug to be very expensive. It is, therefore, worthwhile to put more efforts in searching for other potent and abundant antimalarials from medicinal plants, or other sources, while efficient and cheap synthetic methods for artemisinine and its derivatives are being developed. That is why at present enormous efforts are being exerted in searching for antimalarials from medicinal plants, and several leads have so far been obtained. Thus, the vascular plant famines Amaryllidaceae, Meliaceae, Rubiaceae and Simaroubaceae, have been found to include plant species which are active against malaria parasites (Spencer et al., 1947), and several active compounds have been isolated from some of these plants. Several quassinoids, which were isolated from some plants of the family Simaroubaceae, showed potent antimalarial activity in vitro (e.g., see WHO, 1984; Thaithong et al., 1983). The compounds also - owed a strong mammalian cytotoxicity. However, preliminary studies on the structure- activity relationship of quassinoids have shown that the structural requirements for antimalarial activity and cytotoxicity are different (e.g. see Bray et al., 1987). Therefore, one can expect that structural modifications of these compounds to suppress cytotoxicity, if feasible, can be performed to give modified compounds which might be safe antimalarials However, up to now such modifications have not been performed (Phillipson, 1990).

Recently, Prof. Hostettmann from Switzerland has found that the crude extract from Psorospermum febrifugum (Guttiferae) possesses an antimalarial activity at a level similar to that of artemisinine (Hostettmann, 1990). He has isolated the active constituents from the plant, and further evaluation of this compound for its potency as an antimalarial drug is in progress.

Antimalarials from Tanzanian medicinal plants

In our on-going research on Tanzania antimalarial plants, we have screened crude extracts from leaves, stem and root bark of sixty medicinal plants. The results are shown in Table 1 (Weenen et al., 1990). Some of the most active plants were the tubers of Cyperus rotundus L. (Cyperaceae), and the root bark of Hoslundia opposita Vahl. (Labiatae). Chemical studies of the C. rotundus extracts led to the isolation of a number of compounds, some of which were active against the multidrug resistant K1 strain of P. falciparum malarial parasite in vitro. These included a-cyperone (1) and (+)-b-selinene (2) (Weenen et al., 1990b). However, the activity of 2 appeared to be due to decomposition products. Thus, whereas the undercomposed compound was inactive, the decomposed material was active.

We have isolated three new compounds from the root bark of H. opposita which we have named hoslunone (3), hoslundione (4) and hoslundin A (5) (Marandu, 1990). All these compounds were active against P. falciparum malaria parasites in vitro. The crude H. opposita extract also gave several other active compounds, which were in minute quantities, and hence their structures could not be determined. We are now re-investigating the plant in order to obtain larger quantities of the compounds so that their structures can be identified.

Other active plants in our investigation were Margaritaria discoidea (Baill.) Webster (Euphorbiaceae), from which securinine (6) was obtained and found to be the active principle, and Zanthoxylum gilletii (De Wild) Waterm. (Rutaceae), which contains two active compounds, pellitorine (N- isobutyldec-2, 4-dienamide) (7), and fagaramide (8) (Weenen et al., 1990b). Another compound (9) was obtained from the latter plant as well, but this metabolite, despite its novel chemical structure, was inactive (Kinabo, 1990).

All the compounds 1, 3-7 shown above, contain an a,b-unsaturated carbonyl moiety. It is believed that their antimalarial activity is due to the ability of the nucleic acids of P. falciparum malaria parasites to react with the a,b-unsaturated carbonyl moiety, in a Michael addition fashion (Weenen et al., 1990).

We also isolated several compounds from the crude root bark extract of Artemisia afra Wild (Composite) (same genus as Artemisia annua, the source of artemisinine) but none of the isolated compounds had any marked activity (Kinabo, 1989).

Azidarachta indica A. Juss. (Mwarobaini in Swahili)

Azidarachta indica is widely used in East and West Africa for the treatment of malaria and malaria related fevers. We therefore included this plant in our investigations. Results on the antimalarial activity of this plant are given in Table 1 (Weenen et al., 1990a). As it can be noted, the plant showed only a mild activity. Apparently, the active component from this plant, which has recently been isolated in India, occurs in very minute quantities (Philipson, 1990). This might be the reason for the mild activity of the crude extract.

Antimalarials from plants of the genus Uvaria

Uvaria species have proved to be rich in a variety of compounds, some of which exhibit a wide range of biological properties, such as antibacterial, antifungal, and anticancer activities, and pharmacological properties (Leboef et al., 1982). The chemistry and biological activities of these compounds have attracted interests in investigating these plants phytochemically. That is why in the course of our investigations on antimalarial plants, we decided to screen the Uvaria species, which grow in Tanzania, for their antimalarial activity, and ultimately isolate the active principles and/or any other chemically interesting compounds. After all, most of these Uvaria species (commonly known is Mshofu or Msofu) are used for the treatment of malaria (Kokwaro, 1976).

We have screened nine Uvaria species which were collected from different parts of Tanzania. Their activities are summarised in Table 1 (Nkunya, et al., 1990). It can be noted from Table 1 that all nine plants are active against the multidrug resistant K1 strain of P. falciparum malarial parasite, leaf extracts being the least active. Table 1 also shows that most of the activity is concentrated in the less polar or medium polar compounds, which are soluble in petroleum ether or chloroform.

Several compounds have been isolated from the most active extracts, and these have been assayed for their activity against the multidrug resistant K1 strain of P. falciparum malaria parasites (Nkunya, et al., 1990a). C-Benzylated dihydrochalcones (the uvaretins) (Mgani, 1990, Nkunya, 1985), and sesquiterpeneindoles (Nkunya et al., 1987a, Nkunya and Weenen, 1989, Nkunya et al., 1990b) have been found to be the active components of these plants. The activity of the dihydrochalcones was found to depend on the presence of free hydroxyl groups, and on the molecular size of the compounds (Nkunya et al, 1990a). That is, small molecules showed a higher activity than large ones. The activity of the sesquiterpeneindoles appears to be due to the sesquiterpene side chain and not the indole moiety. The presence of an a,b-unsaturated alcohol moiety on the sesquiterpene side chain is also essential for the activity (Nkunya et al., 1990a).

Despite their novel structures, both the benzopyranyl sesquiterpenes, lucidene (13) and tanzanene (14) isolated from U. lucida ssp. Lucida (Weenen et al., 1990c) and U. tanzaniae, respectively (Weenen et al., 1991) and the schefflerins 15 and 16 from U. scheffleri (Nkunya et al., 1990b) are virtually inactive.

The three cyclohexene epoxides, (+) -pandoxide (17), (+)-b-senepoxide (18) and (-)-pipoxide (19), isolated from U. pandensis (compound 18 was also isolated from U. faulknerae), are weakly active. However, these compounds have been found to possess marked antibacterial, antifungal and antitumour activities (Nkunya et al., 1986).

We would like to emphasize that the compounds isolated in our investigations were the major ones. We are presently investigating whether more active minor components are present and whether these compounds can be isolated.

Conclusion

Our studies have indicated that most of the plants which are used for the treatment of malaria show at least some activity against the multidrug resistant K1 strain of P. falciparum malaria parasites. This, thus verifies the scientific basis for the traditional uses of these plants. However, these studies are only preliminary. More investigations for the in vivo activity and toxicity of the active plant extracts and pure compounds, are required for any definitive conclusions.

The results from our studies, and those reported by others, indicate that most of the active components are weakly, or medium polar compounds, which are soluble in petroleum ether or chloroform. However, in traditional medicines, water is the solvent which is used to prepare the extracts and concoctions. This is obviously so because the traditional healer has only water as the solvent for the preparation of his medicines. Thus in most cases the active ingredients in traditional medicines may be in minute concentrations, due to their low solubility in water. Therefore, larger quantities of these medicines are invariably needed for any curative effects. This appears to be the general practice with traditional medical practitioners.

The lack of suitable solvents means that many useful plants may not show any curative properties in traditional medicines, despite some of them containing highly potent compound(s), albeit in minute quantities. Therefore this calls for a massive scientific evaluation of plants so that should there be any potent, but minor component(s) in these plants, they should be characterised, so that efforts to synthesize them, or their analogues, can be initiated, with the objective of getting the compounds in larger quantities.

Acknowledgements

Financial support for this research, for which we are grateful, was obtained from the University of Dar es Salaam, the Norwegian Agency for International Development (NORAD), the Netherlands Universities Foundation for International Cooperation (NUFFIC), and the German Academic Exchange Service (DAAD). We are also grateful to the following people for providing spectral facilities: Prof. Dr. H. Achenbach (University of Erlangen, Germany); Prof. Dr. B. Zwanenburg (University of Nijmegen, The Netherlands); Prof. Dr. P. Waterman (University of Strathclyde, U.K.) and Dr. J. Wijnberg (University of Wageningen, The Netherlands). The plants used in this study were located and identified by Mr. L. B. Mwasumbi (The Herbarium, Botany Department, University of Dar es Salaam). We are grateful to Mr. F. Sung'hwa of the Department of Chemistry, University of Dar es Salaam who skillfully carried out most of the extractions and isolations of the pure compounds.

References

Bray, D.H., M.J. O'Neill, J.D. Phillipson, and D.C. Warhurst. (1987). J. Pharmac. Pharmacol., 39 (Suppl.): 85.

Breman, J.G. and C.C. Campbell. (1984). Bull. WHO. Geneva, 66: 611.

Chan, K.L., M.J. O'Neill, J.D. Phillipson, and D.C. Warhurst. (1986). Planta Med., 52: 105.

Farnsworth, N.R. (1984). In "Natural Products and Drug Development:, Krogsagaard - Larsen, P.; Brogger P.; Christensen, S. and Kofod, H. (Eds), Munksgaard, Copenhagen: 17.

Fandeur, T., C. Moretti, and J. Polonsky. (1985). Planta Med., 51: 20.

Gavagan, H. (1988). New Scientist, 28.

Hostettmann, K. (1990). Personal Communication.

Khan, M.R., G. Ndaalio, M.H.H. Nkunya, H. Wevers, and A.N. Sawhney. (1980). Planta Med. (Suppl.): 91.

Khan, M.R. and M.H.H. Nkunya. (1990). Proc. Internat. Conf. Trad. Med. Plants, Arusha (Tanzania), Feb. 19-23, 1990, these proceedings.

Kinabo, L.S. (1989). Chemical Studies of some Tanzanian antimalarial plants, M.Sc. Thesis, University of D'Salaam.

Kokwaro, J.O. (1976). Medicinal Plants of East Africa, East African Literature Bureau, Nairobi.

Leboeuf, M., A. Cave, P.K. Bhaumik, B. Mukherjee, and R. Mukherjee. (1982). Phytochemistry, 21: 2783.

Marandu, C.J.O. (1990). Isolation and identification of antimalarials and other constituents from Hoslundia opposita (Labiatae), M.Sc. Dissertation, University of Dar es Salaam.

Mgani, Q.A. (1990). Chemical studies of less polar constituents of Tanzania medicinal plants with antimalarial activity, M.Sc. Thesis, University of Dar es Salaam.

Nkunya, M.H.H. (1985). J. Nat. Prod., 48: 999.

Nkunya, M.H.H. and H. Weenen. (1986). Proc. 3rd. Internat. Chem. Conf. Africa, Lome (Togo). AFSAU and University of Benin (Togo): 313.

Nkunya, M.H.H., H. Weenen, and N.J. Koyi. (1987a). Phytochemistry, 26: 2402.

Nkunya, M.H.H., H. Weenen, N.J. Koyi, L. Thus, and B. Zwanenburg. (1987b). Phytochemistry, 26: 2563.

Nkunya, M.H.H. and H. Weenen. (1989). Phytochemistry, 28: 2217.

Nkunya, M.H.H., H. Weenen, D.H. Bray, Q.A. Mgani, and L.B. Mwasumbi, (1991). Planta Med. (in press).

Nkunya, M.H.H., H. Achenbach, C. Renner, R. Waibel, and H. Weenen. (1990). Phytochemistry 29: 1261.

O'Neill, M.J, D.H. Bray, P. Boardman, J.D. Philipson, D.C. Warhurst, W. Peters, and M. Suffness. (1986). Anitmicrob. Agents Chemother, 30: 101.

Phillipson, J.D. (1990). Personal Communication.

Pravanand, K., W. Nutaleum, T. Dechatiwongsen, K.L. Chan, M.J. O'Neill, J.D. Phillipson, and D.C. Warhurst. (1986). Planta Med., 52: 108.

Sawhney, A.N., M.R. Khan, G. Ndaalio, M.H.H. Nkunya, and H. Wevers. (1978a). Pakistan J. Sci. Ind. Res., 21: 193.

Sawhney, A.N., M.R. Khan, G. Ndaalio, M.H.H. Nkunya, and H. Wevers. (1978b). Pakistan J. Sci. Ind. Res., 21: 189.

Spencer, C.F., F.R Koninszy, E.F. Rogers, et al., (1947). Lloydia, 10: 145.

Sterling, L. (1977). Tanzanian Doctor, Heinemann Educational Books (East Africa) Ltd. Nairobi: 28.

Thaithong, S., G.H. Beale, and M. Chutmongkonkul. (1983). Trans. Roy, Soc. Trop. Med. Hyg., 77: 228.

Trager, W., and J. Polonksy. (1981). Am. J. Trop. Med. Hyg., 30: 531.

Underson, W.T. (1986). Africa Events (Science and Technology): 39.

Weenen, H., M.H.H. Nkunya, D.H. Bray, L.B. Mwasumbi, L.S. Kinabo, and V.A.E.B. Kilimali. (1990a): Planta Med., 56: 368.

Weenen, H., M.H.H. Nkunya, D.H. Bray, L.B. Mwasumbi, L.S. Kinabo, and V.A.E.B. Kilimali, and J. Wijnberg. (1990b): Planta Med., 56: 371.

Weenen, H., M.H.H. Nkunya, A. Abdul El-Fadl, S. Harkema, and B. Zwanenburg. (1990c). J. Org. Chem., 55: 5107.

Weenen, H., M.H.H. Nkunya, Q.A. Mgani, H. Anchenbach, M A. Posthumus, and R-Waibel. (1991). J. Org. Chem (in press)

WHO Report (1984): Development of Health Programmes Washington D.C.: 50.

WHO Report (1988): Disease Prevention and Control: 157.

WHO Research Activities, Biennium 1982/83: Malaria Chemotherapy: 113.

WHO Technical Report Series. (1964). Advances in Malaria Chemotherapy, 711: 142.

Xu-Ren Shen, Zhu Quiao-Zhen and Xie Yu Uan. (1985). J. Ethanopharmacol., 14: 233.

Table 1: Antimalarial activity of extracts of Tanzanian plants

Family

Species

Part useda

Activityb c




PE

CH2Cl2

MeOH

Amarylidaceae

Crinum stuhlmannii

W.P.

N.D.

N.D.

**


C. portifolium

W.P.

N.D.

N.D

-


C. papilosum

W.P.

N.D.

N.D.

***


Scadoxus multiflorus

W.P.

N.D.

N.D.

**

Anacardiaceae

Ozoroa insignis

R.B.

***

***

-


Sclerocarya cafra

S.B.

-

-

-


Sorindeia madagascariensis

R.B.

*

*

-

Annonaceae

Enantia kumeriae

R.B.

**

**

***


Uvaria dependens Eng&Diels

R.B.

***

*

-



S.B.

*

***

-



leaves

*

*

-


U. faulknerea Verdc.

R.B.

*

*

-



S.B.

**

**

*



leaves

-

*

-


U. kirkii Hook. f.

R.B.

***

**

-



S.B.

***

***

-



leaves

-

*

-


U. leptocladon Oliv.

R.B.

***

***

**



S.B.

***

***

*



leaves

-

*

*


U. lucida ssp. lucida Benth.

R.B.

***

****

**



S.B.

***

****

****



leaves

**

***

*


Uvaria sp. (Pande)

R.B.

****

***

*



S.B.

****

***

*



leaves

*

**

**


U. pandensis Verdc.

R.B.

*

**

*



S.B.

**

***

-



leaves

*

*

*


U. scheffleri Diels.

R.B.

**

****

****



S.B.

**

**

*



leaves

**

**

*


U. tanzaniae Verdc.

R.B.

**

***

**



S.B.

***

***

**

Apocynaceae

Rauvolfia mombasiana

R.B.

*

***

***



S.B.

N.D.

N.D.

-

Araliaceae

Cussonia arborea

R.B.

***

***

-

Bignoniaceae

Kigelia africana

S.B.

-

***

-



leaves

-

-

*

Caesalpinaceae

Caesalpinia bonduc

W.P.

N.D.

N.D.

-


Cassia abbreviata

R.B.

**

*

*


C. occidentalis

W.P.

-

-

-


Tamarindus indica

fruits

N.D.

N.D.

-

Celastraceae

Catha edulis

aerial

N.D.

N.D.

-

Compositae

Artemisia afra

R.B.

**

***

*



aerial

***

***

*


Conyza pyrrhopappa

leaves

*

***

**


Crassocephalum bojeri

aerial

*

***

**


Tridax procumbens

W.P.

*

*

-


Vernonia amygdalina

leaves

N.D.

N.D.

-


V. colorata

R.B.

*

**

*



S.B.

-

**

-



leaves

-

**

-

Cyperaceae

Cyperus rotundus

tubers

***

****

***



aerial

N.D.

*

N.D.

Ebenaceae

Diospyros natalensis

R.B.

**

*

N.D.


D. zombensis

R.B.

*

*

N.D.


D. greenwayii

R.B.

-

**

N.D.



S.B.

-

**

N.D.



leaves

-

**

N.D.

Euphorbiaceae

Bridelia cathartica

R.B.

*

**

-


Clutia robusta

R.B.

-

-

-


Margaritaria discoidea

R.B.

***

***

*

Guttiferae

Vismia orientale

S.B.

N.D.

N.D.

-



leaves

N.D.

N.D.

-

Labiatae

Hoslundia opposita

R.B.

****

***

*



S.B.

**

-

-

Lauraceae

Ocotea usambarensis

R.B.

***

***

*

Leguminosae

Acacia clavigera

S.B.

*

*

-


Albizia anthelmintica

S.B.

-

-

-


Piliostigma thonningii

S.B.

*

*

***



leaves

*

*

***

Meliaceae

Azadirachta indica

S.B.

N.D.

N.D.

-



leaves

*

**

-


Entandrophragma bussei

S.B.

***

***

*

Myrtaceae

Psidium guajava

leaves

***

*

**

Olacaceae

Ximenia caffra

leaves

-

*

*

Plantaginaceae

Plantago major

W.P.

*

***

-

Rhizophoraceae

Anisophylia obtusifolia

R.B.

****

-

-



S.B.

-

*

-

Rosaceae

Parinari exelsa sabin

S.B.

***

***

-

Rubiaceae

Crossopterix febrifuga

S.B.

*

*

*


Gardenia jovis-tonantis

S.B.

N.D.

N.D.

-



leaves

N.D.

N.D.

-



fruit

-

**

-


Vangueria infausta

R.B.

-

***

***



S.B.

N.D.

N.D.

*

Rutaceae

Clausena anisata

R.B.

-

*

-



leaves

*

**

*


Todalia asiatica

R.B.

**

-

***



S.B.

***

*

***


Zanthoxylum gilletii

R.B.

***

***

**



R.B.

**

**

***


Z. xylubeum

S.B.

*

*

*

Tiliaceae

Grewia egglingii

S.B.

**

N.D.

N.D.


G. forbesii

leaves

-

*

*

Verbenaceae

Lantana camara

R.B.

****

***

*

Zygophyaceae

Balanites aegyptica

S.B.

-

***

**

Key

a) W.P. = whole plant; R.B. = root bark; S.B. = stem bark.
b) Antimalarial activities are given in IC50 values and these have been categorized as follows:

****: IC50 = 5 to 9 mg/ml
***: IC50 = 10 to 49 mg/ml
**: IC50 = 50 to 99 mg/ml
*: IC50 = 100 to 499 mg/ml
-: IC50 > 499 mg/ml

N.D.: Not determined.
c) P.E. = petroleum ether (boiling range 40-60°C);
CH2Cl2 = dichloromethane; MeOH = methanol.


1


2


6


7


8


10


11


12


13


14


15


16


Figure

Ethnobotany and the medicinal plants of the Korup rainforest project area, Cameroon

A. ABONDO,* F. MBENKUM,* and D. THOMAS**

* Institute of Medical Research
& the Study of Medicinal Plants
P.O. Box I.M.P.M. Yaounde, Cameroon

**Missouri Botanical Garden
P.O. Box 299, St. Louis
Missouri 63166 - 0299, U.S.A.

ABSTRACT

The Korup Rainforest of Southwestern Cameroon poses the twin challenges of high botanical and high ethnic diversity. Using innovative techniques, we have identified plants used in traditional medicine, that are a basis for both regional primary health care and raw material for pharmaceutical products.

Introduction

Project Background

The Korup Project in Southwestern Cameroon is a joint Cameroon World Wide Fund For Nature (WWF) venture that is aimed at combining rural development with nature conservation on one of Africa's most genetically diverse forests (WWF, 1987).

Two sites constitute the project area (Figure 1). The first is the 126,000 hectare, Korup National Park, where uses are limited to the protection and observation of the forest ecosystem, and the second is a 300,000 hectare area surrounding the park, where an integrated rural development activity takes place. In the second area a spatial approach has been adopted where the land is zoned for different classes of land use.

The project that has been operating since 1987 is very complex and uses a multi-disciplinary approach to attain its goal. The operations are grouped into Natural Resources Management projects and Support Activities that are concerned basically with infrastructural development. Natural Resources Management includes sustainable agricultural systems for the various ecological zones, appropriate agroforestry systems to meet the socio-economic and environmental needs of the area, and the investigation of the potential for sustainable harvesting of the diverse products of the forest, such as, medicinal plants, natural herbicides and pesticides, dyes, gums, resins, leaf proteins, nuts and fruits.

Ethnobotanical Background

In the past, tropical forests were commercially exploited for products, principally timber and little attention was given to the secondary products, though they provided the local people with food, medicines and materials for crafts and construction purposes (Thomas et al., 1989).

The ethnobotanical study that we have undertaken is part of the inventory needed for sound forest management and rural development. The two background components to the study of ethnobotany, especially medicinal plants, are a knowledge of the vegetation, and an understanding of the culture.

Botanical Background

The plant species of the Korup Project area are fairly well known through the botanical inventory carried out by Duncan Thomas with the Missouri Botanical Garden and the Cameroon National Herbarium. The forest is thought to be richer in plants and animal species, perhaps than any other African forest.

This area is dominated by a closed canopy lowland forest with high alpha-diversity, and relatively low beta- diversity. Letouzey (1985) has divided the forest into two associations. The first is made of the Atlantic-Biafran forest, occurring on sandy clays at low attitude of up to 300 m. This is a species rich association, with many gregarious species of the Caesalpinioideae, like Guilbertiodendron. Also, Oubanguia alata, Dichostemma glaucescens and Cola spp. are abundant, especially C. semecarpophylla. The second is the Atlantic-Northwestern association, found on clay soils at higher altitudes 300- 700 m. It has fewer Caesalpinoideae, while Terminalia and Entandrophragma species and Anonidium manii are common. This is the most species - rich association in Cameroon and is also rich in endemics like Medusandra mpomiana. Forest on steep hill sides and ravines are distinctive. Unlike the two associations described above, they are relatively species - poor, but rich in gregarious Cluciaceae such as Garcinia conrauna and G. nobilis. The species Grossera macrantha as well as the rare endemic Nopoleonea equertonii are restricted to these hillside forests.

Ethnocultural Background

Much of the background information on the culture of the area has been drawn from the study of the Northern villages of Korup by Di Nola (1988), a forestry and agricultural visit by Ramshaw (1988) food survey of Mundemba town and Ndian Estate by Malleson (1987), forestry survey in the Korup project by Synnott (1989), a survey on the people of Korup by Devitt (1988), and from being familiar with most prevalent illness of the area and some treatments.

The Korup Project area is ethnically diverse since the boundary between the Bantu people of the Cameroon-Congo group and Semi-Bantu people of the Nigeria - Cameroon Cross River area runs through it (Figure 2). The main ethnic groups of the Cross River area are the Ekoi, the Ejagham, the Ibibio and the Korup, while those of the Cameroon-Congo Bantu Sector are the Uroko and Mbo tribes, to the east of the project area.

Methods

Data collection was preceded by extensive preliminary studies, so as to be familiar with all parts of the project area and design the field work around a viable timetable.

We defined a sampling site as a village. A minimum of two villages were sampled for each ethnic group in the area of study. The four major ethnic groups are the Ejagham, the Upper Balong, the Korup and the Okoko.

Two formal data sets were required for this study, together with a large quantity of information obtained in informal discussions. The data sets were collected in May, June and December 1988, and February to May 1989.

Show-and-tell methods

This was a method used for comparative ethnobotany study to obtain comparative information on plant names and uses.

A standard herbarium that could be examined by villagers as the centre piece of the study was collected from a wide range of habitats in the area. The herbarium contained 260 plant specimens, chosen to test a number of hypotheses concerning plant use in Korup. It enabled us to show all the important structures of plants, such as leaves, flowers and fruits.

By using a fixed set of species instead of a stochastic sub-set of the total flora, direct comparisons were made between data sets. Furthermore, by using an empirical approach where the same specimens were shown in each village, we obtained replicate data sets and built up an overall picture of the names and uses of each species and could easily spot in consistent results.

Walk-in-the woods method

Before the comparative study was carried out, information on plant names and uses was collected by walking around the village and nearby area with our traditional experts and guides. This exercise was known as the "walk in the woods".

This is a standard ethnobotany method used to obtain information through the study of living plants. This approach helped establish the credentials of our informants, identify any useful plants of the area not included in the comparative study, and improved the quality of the comparative data, by obtaining some names in advance that assisted identification of the herbarium specimens.

Traditional treatment and primary health care

Role and Tiers

In developing countries, a large number of people, especially children, die daily of preventable or curable diseases because of lack of simple health care. In most cases this is due to limited resources, poor communication, vast distances, poverty, lack of education etc. (Sofowora, 1982).

As a result of this, traditional medicine has become more accessible to most of the people in rural parts of Africa, where some 80 per cent of the population rely on indigenous forms of medicine. In Korup, where traditional skills exist and where natural resources and phytochemicals are extensively used, it is possible to achieve rural development objectives in the area of primary health care. For example, filaria is widespread in the project area, including both river blindness and loa-loa. The Simulium, whose secondary host is the black fly, is common in all fast -flowing, unshaded streams. Ayong village is situated on the bank of a large stream and with abundant simulian host in the village. According to the villagers, blindness was not a serious problem and that worms in the eye were destroyed using eye drops from Scleria boivinii.

Two tiers of indigenous medicine have been identified in the Korup area. One is traditional medicine proper, that uses specialised skills in diagnosing, preventing or eliminating physical, social and mental diseases. The other, known as "folk" medicine, need not involve a specific medical system, but relates rather to use by traditional remedies by villagers, who do not derive their income from this source.

Although the two tiers are not very distinct and overlap to a considerable extent, folk medicine is regarded as part of the first tier of health care system. For serious illnesses, the patient may seek treatment in the second tier: a traditional practitioner, or a hospital.

Preparation of Herbal Remedies

We cannot adequately assess the importance of drug preparation and other aspects of treatment in Korup because our investigation was botanically oriented.

Although the preparation of individual medicines has not been studied in detail, many customs govern the preparation and administration of each remedy, and these vary from one village to another. Some preparation customs however, appear to be important, such as the condition and time of collection of the material, dose and method or form of administration.

The common forms of preparation are aqueous infusions or decoctions and pastes. The whole plants or plant parts are generally steeped in cold or hot water, or occasionally in cold palm wine or palm gin, locally known as "Afofo". Decoctions are usually prepared with boiling water. In the case of ointments and orally administered medicines, the plants are often ground to a paste with palm oil, and other ingredients like Aframomum melegueta seeds are added.

Infusions and decoctions are frequently drunk or used as enemas, while pastes are eaten, or used as poultices or as ointments. They may even be rubbed on, or put into shallow cuts in the skin, often seven in number. In some cases, medicines are first chewed, and then spat into wounds or incisions. The treatment of fevers is often accompanied by steam baths.

Treatment using plants

The term medicinal plants, when interpreted broadly, includes all plants whose usefulness is derived from specific phytochemicals produced as secondary derivatives of major metabolic pathways (Thomas and Mbenkum, 1987).

Classifications of medicinal plants are frequently based on the type of chemical action involved. We have not used this approach because the study involved neither chemical analysis nor an extensive literature search. Another approach involves the listing of plants under the illnesses or symptoms treated. We have tried to follow this plant as far as possible, despite confusion over what disease or problem the plant was actually treating. We have listed those plants used in traditional medicine, which are quite distinct from ceremonial and magical plants that we have left out.

Conclusion

Traditional medicine is very widely practised in the Korup area, where all villages have at least one traditional practitioner with considerable knowledge, while some remedies are known by most villagers. These treatments are most useful for primary health care and represent the equivalent of non- prescription drugs in orthodox medicine.

Research and extension work are the keys to integrating folk medicine into modern primary health care. The major objective should be to match safe, effective remedies to common illnesses, using local medicinal plants. The problem is that very little is known about fold medicine and traditional medicine proper, and it is impossible to say how effective they are without a lot more research.

In order to accomplish this integration, inventories of medicinal plants and the flora of the various regions must be carried out. This should be followed by consultations between medical doctors, pharmacologists and ethnobotanists, aimed at listing the diseases the villagers can identify and treat, along with the plants to be considered for treating them. Meanwhile, additional phytochemical and pharmacological research should be carried out on important medicinal plants to determine their chemical composition, biological activity, toxic effects and optimal doses. These studies could identify plants which could be used to manufacture medicines for the treatment of numerous common ailments of both humans and animals. These medicines could be used to reduce dependance on imports, and their manufacture would provide a domestic pharmaceutical industry, leading to the development of much local expertise in this field.

Preliminary studies by WWF and Cameroon scientists, have shown that many of the Korup forest plants contain useful chemicals that include fungicides, pesticides, dyes, and even natural contraceptives and aphrodisiac compounds. So far, over 90 substances have been isolated - 38 new to science, with potential commercial use in industry and medicine. Furthermore, one or two species we have identified, contain phytochemicals with anti-viral properties and could be researched as a possible treatment or control of AIDS. It is likely that more will be discovered since much of the flora has not yet been researched.

TREATMENT USING PLANTS OF KORUP

Group

Indications -

Plants

Part Used

Administration

1. FILARIASIS

ONCHOCERCIASIS
(River blindness)

Scleria boivinii
(Cyperaceae)

Young shoots

Sap as eye drop



Cleome rutidoesperma

Aerial parts

Sap as eye drop



Anchomanes difformis
(Araceae)

Root tubers

Juice as eye drop



Mangifera indica

Leaves

Infusion as enema

2. MYCOSIS

FUNGAL INFECTIONS

Cassia alata
(Caesalpiniaceae)

Leaves

Mashed leave rubbed on skin




Bark

Decoction for washing



Carica papaya

Aerial

Latex, rubbed on skin



Ficus exasperate
(Moracere)

Leaves
leaves

Rub skin with

3. BACTERIAL AND VIRAL INFECTIONS

EAR INFECTION

Cylicomorphus solmsii

Trunk

Water from holloro trunk as ear drop



Cleome rutidosperma
(Capparidaceae)

Leaves

Mashed leaves squeezed to nuke ear drop


EYE INFECTION

Antrocaryon klaineanum drop
(Anacardiaceae)

Fruits

Juice as eye


Emilia coccinea
(Asteracere)

Inflorescence

Juice as eye drop



Enantia Chlorantha

Bark

Eye drop for conjonctivitis



Rhektophyllum mirabile

Stem

Sap used as eye drop



R. Camerunense
(Araceae)




TUBERCULOSIS

Morinda lucida
(Rubiaceae)

Bark

Infusion drunk



Treculia obovoidea
(Moraceae)

Bark and Leaves

Infusion drunk


MEASLES

Aframomum sp. "tondo"
(Zingiberaceae)

Fruits

Infusion used as enema




Seeds

Ground seeds rubbed on skin.


CHICKEN POX

Citrus lemon
(Rutaceae)

Fruits

Fruits Juice rubbed all over body




Leaves and Roots

Infusion used to wash skin


TETANUS

Anthonotha macrophylla

Leaves

Mashed leaves with Aframomum melegueta rubbed into cuts in jam to release muscle

4. PARASITES

INTESTINAL WORMS

Acanthus montanus
(Acanthaceae)

Leaf

Infusion as enema



Aframomum hanburyi
(Zingiberaceae)

Stem

Chewed



Afrostyra lepedophyllus
(Styracaceae)

Bark

Ground and eaten



Canthium manii
(Rubiaceae)

Bark

Ground and eaten



Dennettia tripetala
(Annonaceae)

Leaves

Chewed



Neoboutia glabescens
(Euphorbiaceae)

Root bark

Ground and chewed with "fu-fu", eaten between 3 and 7 times



Schumanniophyton magnificum
(Rubiaceae)

Bark

Infusion as enema



Telfaire occidentalis
(Cucurbitaceae)

Leaves

Chewed


MALARIA

Boehmeria platyphylla
(Urticaceae)

Leaves

Cold-water Infusion drunk



Enantia chlorantha
(Annonaceae)

Bark

Alcohol infusion drunk



Eupatorium odorathum
(Asteraceae)

Leaves

Decoction drunk



Harungana madagascariensis
(Hypericaceae)

Leaves

Infusion as enema



Morinda lucida
(Rubiaceae)

Root

Cold-water infusion drunk


LICE

Tephrosis vogelii
(Papillionoideae)

Leaves

Rubbed



Spilanthes uliginosus
(Asteraceae)

Plant

Rubbed



Cleome rutidosperma
(Capparidaceae)

Leaves

Rubbed

5.VENERAL DISEASES

SYPHYLIS

Sjatrarbiza maccantha
(Menispermaceae)

Leaf

Infusion taken


GONORRHOEA

Anthocleista schweinfurthii
(Loganiaceae)

Bark

Ground with red oil and eaten



Myrianthus arborus
(Moraceae)

Bark

Decoction drunk



Nephrolepis undulate
(Pteridophyte)

Leaves

Mashed in palm wine and drunk


CYSITIS

Bambuss vulgaris
(Poaceae)

Leaves

Infusion drunk often


VAGINAL INFECTION

Angylocalys tabbotii
(Papillionoideae)

Seeds

Decoction of ground seeds


Eribroma oblong
(Sterculiaceae)

Pods

Heated, ground to paste and applied



Mucana cochinichinesis
(Papillionoidae)

Seeds

Decoction used


BED WETTING

Barteria fistulosa
(Passifloraceae)

Bark

Decoction as anemia


GROIN

Baillonella toxisperma

Bark

Decoction as anema


ABSCESS

Clerodendron globuliflorum
(Verbenaceae)

Leaves

Poultice from heated leaves


Harungana madagascariensis
(Hypericaceae)

Latex

Rubbed and abcess


HERNIA

Afrostyrax lepidophyllus
(Styracaceae)

Bark

Aqueous infusion as anema or drink



Alstonia boonei
(Apocynaceae)

Bark

Extract



Amaranthus spinous
(Amaranthaceae)

Leaves

Purge



Ancistrocarpus densispinus
(Tiliaceae)

Roots

Aqueous infusion as enema



Celtis tessmanii
(Ulmaceae)

Bark

Aqueous infusion as enema



Fagara macrophylla
(Rutaceae)

Bark

Aqueous infusion as enema



Pycnanthus angolensis
(Myristicaceae)

Aril

Used to treat hernia



Schumanociophytum magnificum
(Rubiaceae)

Bark

Infusion as drink

6 REPRODUCTION

MALE IMPOTENCE

Angylocalyso tabbottii
(Papillionoideae)

Seeds

Ground to improve erection



Carpolobia lutes
(Polygalaceae)

Bark

Ground or decoction


FEMALE INFERTILITY

Anonidium mannii
(Annonaceae)

Bark

Infusion as enema



Jatrorhiza macrantha

Leaves

Infusion as vaginal douche



Scyphocephalim mannii
(Myristicaceae)

Bark

Mashed with aframonum melegueta fruits as enema



Musanga cecropioides
(Moraceae)

Bark

Mashed with afromonum as enema

PREGNANCY COMPLICATION

Ancistrocarpus densispinosus
(Tiliaceae)

Leaves

Juice drunks to ease delivery


Cola acuminata
(Sterculiaceae)

Seed

Ground decoction as enema to cause abortion



Cola lateritia
(Sterculiaceae)

Leaves

Infusion drunk to avoid miscarriage



Cola pachycarpa
(Sterculiaceae)

Juice

Infusion + limestone anema to avoid miscarriage



Musanga cecropioides
(Moraceae)

Juice

Used to avoid miscarriage



Palisota tracteosa "barteri"
(Commelinaceae)

Leaves

Infusion as enema to stop bleeding



Piper umballatum
(Piperaceae)

Leaves

Infusion as enema to stop bleeding



Stachytarpheta indica
(Verbenaceae)

Leaves

Use to stop miscarriage


CHILD BIRTH

Alchornea floribunda
(Euphorbiaceae)

Roots

Decoction to ease Childbirth



Lola acuminata
(Sterculiaceae)

Bark

Decoction as enema kelp delivery for young mothers



Laportea evalifolia
(Urticaceae)

leaves

Aqueous infusion to advance labour



Megraphynium macrostachyum

Fruits

Decoction as enema for delayed childbirth



Piper guineensi
Piper umbellatum
(Pipperaceae)

Seeds

Decoction as enema to deliver placenta



Raphidophora africana
(Araceae)

Leaves

Infusion as enema stops bleeding after birth.



Tephrosis vogelii
(Papillionioideae)

Roots

Infusion as enema; accelerates labour

TREATMENT OF NEWBORN

Irvingia gabonensia
(Irvinginaceae)

Bark

Infusion rubbed on albino babies to stop bleeding



Massularia acuminata
(Rubiaceae)

Fruits

Decoction as enema to deduce umbillical hernia


LACTATION

Alstonia boonei
(Apocynaceae)

Bark

Decoction drunk to increase lactation



Angylocalyx tabbotii
(Papillionioi Deae)

Roots

Infusion drunk to increase lactation



Pycnanthus angolensis
(Myristicaceae)

Bark

Ground bark eaten in food to stimulate lactation

7. WOUNDS AND ACCIDENTS

WOUNDS

Angylocalyx tabbotii
(Papillionioideae)

Bark

Ground bark as dressing



Bridelia micrantha
(Euphorbiaceae)

Bark

Powder as dressing stops bleeding



Aspillia africana
(Asteraceae)

Leaves

Juice stops wounds from bleeding



Tabernaemontana brachyantha
Tabernaemontana crassa
(Apocynaceae)

Latex

Used to coagulate blood


SORES

Alchornea cordifolia
(Euphorbiaceae)

Bark

Powdered and put in sores and infected cuts



Dorstenia barteri

Roots and fruits

Mashed and used as dressing



Paulinia pinnata
(Sapindaceae)

Leaves

Ground and applied to sores



Rauvolfia vomitaria
(Apocynaceae)

Root sap

Applied to infected wounds


SNAKE BITE

Diodia scandens
(Rubiaceae)

Leaves

Mashed with Ageratum conyzoides leaves and eaten



Pycnanthus angolensis
(Myristicaceae)

Bark

Chewed to get strength to get back home for treatment

8.GASTRO ENTEROLOGICAL

HEPATITIS JAUNDICE

Cassia alata
(Caesalpiniaceae)

Leaves

Hot-water infusion as enema



Harungena madagascariensis
(Hypericaceae)

Bark

Infusion as enema



Pentaclethra macrophylla
(Caesalpiniaceae)

Bark

Infusion as enema for liver problems


SPLEEN

Massulania acuminata
(Rubiaceae)

Fruit

Decoction from mashed fruits



Portulaca oleracea
(Portulacaceae)

Plants

Infusion from mashed fruits


STOMACH ABSCESS

Fegara macrophylla
(Rutaceae)

Bark

Infusion as enema


PILES

Thonningia sanguinea
(Balanophoraceae)

Stem

Used to treat piles

9. PAIN

TOOTHACHE

Alchornea cordifolia
(Euphorbiaceae)

Leaves

Chewed and juice retained in month



Anchomanes difformis
(Araceae)

Tuber

Paste rubbed around teeth to cure infected gums



Spilanthes uliginosus
(Asteraceae)

Flowers & Leaves

Chewed to reduce pain


CHEST

Acanthus montanus
(Acanthaceae)

Leaves

Mashed in red oil and eaten for breathing trouble



Dennettia tripetata
(Annonaceae)

Leaves

Chewed for chest pain



Mimosa pudica
(Mimosaceae)

Plant

Infusion drunk for chest pain



Petersianthus africanus
(Combretaceae)

Bark

Boiled, cooled and drunk for chest pain


WAIST AND SIDE

Albizia zygia
Albizia feeruginea
(Mimosaceae)

Bark

Powdered, boiled and as enema for side pain



Glossocalyx brevipes
(Monimiaceae)

Leaves

Infusion as enema for waist pain

10. ABDOMINAL PROBLEMS

DIARRHOEA

Alchornea floribunda
(Euphorbiaceae)

Leaves

Infusion drunk



Anthocleista vogeli
(Loganiaceae)

Bark

Decoction drunk



Bochmeria plathyphylla
(Urticaceae)

Leaves

Mashed and eaten



Lasianthers africana
(Icacinaceae)

Leaves

Infusion drunk



Trichilia rendelotii
(Meliaceae)

Root

Decoction as enema


PURGATIVE

Alstonia congensis
(Apocynaceae)

Leaves

Used to purge



Struchium sparagosphora
(Asteraceae)

Leaves

Infusion as enema



Uapaca staudii
(Euphorbiaceae)

Bark

Eaten with Ricinodendron fruits


EMETIC

Baphia sp.
(Papillionioideae)

Leaves

Infusion drunk



Scoparia dulcio
(Scrophulariaceae)

Plant

Infusion drunk

Seaweeds in medicine and pharmacy: A global perspective

KETO E. MSHIGENI

Department of Botany
University of Dar es Salaam
P.O. Box 35091
Dar es Salaam, Tanzania.

ABSTRACT

The term seaweed carries the connotation that the plants under discussion are useless and worthless. In this paper the author reviews the state of the art with respect to the utilisation of seaplants in various parts of the world, and shows that there are more uses of the plants most people realise. Indeed, he concludes that the term seaweed is inappropriate for the marine plants in question. He gives an outline of the utilisation of seaweeds in medicine, in pharmacy, and in various other applications, on a worldwide basis. He advocates that in Africa, seaweeds are a grossly under-exploited resource, and calls for scientists in the region, and in the Third World countries in general, to pursue a regional collaborative approach in the development of the seaweed resources. Finally, he appeals to donor agencies for financial assistance towards the realisation of goals pertaining to the development of the unique marine plant resources.

Introduction

Let me begin my presentation by taking your minds back to the beginning of things; and allow me to start with a quotation from the First Book of Moses in the Bible:

...And God - id, "Let the waters under the heavens be gathered together into one place and let the dry land appear". And it was so. God called the dry land Earth, and the waters that were gathered together, He called Seas. And God saw that it was good" (Genesis 1:9-10, Revised Standard Version).

Allow me to quote further from the same author, in order to drive home the subject of my presentation

...And-God said, "Let the waters bring forth swarms of living creatures...' So God created the great sea monsters, and every living creature that moves... And God saw that it was good. And God blessed them saying, 'Be fruitful and multiply, and fill the waters in the seas...' (Genesis 1:20- 22).

And the seaplants multiplied. In the region of the Atlantic Ocean known as the Sargasso Sea the floating community of Sargassum alone has been estimated to be 5 to 10 million tonnes, fresh weight (Chapman and Chapman, 1980).

The plants that will constitute the subject of this presentation, the seaweeds fall within the framework of the great sea monsters referred to in the book of Genesis. Some may actually attain a height of 30 to 40 metres. This exceeds the height of most of the tall trees found on land. The plants in the sea fall under two broad ecological divisions. The first embraces the tiny microscopic algae, the phytoplankton, which grow in a freely floating condition within the seawater mass. The second division comprises the macroscopic algae which, typically, grow attached to the seabed and other solid objects in the ocean. The latter are referred to as benthic algae. Seaweeds fall within the domain of the benthic algae.

Because we are, essentially, terrestrial mammals, and since many of us were born and raised in far inland localities, we never come to a full understanding of the usefulness and economic potential of the marine plants that are embraced under the term seaweed. The situation is aggravated by the fact that the term "weed", as stated above, carries the connotation of useless and worthless plants. But actually, the marine plants in question have innumerable uses to mankind.

Many seaweeds are edible. When used as food they not only supply the body with a wide range of vitamins and essential mineral elements (including iodine), but some are also rich in protein and digestible carbohydrates (Chapman and Chapman, 1980). The protein content of the blue-green alga Spirulina platensis is, for example, up to 60 -70% protein, on a dry weight basis. This is the highest protein level reported for any plant species (Leonard and Compere, 1967).

The use of seaweeds as food for man goes far back into antiquity. In a book published in China by Sze Teu about 600 B.C., it is stated that some seaweeds are a delicacy, fit for the most honourable guest, even for the King himself (Johnston, 1966). The most widespread uses of seaweeds for food are found among the inhabitants of Japan, Korea, China, Indonesia and Hawaii. The most commonly eaten marine plants arc species of Porphyra, Laminaria, Monostroma, and Undaria. Currently these arc produced largely through farming, and the annual crop production is incredibly high. For Laminaria, the 1983 production figure for China alone was 1.4 million tones, wet weight (or 230,000 tones dry). For Porphyra, the 1981 production figure in Japan alone was 340,000 tones, wet weight (Tseng and Fei, 1987). These seaweeds now constitute a multi- million dollar industry.

The potential utilisation of seaweeds for food in Africa, Latin America and India is an issue which certainly deserves greater attention than has hitherto been the case. Indeed, it is remarkable how singularly little attention has been paid to the algae as food by the inhabitants of these regions.

Many seaweeds could also be developed for use as livestock feed supplements. This is by virtue of their rich content of vitamins and inorganic mineral nutrients, including many trace metals. Some seaweeds are also rich in protein. Indeed, the production of livestock meal supplements from seaweeds constitutes a well developed industry in Western Europe, and especially in Norway and Scotland. Over 20,000 tonnes of the seaweed Ascophyllum nodosum are produced as livestock feed supplements in Norway alone per annum (Jensen, 1978; Chapman and Chapman, 1980).

Considering that many countries in Africa support large population of cattle, goats, sheep, camels, and poultry, and considering the well-documented advantages of using seaweeds as livestock feed supplements (Levring et al., 1969; Chapman and Chapman, 1980), one can see the need for us to pay increasingly greater attention to our seaweed heritage. Seaweeds could also be used as an agricultural fertilizer. When used as manure, they supply the crop plants not only with a wide variety of inorganic mineral nutrients (including the essential trace metals), but also with valuable organic substances which serve as crop pesticides (Fenical, 1983), or as growth hormones (Augier, 1977; Mooney and Van Staden, 1984). Additionally, many seaweeds contain colloidal substances in their cell walls, which could help to bind the soil particles together, improving the crumb-like structure of the soil, and facilitating aeration (Chapman and Chapman, 1980). The use of seaweeds as manure actually goes back to the days of the ancient Chinese, the Vikings, and the Greeks. In France, it is documented that as long ago as 1681, a royal decree was issued, regulating the conditions under which seaweeds could be collected from the shore for application as manure (Aitken and Senn, 1965).

In the more recent times, seaweeds have been developed for the production of liquid agricultural fertilizers, which can be concentrated, and thus be transported more easily for application in the more inland regions. The liquid fertilisers can also be applied foliarly by spraying, with the use of air crafts, etc.

The liquid seaweed fertilizers are marketed under various commercial names, such as Maxicrop, Alginure, etc. (Chapman and Chapman, 1980; Abets and Young, 1983). It is now well documented that plants which are sprayed with the liquid seaweed extracts, not only produce significantly higher crop yields, but are also rendered free of attack by most of the common crop pests. They also become more drought resistant. The use of seaweed for the production of liquid fertilisers is thus now very popular, and is a multi- million dollar industry. Again, the use of seaweed as manure is something which Africa has, on the whole, neglected and to which we must now draw greater attention (Mshigeni, 1983).

Have I drifted away from the theme of the conference too far, and for too long? Yea, but with a purpose. If by using seaweed as food man gets adequate levels of protein, this means that we have freed him from kwashiorkor. If by eating seaweed man gets the essential vitamins, this means that we have freed him from beriberi, scurvy or other hypovitaminoses. If by eating seaweed man gets adequate levels of iodine, this means that we have freed him from goitre. Actually, in localities where seaweeds are regularly eaten as food, goitre is completely unknown. All this could be labelled preventive medicine. But even in curative medicine, there is a big hope in seaweeds.

The fact that there is such a wide range of medicinal products from the vascular plants on land, that two-thirds of our planet is covered with seawater, and that the ocean waters support a wider variety of plant, types than what we are used to seeing on land, one would expect many of the plants in the sea to possess chemical substances which could be used in curative medicine. This is, indeed, the case, as will now be elaborated.

Direct uses of seaweed as medicine

A survey of the literature indicates that the earliest records on the direct utilisation of seaweeds as medicine go back to the days of Emperor Shen Nung who, in 2700 B.C., documented medicinal uses of seaweeds in a Chinese herbal (Moi, 1987). The Chinese Materia Medica, published in the 8th Century A.D., (Chapman and Chapman, 1980), also lists many algae used in medicine (e.g., in the treatment of goitre, for wound-healing and for reducing hypertension, etc.).

In Mediterranean Europe, the Greek physician, Stephanopoli, discovered in 1775 that the red seaweed Alsidium helminthochorton, found on the rocky shores of Corsica, was an efficient vermifuge (Chapman and Chapman, 1960). The Hawaiians have also, from days immemorial, used the seaweed Hypnea nidifica for curing stomach ailments (Reed, 1906). In Indonesia, Hypnea musciformis was also used as a vermifuge from the very ancient times (Zaneveld, 1959).

In New Zealand, the Maori people traditionally harvested the seaweed Durvillea for use as medicine for the treatment of scabies, and also as a vermifuge (Schwimmer and Schwimmer, 1955). In Tonga, the inland pregnant women traditionally used to go to reside on the coast, in order to gather some particular seaweeds, which were believed to be beneficial to them in their pregnancy conditions (Lucas, 1936).

In latin America, South American Indians, from the ancient times, used to collect Sargassum bacciferum for use as a cure for goitre and kidney disorders (Schwimmer and Schwimmer, 1955). In many of the Caribbean Islands, and especially in Cuba, S. vulgare was also widely used as a vermifuge (Chapman and Chapman, 1980).

More recent studies by various scientists in different parts of the world, have revealed that there are more species of seaweeds which are used in traditional medicine than is generally conceived. In the Philippines, Ulva pertusa is used for wound healing. Other Philippine seaweeds used as medicine include Gracilaria lichenoides and Ulva lactuca (Nuqui, 1987). In Malaysia, Acetabularia major is commonly used for the treatment of gall stones, and Chondria armata is used as a vermifuge (Moi, 1987). In China and Hong Kong, species of Sargassum are commonly used for the cure of goitre, coughs, fever, and various tumours; Digenia simplex is used as a vermifuge; Lithothamnium pacificum is used as an expectorant, as a cough remedy, for reducing fever, and for the inhibition of tumours; and Caloglossa leprieuri is used as an antiheminthic agent (Tseng, 1983, Win Shin-Sun, 1987).

In the Mediterranean, in Western Europe, and in North America, Hypnea musciformis is used as a vermifuge; Palmaria palmata is also used as a vermifuge; Dictyopteris polypodioides is used for the cure of lung diseases; and Laminaria digitata was, in 1682, introduced by Dr. C.F. Sloan, for use as a cervical dilator, to facilitate baby delivery (Chapman and Chapman, 1980; Hale and Pion, 1972).

Other documented medicinal uses of seaweeds include their utilisation as an aphrodisiac (e.g., Porphyra sp. in the Philippines, under the name "gamet"); as a cure for menstrual troubles (e.g., Laminaria japonica in China) and also as a cure for syphilis, (e.g. Laminaria saccharina in China (Chapman and Chapman, 1980; Nuqui, 1987).

Curative medicinal substances in seaweeds

For many traditional practices, modern scientific and technological advances have, post facto, revealed that the ancients were, in fact, right. Most of the seaweeds (e.g., Sargassum spp.) which were traditionally used as a cure for goitre, have now been found to contain appreciable high levels of iodine, the curative substance (Chapman and Chapman, 1980). Digenia simplex, which was traditionally used as an anthelminthic agent, has been shown to contain kainic acid and allokainic acid (Levring et al., 1969). For Chondria armata, also used as a vermifuge, the curative substance has been found to be domoic acid. To-day one can buy medicinal drugs manufactured from fronds of Digenia, marketed under the trade name helminal, or digesan, for use against Ascaris lumbricoides.

Recently there has been a rapidly growing awareness on the need for research to be undertaken on the uses of seaweeds for modern medicine. Many species of marine algae have now been screened, and also tested against the common disease-causing bacteria, fungi and protozoans. In these studies the test organisms included gram-positive bacteria such as Staphylococcus aureus and S. pneumoniae, gram-negative bacteria such as Escherichia coli and Pseudomonas aeruginosae and fungi such as Trichophyton mentagrophytes, and the yeast Candida albicans, as well as the protozoan, Trichomonas foetus.

These studies have revealed that many species of seaweeds are biologically active against many of the common disease pathogens. Amongst the Green Algae (or the Chlorophyta), the biologically active members include species of the genera Codium, Halimeda, Ulva, Cladophoropsis Caulerpa and Enteromorpha. Amongst the Phaeophyta (Brown Algae) the taxa with antimicrobial activity include species of Dictyopteris, Zonaria, Ecklonia, Durvillea, Dictyota, Sargassum and Turbinaria. Amongst the Rhodophyta (Red algae) microbial activity has been detected amongst the species of Chondria, Digenia, Laurencia, Caloglossa, Grateloupia, Hypnea and Murayella (Chapman and Chapman, 1980; Tseng, 1983; Baker, 1987; Sivapalan, 1987).

Many scholars are now going beyond the screening stage. They are actively involved in extracting and characterising the active substances responsible for suppressing the growth of, or totally destroying the disease-causing bacteria, fungi or the protozoans referred above. Members of this audience who wish to go deeper into this issue, are referred to the excellent works of (Fenical, 1980, 1983; Fenical and McConnell, 1983; Glombitza, 1977, 1979; Glombitza et al., 1982).

According to Fenical (1983), many seaweeds show the presence of a wide range of biologically active compounds, which are often quite unrelated to those of their terrestrial counterparts. Many blue-green algae, indeed, contain substances which show potent anti-leukemic activity. Extracts from Lyngbya majuscula have recently given rise to a novel powerful antibiotic, malyngolide (Fenical, 1983).

In their recent studies on species of Sargassum that were traditionally used in Chinese herbal medicine for the treatment of cancer, Yamamoto (1974), and Yamamoto et al. (1977, 1982) revealed that the extract from S. fulvellum was active against leukemia and sarcoma tumour cells implanted on mice. Extracts of S. thunbergii were also tested (Yamamoto et al., 1981). In both cases the extracts from the seaweed gave an inhibition ratio of up to 93.7%, which showed a very high promise as an anti-tumour agent. The author referred to above found the anti tumour component to be a polysaccharide, which was suggested to be either a sulphated peptidoglycuronoglycan, or a sulphated glycuronoglycan (Yamamoto et al., 1981, 1982).

Several other species of Sargassum have also been found to contain extracts which are very active against bacteria, including Staphylococcus aureus, Escherichia coli and Salmonella spp. The active anti-bacterial constituent of Sargassum kjellmanianum, has been found to be a cyclopentenone (Fenical, 1983), whose structure has been determined.

Other applications of seaweeds in medicine and pharmacy

Let us now consider the indirect uses of seaweeds in medicine and pharmacy. In addition to their vitamins, inorganic minerals, proteins, and the medicinal compounds discussed above, seaweeds also contain colloidal polysaccharides which are of great significance in industry and commerce. The best known of these is agar, a sulphated galactan which is extensively used in microbiological and public health laboratories, as a culture medium for bacteria and fungi.

The name agar is of Malaysian origin. It was the traditional name for the red seaweed Eucheuma, which the people of Malaysia harvested, dried, and boiled to produce a gel that was used for food. The significance of agar in medicine and pharmacy was not, however, realised in the western world until 1881, when Robert Koch introduced its use for the culture and isolation of pathogenic micro- organisms. Since then agar has become a necessity for every hospital and bacterial research laboratory. Agar is preferred to any other solid culture medium because it is relatively inert, and is not decomposed by most bacteria.

Today most of the agar supplies of the world are extracted from species of the red seaweeds Gracilaria, Gelidiella, Gelidium and Pterocladia, which are well represented on our African shorelines. Indeed, Madagascar exports the agarophyte, Gelidum madagascariense, to Japan.

Another colloidal polysaccharide from seaweeds, which has a wide range of applications in industry and commerce, is carrageenan. This is also a sulphated galactan, extracted from red seaweeds such as Chondrus, Gigartina, Hypnea, Sarconema, and Eucheuma Since 1950, Tanzania has been involved in the export of several species of Eucheuma to Western Europe, where they are processed for carrageenan production. There are now serious efforts in the country, aimed at augmenting the export tonnage of Eucheuma through farming. The colloid from the seaweed, like agar referred to above, readily forms gels in hot water, and is thus referred to as a hydrocolloid.

Carrageenan and agar find innumerable applications in food products, cosmetics, and pharmaceutical industries, as gelling, thickening, emulsifying and stabilising agents. Many chocolate milks and infant food preparations, many medicinal syrups, many ointments ... contain varied proportions of agar or carrageenan. For a more thorough study of these applications, the reader is referred to the excellent works of Levring et al., (1969) and Chapman and Chapman (1980).

The Brown Seaweeds produce a different kind of hydrocolloid, algin, which is a polymer of guluronic and mannuronic acids. The tropical seaweeds containing exploitable quantities of algin include species of Sargassum, Turbinaria, Hormophysa and Cystoseira. In the temperate waters, the most important sources are species of Macrocystis, Laminaria, Ecklonia and Nereocystis. Algin is also extensively used as a gelling thickening, emulsifying and stabilizing agent in many branches of modern industry. These include the textile industries, the pharmaceutical industries, the breweries, and film industries, etc. Many medicinal substances are also delivered to the patients in the form of capsules which are coated with algin. Here again, the reader is referred to the detailed account on algin in the publications by Levring et al., (1969) and Chapman and Chapman (1980). The reader will, indeed, find that medical practitioners indirectly prescribe the use of seaweed colloids more frequently than they normally imagine. Perhaps many of our dentists are also not aware of the fact that dental industries also make very extensive uses of algin, in various dental preparations. Modern physicians additionally make frequent uses of algin as an adsorbent in wound dressing; as a haemostatic in brain and thoracic surgery (Schwimmer and Schurmmer 1955) and in many other medical practices.

Conclusions and recommendations

From what, has been outlined above, it is self evident that the plants discussed in this paper are not weeds in the real sense of the word. The name seaweed is certainly a misnomer for the seaplants it represents.

In this paper the thrust of the discussions has been on the utilisation of seaweeds in medicine and pharmacy. But it has also been shown that the plants could similarly be developed for use as food, fodder, manure, and as source of industrial colloids. To a small extent, there are a few localities in Africa where seaweeds are being exploited on a commercial scale (Mshigeni, 1983; 1987). But, by and large, Africa is a terra incognita with respect to the stage of exploration and mopping of her marine plant resources.

To make any significant step forward towards the development of our seaweed resources for medicine and pharmacy, our Third World institutions of higher learning, and our research and development centres, must attract more scientists into research on the biology, biomass ecology, biochemistry and microbiology of the marine plants in question, than is the case at present. Indeed, we need to pursue a multidisciplinary approach, involving botanists, chemists, medical doctors, sociologists, etc. Currently our progress is curtailed by the lack of an adequate number of well trained scientists, who are working full time on the subject. In view of the fact that most of the Third World countries share this problem, and considering that this could be most effectively solved through regional collaboration, and through the sharing of the human and other available resources, it is recommended that the Third World countries represented in this conference, consider the possibility of establishing a small international Task Force, to dig deeper into the issue of developing our vast, but neglected, marine plant resources. It is recommended also that the donor agencies represented at the conference also consider, favourably, requests for scholarship support, library support, and for the acquisition, of pieces of research equipment, which are so vital in the characterisation of some of the chemical substances contained by the seaplants.

References

Abetz, P. and C.L. Young (1983). The effect of seaweed extract sprays derived from Ascophyllum nodosum on lettuce and cauliflower crops. Bot. Mar., 26: 487- 492.

Aitken, J.B. and T.L. Senn. (1965). Seaweed products as a fertilizer and soil conditioner for horticultural crops. Bot. Mar., 8: 144-148.

Augier, H. (1977). Les hormones des algues. Etat actuel des connaisance. V. Index alphabetique par especes des travaux de caracterisation des hormones endogenes. Bot. Mar., 22: 187-203.

Baker, J.T.(1987). The search for pharmaceuticals from marine algae. In: Furtado, J.I. and Wereko- Brobby, C.Y. (Ed.), Tropical Marine Algal Resources of the Asia-Pacific Region: A Status Report. Commonwealth Science Council Technical Publication Series, Nr. 181, CSC (87) EPP- 4:9-23.

Chapman, V.J. (1970). Seaweeds and their uses. Methuen, London. 304 pp.

Chapman, V.J. and D.J. Chapman (1980). Seaweeds and their uses. 3rd Edition. Chapman and Hall in Assoc. with Methuen, London: 334

Fenical, W. (1980). Diterpenoids. In: Scheuer, P.J. (Ed.), Marine natural products: chemical and biological perspectives. Vol. 1. Academic Press, N.Y.

Fenical, W. (1983). Investigation of benthic marine algae as a source of new pharmaceuticals and agricultural chemicals. In: Tseng, C.K. (Ed.), Proc. Joint China-U.S. Phycol. Symp., Science Press, Beijing. China: 497-521.

Fenical, W. and O.J. McConnel (1978). Antibiotics and antiseptic compounds from the family Bonnemaisoniaceae. Proc. Intl. Seaweed Symp., 9:387-400.

Glombitza, K.W. (1977). Highly hydroxylated phenols of the Phaeophyceae. In: Faulkner, D.F. and Fenical, W. (Eds.), Marine Natural Products Chemistry, Plenum Press, New York: 191-204.

Glombitza, K.W. (1979). Antibiotics from algae. In: Hoppe, Levring, T. and Tanaka, Y. (Eds.), Marine Algae in Pharmaceutical Science. Walter de Gruyter, New York: 303-342.

Glombitza, K.W., M. Foster and W.F. Farnham (1982); Antibiotics from algae. Part 25. Polyhydroxyphenyl ethers from the brown alga Sargassum muticum (Yendo) Fensholt. Part. II Bot. Mar., 25: 449-452.

Hale, R.W. and R.J. Pion (1972). Laminaria: an underutilized clinical adjunct. Clinical Obstet. Gynaeol., 15: 829-850.

Jensen, A. (1978). Industrial utilization of seaweeds in the past, present and future. Proc. Intl. Seaweed Symp., 9: 17-34.

Johnston, H.W. (1966). The biological and economic importance of algae. Part 2. Tuatara, 14: 30-63.

Leonard, J. and P. Compere (1967). Spirulina platensis (Gom.) Geitler: algue bleue de grand valeur alimentaire per sa richesse en proteines. Bull. Jard. Bot. Nat. belg., 37(1): 1-23.

Levring, T., H.A. Hoppe and O.J. Schmid (1969). Marine algae: a survey of research and utilization. Cram de Gruyter & Co., Hamburg. 421 pp.

Moi, P.S. (1987). Marine algal resources in Peninsular Malaysia. In: Futado, J.I. and Wereko-Brobby, C.Y. (Ed.), Tropical Marine Algal Resources of the Asia-Pacific Region: A Status Report. Commonwealth Science Council Technical Publication Series, Nr., 181, CSC (87) EPP-4: 69-76.

Mooney, P.A. and J. Van Staden (1984). Seasonal changes in the levels of cytokinins in Sargassum heterophyllum (Phaeophyceae). Bot. Mar., 27:437- 442.

Mshigeni, K.E. (1983). Algal resources, exploitation and use in East Africa, In Chapman, D.J. and Round, F.E. (Eds.), Progress in Phycological Research, Vol. 2. Elsevier/North Holand Biomed press B.V.: 387-419.

Mshigeni, K.E. (1987). Marine algal resources of Seychelles: a survey of the species occurring on the islands and an assessment of their potential for agriculture, commerce, phycocolloid industry and other uses. Commonwealth Science Council, Technical Publ. Ser., Nr., 196, CSC (87), EPP 7: 1-56.

Nuqui, C.R. (1987). The major groups of Philippine seaweeds. In: Furtado, J.I. and Wereko-Brobby, C.Y. (Eds.), Tropical Marine Algal Resources of the Asia-Pacific Region: A Status Report. CSC Techn. Publ. Ser. Nr. 181, CSC (87) EPP-4: 91 -100.

Reed, M.S. (1906). the economic seaweeds of Hawaii and their food value. Ann. Rept. Hawaii Agric. Expt., 1906: 61-88.

Schwmmer, M. and D. Schwimmer (1955). The role of algae and plankton in medicine. Grune and Stratton, Inc., New York: 85.

Sivapalan, A. (1987). Marine algae of Sri Lanka. In: Furtado, J.I. and Wereko-Brobby, C.Y. (Eds.). Tropical Marine Algal Resources of the Asian- Pacific Region: a Status Report. CSC Techn. Publ. Ser., Nr. 181, CSC (87) EPP-4, 105-107.

Tseng, C.K. (1983). Common Seaweeds in China. Science Press, Beijing China, 316 pp.

Tseng, C.K. and X.G. Fei (1987). Economic aspects of seaweed cultivation. Hydrobiologia 151/152: 167- 172.

Win Shin-Sun, R.S.S. (1987). Marine algal resources of Hong Kong. In: Furtado, J.I. and Wereko-Brobby, C.Y. (Eds Tropical Marine Algal Resources of the Asian Pacific Region: A Status Report. CSC Techn. Publ. Ser., Nr. 181, CSC (87) EPP - 4:31-40.

Yamamoto, I., T. Nagumo, K. Yagi, N. Tomingaga and M. Aoiki (1974). Antitumor effect of seaweeds. I. Antitumor effect of extracts from Sargassum and Laminaria. Jap. J. Exp. Med., 44:543-546.

Yamamoto, I.T. Nagumo, M. Fujihara, M. Takahashi, Y. Ando, M. Okada, and K. Kawai (1977). Antitumor effect of seaweeds. II. Fractionation and partial characterisation of the polysaccharide with antitumor activity from Sargassum fulvellum. Jap. J. Exp. Med., 47: 133-140.

Yamamoto, I., T. Nagumo, M. Takahashi. M. Fujihara, Y. Suzuki and N. Izina (1981). Antitumor effect of seaweeds. III. Antitumor effect of an extract from Sargassum kjellmanianum. Jap. J. Exp. Med., 51:181 - 198.

Yamamoto, I., M. Takahashi, E. Mamura, and H. Maruyama (1982) Antitumor activity of crude extracts from edible marine algae against L-1210 leukemia. Bot. Mar., 25: 455-457.

Zaneveld, J.S. (1959). The utilization of marine algae in tropical South and East Asia, Econ. Bot., 13: 89- 131.

Biotechnology and medicinal plants

E. N. MSHIU

Traditional Medicine Research Unit
P.O. Box 65001
Dar es Salaam
Tanzania

ABSTRACT

Tie paper reviews issues on biotechnology, and medicinal plants. Third World countries do not have mechanisms for safeguarding sovereignty over their genetic resources, or foe the conservation of tropical products and the traditional knowledge of indigenous people. Advances in biotechnology have heightened interest among biotechnological and pharmaceutical companies in herbal plants and microbiological organisms of the South, as a source of raw materials for new pharmaceutical products. Third world countries must also benefit from their knowledge and biological treasures. Long term conservation measures of their plant resources must thus be put in place. In the process, the indigenous people who enrich the scientists with a wealth of information on traditional medicinal uses of the plants, must be treated with respect, and be given the recognition they deserve.

Introduction

With advances in biotechnology there is renewed and increased interest in the vascular and other plants of the South as a source of raw materials for developing new pharmaceutical products. At least 7000 medical drug compounds in modern Western pharmacopeia are derived from plants. In 1985 the retail value of plant-derived drugs in the industrialized world was estimated to be at least $43 million. In recent decades, pharmaceutical companies have focused on the synthetic production of medicinal products, but the chemists have found it difficult to improve on what nature has provided. In fact, of all the useful plant-derived drugs, only 10 are synthesized in the laboratory. The rest are still extracted from plants.

With advances in plant molecular biology, new cell culture techniques, new bio-assays, and the availability of new and precise analytical methods for screening the plants, discovery of natural products is expanding. A 1988 consultancy report by a United Kingdom firm, Mc Alpine and Warrier, indicated that the market potential for sophisticated herbal drugs in the Western World could range from $4.9 billion to $47 billion by the year 2000, if the AIDS epidemic continued unchecked.

The world's tropical moist forests cover 6% of the earth's surface, and contain at least 50% of all the vascular plant species. It should be noted that, 65 - 75% of higher plant species are indigenous to the rain forests. Little is known about the vast majority of these species, and, because of deforestation, they are becoming extinct at a rate unparalleled in human history. Yet, the rain-forests plants have been considered to be a complex chemical storehouse for modern medicine (Principe, 1989).

The world picture

Less than 1% of tropical forest species have been examined for their possible use to human kind. But at least 1400 plant species of tropical forests are believed to be of potential in curing cancer. It is noted with concern that with tropical forests being destroyed at the rate of up to 100 acres per minute, and the global rate of species extinction now estimated at 400 times faster than in the recent geological past, scientists warn that 20 - 25% of the world's vascular plant species will be lost by the year 2000 (RAFI, 1989).

It is difficult to put a price tag on medicinal plant species, but it helps to consider the enormous social and economic value of a few of our tropical medicinal plant "superstars".

The first example, Madagascar's rosy periwinkle plant (Catharanthus roseus) is a source of at least 60 alkaloids, of which the two important alkaloids, vincristine and vinblastine, have revolutionized the treatment of childhood leukemia and hodgkin's disease. One requires 15 tonnes of the plant leaves to make one ounce of vincristine, which sells for US 9100,000 a pound. Commercial sales of drugs derived from rosy periwinkle total approximately $160 million per year.

The second example is Rauvolfia. Material obtained from the plant, the so-called, "shake root" plant, from monsoon forests in India, contains an alkaloid, reserpine, which forms the base of tranquilizer products, and other drugs used in the treatment of hypertension and schizophrenia. In the early 1980s the retail sales of reserpine-based products in the U.S.A. alone, exceeded $280 million a year. Biotechnological companies and Pharmaceutical Corporations are combing the tropical forests of the Third World countries, in pursuit of exotic medicinal plants as they are interested in natural products screening (RAFI, 1989).

It is reported that, the Japanese and European companies are even more active than the United States counterparts. Few of them are doing their own collections in tropical forests, and some are contracting with third party collectors. For example, Merck Sharpe and Dohme from United States, a leader in natural products discovery, routinely makes contracts for the collection of tropical plants. The company is now in Brazil, searching for a medicinal plant superstar, tiki uba, which has uses as an anti- coagulant. Some of the companies have turned to China, where herbal remedies have been used for centuries. It is reported, for example, that a United State drug company, Up John, is studying ten compounds from the ancient Chinese herbal medicines, with the aim of developing new drugs to fight cancer, cardiovascular diseases, and disorders of the central nervous system. G.D. Searle and Company, is evaluating extracts from Chinese plants used for gastro-intestinal disorders.

It is further reported that the Biotics Company from the United Kingdom started working with the European Commission in 1986 as a commercial broker to supply exotic plants from developing nations, for pharmaceutical screening. Major pharmaceutical companies, such as ICI, Beechams, Rhone Paulen, Glaxo, Hoechst, Novo and Sandoz, expressed interest in obtaining extracts from indigenous plant species from the Third World. According to information available, Biotics Limited, for example, provided Glaxo Pharmaceuticals (UK) with plants from Ghana.

Medicinal substances extracted from vascular and other plants from the South today will become the patented products of biotechnology of tomorrow. The potential for developing new drugs, which may hold promise for curing diseases such as cancer and other life threatening ailments, is great. Despite the potential benefits, there is a historic disregard for Third World cultures from which these plants are extracted.

The discovery of medicinal substances from vascular plants does not just happen by accident. The people who have traditionally lived in tropical forests are the key people to assist the modern scientists in the understanding, utilization and conservation of tropical plant diversity.

Professor Norman Farnsworth of the University of Chicago, U.S.A., estimates that three quarters of all plant-derived drugs were discovered because of their prior use in indigenous medicine. Mark Plotkin of the World Wildlife Fund, observes that "...because you have a Ph.D. and the other guy can't read, it does not mean you know more about botany than he does". He gives the example that forest dwelling Indians employ at least 1,300 plant species for medicine and related purposes.

Worldwide, Third World communities use at least 3000 plant species to control fertility. According to Plotkin, every time one medicineman dies, it is as if a library was burned down. He goes on saying that it is worse than that, because if a library is burned, most of the information can be found in other libraries. However, when a medicineman dies his knowledge is lost, and is lost forever!

The most efficient way to identify plants, and their medicinal properties, is to ask the people who use them (Plotkin 1988). Most healers, in our experience, have no written records of the plants they use.

It should be further added that the demand for the South’s exotic germ plasm is not limited to plants only, nor is collecting restricted to tropical forests and land surfaces. There is also interest in bacteria, algae, fungi and protozoa, and a wide range of marine organisms. These also have potential as sources of valuable pharmaceutical raw materials. For example, Mycosearch, a small biotechnology company in the USA collects fungi samples from around the world, and screens them for valuable natural compounds. The company maintains a collection of over 20,000 fungi, and over 50% of them originate from the tropics. Pharmaceutical companies such as Hoffman La Roche, Dupont, Ciba Geigy, Schering Plough, and others, pay hundreds of dollars per sample for potentially valuable fungi.

Companies such as Smith Kline and French, and the National Cancer Institute (USA), are involved in collecting from tropical waters, corals, sponges, anenomes and other organisms. Sea Pharm, a marine pharmaceutical company from the USA, has a $3.6 million contract with NCI, to collect in tropical seas and elsewhere. Scientists believed that organisms were not capable of growing more than 30 metres below ground but the recent discovery of subsurface microbial collections, located 600 metres below the earth's surface, has uncovered a potentially vast and new frontier for discovering living organisms that may be a future source of pharmaceuticals.

The conservation and utilization of medicinal plants is socially and economically important for our developing nations. WHO estimates that 80% of the World's population depend on traditional herbal medicine. Indeed, herbal medicines offer tremendous economic potential, not only as an export crop, but - the resources for developing locally controlled industry, which can substitute the costly pharmaceutical imports. Such developments are taking place in Thailand, Turkey, the Philippines, and in China, where herbal medicines constitute a big business.

Conclusions

In conclusion, Third World countries should not be the loser in the frantic search by biotechnology and pharmaceutical transnationals in the tropical forests. Our vascular plants in the forests are the raw materials for new drugs and for genetic seed improvement. Plants which can withstand hostile environments, which resist attack by the common pests, or which give more and better fruits are the material of a US 116 billion world seed market.

In 1985, industrialized countries paid at least US $43 billion for plant-derived drugs. Indeed, developing countries get nothing for the plants collected by the gene hunters, on behalf of powerful companies. At least they should pay royalties for the products developed from them (Shand, 1989). Furthermore, industrialized countries have now recognized that the useful properties of the South’s plants are the result of centuries of a careful selection by many generations of peasants, but they are resisting the logical conclusion that developing countries should be compensated for their traditional knowledge and biological storehouse.

The search for new medicinal plants is a race against time. Tropical forests of the Third World hold an incalculable value, as an untapped emporium of germplasm for the development of new drugs. The most powerful scenario is that pharmaceutical and biotechnological interests will become powerful allies in an effort to stop or curtail the destruction of the world's tropical forests. Third World countries and indigenous people should also benefit from their knowledge and biological treasures. Long term conservation measures must be put in place. In the process of collecting the plants, the indigenous people must be treated with respect, and be given the recognition they deserve. Procedures should be developed to compensate the healers and others for the utilization of their knowledge and their biological resources. Here is where we require the cooperation of the Third World countries, for a common plan of action.

Lastly, despite the many constraints which exist in developing countries, such as lack of skilled or trained manpower, lack of technical know-how and financial resources, and shortage of equipment, frequent exchanges of ideas and experience among scientists and technologists should be encouraged and financed, so as to lead to self-reliance, in the various aspects of research and development in the proper utilization and judicious exploitation of herbs, as a natural resource. It is noted that, in developing countries, there are no substitutes for herbal drugs in terms of both cost and availability of raw materials. Hence the technology involved elsewhere, in the revival and use of herbal-based medicines, should be made available to the developing countries for the better use of their natural resources. In this respect, the role of some of the United Nations Organizations such as UNDP, UNESCO, UNIDO, FAO and WHO is vital, in providing necessary assistance in various aspects of research and development, and in improving the efficiency and capability of the local scientists.

References

McAlpine, P. and Warrier, K. (1989). Rural Advancement Fund, International Communique, March 1989.

Plotkin, M.J. (1988). The Economist, April 2.

Principe, P. 1989. The economic value of biological diversity among medicinal plants. OECD Environmental Monograph. Organisation for Economic Cooperation and Development. Paris.

RAFI (1989). Biotechnology and medicinal plants, March 1989.

Phytochemical investigations of four medicinal plants of Malawi: What next?

JEROME D. MSONTHI

Chemistry Department
Chancellor College
University of Malawi
P.O. Box 280, Zomba, Malawi

ABSTRACT

Results of the phytochemical investigations of four plants of Malawi used in traditional medicine are given. The biological activity of the isolated compounds indicate that information from traditional healers is vital, as it gives useful leads in the selection of medicinal plants to be studied. The question on how the results obtained in phytochemical investigations, such as this, are usefully utilised and developed for the benefit of the people, has not yet been fully addressed at. In this paper suggestions on this issue are given.

Introduction

Research on plants of Malawi used in traditional medicine has gathered momentum. The selection of plants with acclaimed biological properties is made possible from information obtained from traditional healers. The traditional healers in Malawi have formed a professional association called the Herbalists Association of Malawi, chaired by Chief C.W. Mbatata. This Association collaborates with the Government, medical personnel, and scientific researchers, in their endeavour to promote good health to the people of the country, under a politically stable environment prevailing in Malawi.

The information obtained from traditional healers gives useful leads to plants that may have biological activity, and, in most cases, the plants so investigated do show remarkable biological properties.

The plants

In Eastern, Southern and Central Africa, the tuberous roots of Mondia whytei Skeels (Asclepiadaceae, Milkweed family) are ground to a powder, and taken orally in porridge, beer, soup or tea, as an aphrodisiac, and also to treat anorexia, schistosomiasis, constipation, and gonorrhoea (Gelfand et al. 1985). A phenolic glycoside was isolated from the methanol extract of the tubers, using combined chromatographic techniques. The structure of 1 was determined by spectroscopic methods (proton and carbon-13 NMR, ultraviolet and infrared spectroscopy) and by synthesis of the aglycone.

The powdered tuber was extracted successively with dichloromethane, methanol and water at room temperature. The methanol extract was separated by droplet counter current chromatography (DCCC) (chloroform:methanol:isopropanol:water 5:6:1:4, descending mode), followed by column chromatography on Sephadex LH- 20 (Methanol (MeOH)). Final purification was achieved by medium pressure liquid chromatography (MPLC), RP-8 (MeOH-H2O, step-wise gradient).

Acid hydrolysis of the glycoside with 5% ethanolic sulphuric acid afforded the aglycone, xylose and glucose (thin layer chromatography (TLC)). The mass spectral (MS) data indicated that xylose was the terminal sugar. The interglycosidic linkage was deduced from carbon-13 nuclear magnetic resonance (13-NMR) data.

Synthesis of the aglycone from 2,4-dihydroxybenzoic acid was achieved in three steps. Methylation, to give 2-hydroxy-4-methoxymethyl benzoate, followed by reduction to yield 2-hydroxy-4-methoxybenzyl alcohol, and then partial oxidation of the primary alcohol with pyridinium chlorochromate (PCC) to give 2-hydroxy-4-methoxybenzaldehyde, the NMR data of which were identical to those of the aglycone, which was obtained after hydrolysis of the glycoside.

The pharmacological interest in the genus Hypoxis (Hypoxidaceae) arises from its use in traditional medicine by people in Eastern, Central and Southern Africa. Infusions of the tuber are used as a remedy for prostate hypertrophy and uterine cancer (Gelfand et al., 1985).

Compounds so far isolated from various Hypoxis plants are zeatin and zeatin glycoside (Van Staden, 1981), hypoxoside from H. obtusa (Marini-Bettolo et al., 1982), acuminoside from H. acuminata, nyasicoside (Marini-Bettolo et al., 1985), nyasicoside from H. nyasica (Galefi et al., 1987) and 1-(3",4"-dihydroxyphenyl)-5', 4'-dihydroxyphenyl)pent-l-en-4-yne from H. rooperi. These compounds show strong anticancer activity (Drewes et al., 1989).

Phytochemical investigations of Hypoxis obtusa have led to the isolation of a new phenolic glycoside named obtusaside, together with known compounds such as, accuminoside, hypoxososide and nyasoside, from the methanol extract of the whole plant, using chromatographic separation techniques. The structure of the glycoside was established by spectroscopic methods and chemical transformations.

The whole plant was cut into small pieces and extracted with methanol. The methanol extract was washed with dichloromethane and n- butanol, following which, the n-butanol extract was fractioned chromatographically.

Enzymatic hydrolysis of the glycoside with b-D-glucosidase, gave 2,5- dihydroxybenzyl alcohol from the ethyl acetate extract, identified as its triacetate, whereas acid hydrolysis with 5% ethanolic sulphuric acid gave 3- hydroxy-2, 6-dimethoxyethyl benzoate and glucose, as the sole monosaccharide in the aqueous solution (TLC). The presence of glucose was confirmed by the formation of pentaacetyl glucitol, and by comparison with an authentic sample (gas chromatography (GC)).

The glycoside was converted to the hexaacetyl derivative, while permethylation only gave the tetramethyl ether, due to steric hindrance of one phenolic hydroxyl group by the sugar moiety. The glycoside, an off-white armophous powder, gave a dark blue colour with iron (III) chloride, a positive test phenolic hydroxyl groups.

The spectroscopic data was consistent with the structure of the glycoside.

From the methanol extract of the tubers of Hypoxis nyasica, three glycosides: hypoxoside (previously isolated from H. obtusa), nyasoside and nyasicoside were isolated, together with two new monoglucosides named mononyasine A and mononyasine B.

These glycosides have the same aglycones, nyasoside (1-(4'-hydroxyphenyl)-3- (4"-hydroxyphenyl))-1,4-pentadiene. The structures were assigned by comparison of their spectroscopic data (and of the corresponding methyl and tretrahydromethyl derivatives) with those of nyasoside (and tetrahydronyasoside) (Messana et al., 1987).

In our continued studies on plants used in traditional medicine, we undertook the phytochemical investigations of Sesamum angolense Wel. (Pedaliaceae). This plant is used in traditional medicine to treat leprosy and related skin diseases. It is also used as a substitute of soap to wash women's hair. It is also endowed in particular with haemostatic properties and is used in Malawi to prevent bleeding after tooth extraction. Sesangolin and fatty acids have been previously isolated from the steam distillation of the leaves (Msonthi, 1984). The methanol extract of the root bark has resulted in the isolation of two new naphthoxirene derivatives (Potterat et al., 1987), and a new iridoid glucoside methyl antirrinoside-4- carboxylate, sesamoside, together with known compounds; phlomiol, pulchelloside-1, b-hydroxyipolamiide and a phenylpropanoid glycoside called verbasicoside (Potterat et al., 1988).

The methanolic extract from the root bark of S. angolense was submitted to DCCC (chloroform-methanol-isopropanol-water (5:6:1:4) as solvent system in the ascending mode). Further purification by medium pressure liquid chromatography on RP-8 afforded these compounds, which were characterised by spectroscopic methods and by comparison with authentic samples (TLC and HPLC). Tests are underway to determine if these compounds could be responsible for the haemostatic properties of the plant.

Having got these results, there is a need for the government to take action on how best we can utilize these findings, through participation of local pharmaceutical industries and other relevant institutions in developing these compounds for their ultimate use, if any, by the general public.

References

Corey, E.J., and Suggs, J.W. (1975). Tetrahedron Letters, 36: 2647.

Drewes, S.E., Scogings, U.J. and Wentler, G.C. (1989). Phytochemistry, 28: 153.

Galeffi, C., Multari, G., Msonthi, J.D., Nicoletti, M., and Marini- Bettolo, G.B. (1987). Tetrahedron, 43: 3519.

Gelfand, M., Mavi, S., Drummond, R.B. and Ndemera, B. (1985). The Traditional Medical Practitioner in Zimbabwe, Mambo Press, Gweru: 79-81, 83, 207, 286 and 337.

Marini-Bettolo, G.B., Patamia, M. Nocoletti, M., Galeffi, C. and Messana, I. (1982). Tetrahedron, 38: 1983.

Marini-Bettolo, G.B., Nicoletti, M., Messana, I. Galeffi, C., Msonthi, J.D. and Chapya, A.W. (1985). Tetrahedron, 41: 665.

Messana, I., Msonthi, J.D., DeVicente, Y., Multari, G. and Galeffi, C. (1989). Phytochemistry, 28 (10): 2807.

Msonthi, J.D. (1984). Medical Times XIX (11-12): 25.

Potterat, O., Stoeckli-Evans, H., Msonthi, J.D. and Hostettmann, K. (1987). Helvetica Chimica Acta, 70: 1551.

Potterat, O., Msonthi, J.D. and Hostettmann, K. (1988). Phytochemistry, 27 (8): 2677.

Van Staden, J. (1981). Dtsch. Apoth. Ztg, 33: 460, 462, and 464.

The chemistry and pharmacology of the essential oil from the leaves of Hyptis suaveolens (L) Point

C.K. MUTAYABARWA,* S.C. CHHABRA,*
G.M.P. MWALUKO,** J. FULGENCE,** and W. MSANGI**

*Traditional Medicine Research Unit
** Department of Pharmacology
Muhimbili Medical Centre
P.O. Box 65001
Dar es Salaam, Tanzania

Introduction

The use of indigenous plants for medical purposes is one of the greatest heritage our community must be proud of and preserve. Through trial and error, our ancestors collected the knowledge of plants which they used for various reasons. They developed medicines to cure ailments, arrow poisons to paralyse animals and birds, made colours, for decorating ornaments and clothes, cosmetics, perfumes and made preservatives. The proper knowledge of the plants which are useful and authentic is left with old men and women who are just ending their life span, and a few are left. Unlike in other continents, the African herbal knowledge is non-documented, which is resulting into a gradual extinction of traditional methods of healing using herbs and natural salts. We are hereby calling scientists of all professions to come to the rescue of our culture which is useful to none, except ourselves. We won't go in detail mentioning specific drugs in the pharmaceutical shelves which are of plant origin, but it is estimated to be about 60%. We believe that the duty of experts involved in traditional medicine research is to provide scientific basis of the practices of our herbalists aimed at upgrading, improving or authenticating their practices, pointing out without fear, the bogus medicinemen and fake traditional healers and assure medical practitioners that, the drugs made from indigenous plants are as good as modern ones. Thus by doing this the scientific community shall be making a very useful contribution to therapeutic innovation in primary health care in Africa.

We shall now present our research results on one of the medicinal plants commonly found in Tanzania which is called Hyptis suaveolens.

The plant is a herb of about 60 - 90cm tall. It is widely distributed all over Tanzania (Watt and Brandwijk 1969) and it is known by different vernacular names; e.g. Mvumbasi (Swahili), Mkamba (Chagga) and Mwatabazimu (Haya) etc. The plant is used by traditional healers to treat epilepsy, febrile, convulsions and abdominal pains (direct communication with healers). It is also reported to cure parasitic cutaneous diseases and fungal infections.

Chemical analysis of the plant led to the isolation of L-sabinene, d-limonene, fenchone, a-terpinene and felandrene (Mukherje et al. 1964), as well as several triterpenic acids, such as ursolic acid (Misra et al. 1983), diterpenoids, such as suaveolic acid and suaveolol (Misra et al. 1981).

We have extracted the volatile oil from the leaves of Hyptis suaveolens and investigated its chemical nature and then determined the antiepileptic activity of the extract in experimental animals.

Methods

Extraction of the volatile oil

The oil was extracted from fresh leaves by steam distillation using a Cleavenger apparatus. Then the extract was dried using dried sodium sulphate. The oil had a specific gravity of 0.6554 and specific rotation of +0.50°, in chloroform. Twelve normal alkanes C9 to C20 were used as internal standards. Results are reported in Table 3.

Screening for anticonvulsant activity

The anticonvulsant activity of the oil was investigated in white albino mice of the genus Thaillers, weighing 20 - 30 g. The experiment consisted of three parts:

(i) Establishing the working dose of metrazol (Table 1).

(ii) Establishing the optimum working dose of the essential oil (Table 2).

(iii) Screening for the anticonvulsant activity of the essential oil as compared to phenobarbitone (Table 4).

Table 1: Establishing a Safe Working Dose for Metrazol

Mouse

Weight(g)

Time to convulse (Sec)

Time to Death (Sec)

Gr. Ia




1

24

-

-

2

26

-

-

3

27

-

-

4

28

-

-

5

25

-

-

6

27

-

-

Gr. IIb




1

29

445

-

2

25

120

-

3

27

161

-

4

28

132

-

5

25

170

-

6

26

170

-

Gr.IIIc




1

27

108

180 min lethal dose

2

27

92

106

3

26

60

200

4

28

75

150

5

29

105

-

6

28

100

160

aDose give = 50 mg/kg; bDose given = 60 mg/kg; cDose given = 70 mg/kg

Table 2: Establishment of the Safe Working Dose of the Essential Oil of Hyptis Suaveolens

Mouse

Dose of the Hyptis oil Ml/Kg.

Time to death (sec) and % mortality in brackets

Gr. I

1.0

700 (60)

Gr. II

0.9

3600 (10)

Gr. III

0.8

4800 (1)

Gr. IV

0.6

-

Gr. V

0.5

-

Gr. VI

0.4

-

Gr. VII

0.3

-

Gr. VIII

0.2

-

Gr. IX

0.1

-

Gr. X

0 (only archis oil)

-

*Average weight of the mice was 28 g.

Table 3. Identified Peaks With Retention Time, Kovat's Retention Indices, Area Percentage, and Identification

S. No.

Peak No (Min)

Retention (Time) Indices

Kovat’s retention

Percentage Identification composition

1.

14

14.259

916

0.026Eumene

2.

15

14.655

924

0.00915-methyl-3 heptanone

3.

17

15.531

939

1.6978Benzaldehyde

4.

18

16.238

952

0.0539 Camphene

5.

21

16.994

964

2.12952-Octanone

6.

22

17.226

968

0.0801Sabinene

7.

23

17.575

973

0.7877b-Pinene

8.

24

18.01

980

1.5211Octan-3-ol

9.

25

18.299

984

1.1144Myrcene

10.

26

19.485

1006

0.0711Phellandrene

11.

27

19.769

1006

1.0194Benzyl alcohol

12.

28

20.058

1011

1.00793-Carene

13.

29

20.298

1015

0.3210a-Terpinene

14.

30

20.474

1017

2.6766P-cumene

15.

35

24.02

1070

0.1067Methyl benzoate

16.

36

24.12

1071

0.1829Fenchone

17.

37

24.55

1077

9.9796Linolool oxide

18.

38

25.1

1084

0.6196Linalool

19.

41

26.69

1106

9.6622Fenchyl alcohol

20.

43

27.67

1120

0.0288Cresol

21.

44

28.31

1130

0.483Camphor

22.

45

28.71

1135

0.0223Benzyl acetate

23.

46

29.16

1142

0.0347Menthone

24.

47

30.01

1154

0.5535Borneol

25.

49

30.81

1164

0.626Menthol

26.

50

31.12

1168

0.7354Terpinene-4-ol

27.

51

31.82

1178

1.5883a-Terpeneol

28.

56

34.35

1121

0.0491Citronellol

29.

57

34.93

1220

0.0187Cinnamaldehyde

30.

58

35.56

1229

0.0018Piperitone

31.

59

35.95

1235

0.0065Geraniol

32.

60

36.23

1239

0.0054Linalyl acetate

33.

61

36.85

1247

0.0179Citral (trans)

34.

63

37.92

1262

0.0615Anethole

35.

65

38.55

1271

0.0020Bornyl acetate

36.

66

38.98

1276

0.0137Cinnamyl alcohol

37.

74

42.89

1332

0.0477Terpinyl acetate

38.

75

43.53

1341

0.2090Eugenol

39.

76

45.04

1363

0.0113Nerol acetate

40.

78

46.53

1398

0.0126Isoeugenol (cis)

41.

79

47.23

1398

0.1187a-Guaiene

42.

80

47.61

1398

0.0126b-Guaiene

43.

82

48.57

1413

0.0394 Longifelone

44.

83

48.95

1418

0.0245Isoeugenol (trans)

45.

84

49.59

1428

8.0610b-caryophyllene

46.

86

50.52

1443

0.0242b-Bulsesene

47.

87

50.86

1448

0.1643Aromadeodrene

48.

88

51.71

1461

0.5037Humulene

49.

89

52.23

1468

0.1324Alloaromadendrene

50.

90

52.86

1477

0.0244Guaia-3,7 diene

51.

92

53.8

1491

0.1424b-Bulnesene

52.

94

54.85

1507

0.0244a-Chigadmarene

53.

95

55.38

1515

0.1155Nerolidol (cis)

54.

99

57.61

1551

0.0820Nerolidol (trans)

55.

100

58.3

1562

0.0391Apitonene-1

56.

101

58.67

1568

0.0512Apitonene-2

57.

103

59.56

1582

0.4500Caryophyllene oxide

58.

114

65.59

1680

0.4990Farnesol (trans)

59.

116

67

1702

0.0308Farnesol (cis)

Table 4: Anticonvulsant Activity of Hyptis Oil as Compared to Phenobarbitone

Volatile oil 0.5 ml/kg body weight

= VO

Arachis oil added to 1.0 ml

= AO

Metrazol 70 mg/kg body weight

= Metrazol

Phenobarbitone 50m g/kg body weight

= (Pb)

-Ve Control AO + Metrazole

Test V.O. +MetrazoIe

+Ve control Pb +Metrazole

Mouse weight

Time to Conv.) (Min)

Time to Death (Min)

Mouse weight (g)

Time to conv. (Min)

Time to Death (Min)

Mouse weight (g)

Time to Conv. (Min)

Time to Death (Min)

A.









27

120

150

28

-

-

30

-

-

28

100

106

24

-

-

22

-

-

25

121

138

25

-

-

27

-

-

28

108

160

28

-

-

28

-

-

26

93

110

30

-

-

25

-

-

27

75

102

28

-

-

27

-

-

B.









25

100

145

25

-

-

25

-

-

25

75

132

29

-

-

28

-

-

28

82

102

22

-

-

27

-

-

29

61

121

27

-

-

26

-

-

25

99

150

26

-

-

29

-

-

26

102

200

25

-

-

25

-

-

C.









25

110

160

25

-

-

25

-

-

28

69

109

26

-

-

30

-

-

30

95

132

27

-

-

25

-

-

22

102

149

22

-

-

27

-

-

26

100

140

27

-

-

28

-

-

27

82

120

28

-

-

25

-

-

Metrazol (60 mg/kg body weight) is the maximum toxic dose which induced convulsions in mice with minimum mortality rate, whereas 70 mg/kg body weight is the minimum lethal dose causing 99% mortality of the mice. The volatile oil 0.5 ml/kg body weight injected intraperitoneally was safe to mice, but higher doses such as, 1 ml/kg body weight of the volatile oil caused 60% mortality; 0.9 ml/kg body weight caused 10% morality and 0.8 ml/kg body weight caused 1% mortality.

0.5 ml/kg body weight of the Hyptis oil gave 100% protection against metrazol (70 mg/kg) induced convulsions, which was equivalent to the protection offered by phenobarbitone (50 mg/kg).

Discussion

There has not been any report on the anticonvulsant activity of the volatile oil from the leaves of Hyptis suaveolens. The results of the present study show that the volatile oil offered protection against metrazol and induced epileptic convulsions. The results confirm the usage of the leaves by traditional healers in the management of epilepsy. The toxicity of the oil cannot be overlooked as it has high mortality in mice injected intraperitoneally in higher doses (above 0.5 ml/kg). However, since the oil has been used for a long time without any reported toxicity we would advise the traditional healers to continue administering the medicine on a first aid basis using natural methods.

References

Ahmed A. and B.N. Dhawan. (1960). Japanese Journal of Pharmacy, 19: 472

Misra, R.S, T.N. Singh, and J. Upadhyay. (1983). J. Nat. Prod., 44: 735 - 748. Mukherjee, K.S. and R.K.

Mukherjee. (1984) J. Nat. Prod., 42: 377 - 378.

Mwaiwu, J., and P. A. Khan. (1968). Anticonvulsant activity of volatile oil from Tetraleura tetrapera. Elsevier Scientific Publishers Ltd.

Swinyard, E.A. (1949). J. Ann Pharm. A. (Scientific Ed.), 38: 201.

Watt. J.M. and M.G. Brandwijk. (1962). Medicinal and poisonous plans of Southern and Eastern Africa. E and S Livingstone Ltd. Edinburgh and London.

Some CNS effects of Datura stramonium L (Solanaceae) in mice

Z.H. MBWAMBO,* R.L.A. MAHUNNAH,* M. RUNYORO*
J. FULGENCE,** J.G. SAYI,** and G.M.P. MWALUKO**

*Traditional Medicine Research Unit
**Department of Clinical Pharmacology
Faculty of Medicine, Muhimbili Medical Centre
P.O. Box 65001, Dar es Salaam, Tanzania

ABSTRACT

The leaves of Datura stramonium L. (Solanaceae), or mnanaa in Swahili, are used us an additive in local brews to increase the intoxicating effect of the beer. In Tanzania, there are three Datura species which are used medicinally. One of these is D. stramonium. Because of its extensive use by the traditional beer producers, the plant attracted attention for studies on the active ingredients in its leaves. The plant was found to contain a mixture of the alkaloids hyoscyamine, and hyoscine,. Of more interest, was the finding that with the recemization of hyoscyamine, some atropine is formed. When an extract from the leaves was tested in laboratory mice versus phenobarbitone (a known depressant) its effect was found to be closer to that of amphetamine, i.e. behaving as a (CNS) stimulant. The interpretation of this result must be carefully done. However, since the dosage of the leaves put in local brew is unknown, and no one has studied it, there is a strong need for this work to be done. It is tempting to denounce the practice off-hand, yet the potential it possess must be critically and scientifically examined. Is it possible, perhaps, to counteract the CNS alcohol mediated (particularly respiratory centre) depression, with the extract in correct formulations? There are more questions remaining than answers. However this does not remove the potential application of the observed results.

Central nervous system

Introduction

The genus Datura (Solanaceae) comprises of ten species which are globally distributed in the tropics and the warm temperature regions. In Tanzania three species are found, namely, D. stramonium L., D. metal L., and D. innoxia L., which is least represented. All the three species have medicinal properties, and are employed in both traditional and modern medicinal applications. D. stramonium L. is the most widely used species. In Tanzanian traditional medicine, D. stramonium L. is used to alleviate or cure a number of diseases and conditions.

Leaves of the plant are used as an additive in local brews, where they are claimed to increase the intoxicating effect. The flowers are smoked as an asthma remedy. A combination of leaves and roots is used for the treatment of coughs, and snake bites (Chhabra et al., 1989).

D. stramonium L. contains from 0.2 to 0.45% alkaloids, the chief of which are hyoscyamine and hyoscine. But some atropine is also formed from the hyoscyamine by racemization. D. stramonium seeds contain about 0.2% of mydriatic alkaloids and about 15-30% of fixed oils. The roots contain, in addition to hyoscine and hyoscyamine, digitoyl esters of 3, 6 - dihydroxyatropane and 3, 6, 7 - trihydroxytropane, respectively and alkylamines (Trease and Evans, 1978).

Atropine has a stimulant action on the central nervous system, and depresses the nerve endings to the secretory glands and plain muscles. Hyoscine lacks the central stimulant action of atropine, but its sedative properties enable it to be used in the control of motion sickness. Atropine and hyoscine are used, to a large extent, in ophthalmic practice, to dilate the pupil of the eye (Trease and Evans, 1978).

Materials and methods

Powdered leaves of Datura stramonium were soaked in diethyl ether. After 5 min. a 10% ammonia solution was added to make a basic solution (pH 8), which was left to stand for one hour at room temperature. The diethyl ether extract was filtered through cotton wool. To the filtrate, some water was added, and left to stand until a clear separation of the two phases was observed. To the dimethyl ether extract, 1% hydrochloric acid was added followed by gently shaking and subsequent filtration through cotton wool. The filtrate was again treated with 10% ammonia solution, to make a basic medium, and then the alkaloids were extracted with chloroform. The solvent was evaporated at reduced pressure to give viscous liquid extract, which was soluble. This was used in the subsequent experiments.

The following study was, therefore, undertaken with a view to establish the activity of D. stramonium on the Central Nervous System due to its extensive use by traditional beer producers, and as a therapeutic agent in both traditional and modern medicine.

In the subsequent experiments, the drugs used consisted of the following:

(a) amphetamine (dextro): 2.5 mg/kg body weight, dissolved in double distilled water, and injected intraperitoneally;

(b) phenobarbitone: 5 mg/kg body weight, dissolved in double distilled water, injected intraperitoneally; and

(c) an extract of D. stramonium: 5 mg/kg body weight, injected intraperitoneally.

The animals used were white albino mice which weighed 25-30 grams (reared in the laboratory, and housed at a concentration of 10 per cage, and with free access to water and food).

The mouse open field consisted of a 46 cm diameter white base, which was divided into 6.5 cm squares by pale blue lines. The wall (30 cm high) which surrounded the base, was made of aluminum sheeting. The apparatus was illuminated by a 60 watt white bulb, positioned 60 cm above the floor of the apparatus. All observations were carried out between 0900 and 1200 hours.

The parameters measured were: (a) ambulation: the number of squares crossed; (b) rearing: the number of times the animal lifted its forepaws and raised itself from the floor (standing on its hind legs); (c) grooming: the number of times the animal stopped and cleaned or preened itself and (d) defaecation: the number of faecal boli deposited during the 3 min observation period.

The data that were obtained were tabulated and analysed statistically and the results that were obtained are summarized in Table 1.

Results

Table 1. Effects of D. stramonium extract on white albino mice as compared to d-amphetamine and phenobarbitone

Activity

Amphetamine

Phenobarbitone

Extract

Ambulation

117 + 13.6

*72.3 + 14.4

150.3 + 16.53

Rearing

10.13 + 2.9

3.13 + 1.7

**18.9 + 3.6

Grooming

2.87 + 1.1

4.13 + 1.7

2.5 + 0.6

Defaecation

0.25 + 0.16

0.13 + 0.13

1.25 + 0.5

* P = 0.003 Extract compared to phenobarbitone
** P = 0.002 Extract compared to phenobarbitone.

It was observed that mice treated with the extract of D. stramonium had an ambulation that was almost similar to that of amphetamine. The extract also significantly increased the rearing activities. The mice given phenobarbitone had decreased ambulation scores.

Discussion

The open field test is a method whereby the emotionality of a rodent is assessed (Candland and Nagy, 1965; Tachibana, 1982 and Halliday, 1966). This test has been widely used to assess the emotional state of animals for the following reasons:

(a) the ease with which animals may be placed into a novel, stressful environment
(b) the ease with which its basic behaviour can be observed and measured
(c) the simplicity of the technique

Some investigators suggest that animals explore or are active because they are fearful. This implies that with continuous exploration, the fear decreases (i.e. familiarization occurs). The opposing viewpoint is that fearful animals explore little until fear decreases. Less fearful animals explore more than animals that are more fearful (Candland and Nagy, 1968). In this case, the central nervous system stimulant amphetamine, was used as a basis for assessing the effects of the extracts of Datura stramonium on the open field behaviour of the white albino.

Since the main alkaloids of the extract are hyoscyamine and hyoscine, the expected results were that, the ambulation would have been decreased significantly, compared to that of amphetamine or similar to that of phenobarbitone, due to their sedative properties. Instead, the extract acted like a stimulant, the open field ambulatory behaviour being similar to that of d-amphetamine. More central nervous system effect tests of the Datura stramonium extracts are being done.

References

Chhabra, S.C., R.L.A. Mahunnah, and E.N., Mshiu, (1989): Plants used in traditional medicine in Eastern Tanzania. VI. Angiosperms (Sapotaceae to Zingiberaceae). J. Ethnopharmacol. (In press).

Chopra, R. N.M., Nayar, S.L. and Chopra, I.C. (1956): A glossary of India Medicinal Plants, Council of scientific and Industrial Research, New Delhi (India).

Halliday, M. S. (1966: Exploration and fear in the rat. In: "Play, exploration and territory in mammals (PA Jewell and C. Loizos Eds.) Academic Press, Inc., New York.

Kokwaro, J.O. (1976): Medical Plants of East Africa, East African Literature Bureau Nairobi: 384pp

Nadkarni, K.M. (1976): Medical uses of Datura species. In A. K. Nadkarni (Ed.), Indian Materia Medica, 1, Popular Prakashan Gvt. Ltd. Bombay.

Tachibana, T. (1982): A comment on confusion in "Open field" studies: Abuse of Nill-Hypothesis significance test. Physiol. Behav. 25, 159-161.

Trease, G.E. and W.C. Evans (1978): Pharmacognosy, 11th Edition, Bailliere Tindall Ltd., London: 812pp.

Watt, J. M., and M. G. Breyer-Brandwijk, (1962): Medicinal and Poisonous Plants of Southern and Eastern Africa, 2nd edn., E. & S. Livingstone Ltd., Edinburgh, London: 1457pp.

Discovery and development of drugs from natural sources

E. NJAU

Tanzania Pharmaceutical Industries Ltd
P. O. Box 7063 Arusha, Tanzania

Introduction

Half a century ago, there were relatively few useful drugs available. However, today there are nearly 1400 drugs in use which are derived from both natural and synthetic resources. Most countries, especially those in the tropics, are endowed with a wealth of natural (often herbal) products as well as inorganic materials which have been explored, and to a lesser extent exploited through the years. During the 19th Century, systematic evaluation of herbal remedies involved the establishment of active substances within these drugs, identification of the properties responsible for their actions, and subsequent synthesis of drugs which were more effective. During this period only as little as 5% or less, of all new molecules isolated were found to be of use as therapeutic agents. Seeking to establish the relationship between structure and activity, eminent scientists of the 19th and 20th centuries including Pasteur, Koch, Lister, Ehrlich, Domagk, Dale, Fleming and others made outstanding contributions to the advancement of knowledge in chemical and biological sciences, which have had remarkable influence on public health.

It is a popularly held opinion that most of these herbal products should be put into use in developing countries to reduce the much needed foreign currency now incurred on imported pharmaceutical products. If this opinion finds general acceptance, one does not see why anyone should go into trouble and expense to discover and develop new drugs. The major reasons for the development of new drugs today include the desire to satisfy intellectual curiosity; the need to improve on the efficacy of existing substances; an effort to control new diseases, e.g. AIDS; and the need to fight drug resistance (mostly antibiotics).

The search for products from natural sources has to go a long way towards meeting such objective goals.

The importance of products from natural sources

Naturally occurring substances form a significant base of raw materials for the chemical and pharmaceutical industry as well as for the cosmetic and food industry. They are a starting point for a series of pharmaceutical products with specific therapeutic efforts, various volatile oils and other products used in cosmetics and skin care products. Aromatic plants are often processed into various extracts used in the alcoholic and soft drink industry and in production of consumer goods such as tea (simple or compound products), spices, syrups, tablets and dry extracts. In countries with developed chemical and pharmaceutical industries, the production of products of natural origin is gaining more and more importance year after year.

Discovery and development

Cardiac glycosides from some Digitalis species are almost certainly the only major discovery of the 18th Century, followed later by morphine from Papaver somniferum, quinine from Cinchona species, atropine from Belladonnae species, papaverine from the family Papaveraceae and cocaine from the Coca plant, Erythroxylon coca, which were isolated from crude drugs (Serturner, 1805 and 1817, Pelletier, et al, 1833, Merck, 1848, Wohler, 1860 and Bowman, 1979). By the end of the 19th Century there were only about 20 useful drugs listed in the first few editions of the British Pharmacopoeia (Bowman, 1979). Indeed most of the molecules isolated were found to be of little or no use as therapeutic agents, and this aroused interest in scientists to look for the relationship between structure and activity. The work of eminent scientists such as Pasteur, Koch, Lister, Ehrlich, Domagk, Dale, Fleming and others during the 19th and 20th centuries resulted in advances which had an impact on public health (Weatherall, 1986).

It is quite obvious that the most important drugs in use today have been developed from natural sources. While we continue with the search and introduction of more drugs from plant sources today, the systematic appraisal of herbal remedies was epitomised by the 19th Century pharmacologist, Rudolph Bucheim, who wrote: "The mission of pharmacology is to establish the active substances within these drugs, to find the properties responsible for their action and to prepare synthetically drugs which are more effective (Bucheim, 1876)." Today we are just as far away from achieving this goal as we were in the last century.

The design of modern drugs has, today, reached a state of sophistication where some of the physical parameters can be predicted by use of computer graphics. However, this has not so far permitted prediction of biological activity of a drug from its chemical structure. So most drugs, whether derived from natural sources, or prepared synthetically, are developed the same way.

Figure 1 shows some of the important scientific operations involved in drug discovery and development. The important stage here is that of identification of "lead compounds", i.e. those with biological activities which are interesting. Essentially, random screening of large numbers of herbs and chemicals is time consuming, expensive and rather wasteful although often there are no short cuts to arrive at a "lead compound".

Constraints of new product development

(i) Approximately 10,000 candidate compounds have to be screened to afford one new chemical entity marketable as a therapeutic agent. This takes about ten years for the work to be completed.

(ii) Financial investment for such a task is of the order of 100 - 200 million US dollars for research and development only.

(iii) The commercial risk involved here is that a new product enters a competitive market and has the task of having to establish an adequate earnings level.

(iv) Development of a new product stands the risk of being affected at any time by regulatory intervention or by parent life erosion.

These constraints do apply to the development and introduction of traditional medicinal products although, I would say, the financial risk is not of the same order of magnitude.


Figure 1: Programme of drug discovery and development

Patent protection of pharmaceutical products

The maximum duration possible for a patent is laid down by the laws of each country, and lies between 10 years (e.g. Peru and Venezuela) and 20 years (e.g. Belgium and France). The differences between countries are also increased in that the duration of the patent sometimes begins with the filing date (Germany and Switzerland); sometimes with the laying open to public inspection (Japan and Yugoslavia); sometimes with the granting date (USA and Canada), and also in that many places the duration of protection begins later than the duration of the patent. Extension of duration may be obtained on request in certain circumstances, e.g., in the U.K. and Australia.

Yearly fees have to be paid to maintain the patents in force (except in USA and Canada) and the amounts vary from about 20 to 1000 US dollars.

Pharmaceutical products have special patent regulations in many countries. The motives, therefore, are frequently felt to be justified by national expediency and/or social conditions. These can go so far that pharmaceutical products and even processes for the production thereof are denied patent protection, e.g. in Italy. Another means for the erosion of patent protection in this sector is the too great use made of compulsory licenses, for which often an application without any supporting ground is simply insufficient. Great Britain and countries having similar laws and practice, such as Canada, India, etc. are to be noted for this. The granting of a license is at the "discretion" of the competent authority. Opposition to the granting of such licenses, however, at most only delays the granting of a license and is generally never able to prevent it.

In most countries no patent can be obtained for the protection of the pharmaceutical use of a substance because the application of medicaments to the human body is not a technical procedure, i.e., it is not a "new invention which can be put to commercial use" (in the sense of Art. 1 of the patent law), but it is a procedure of medical art. Such patents are granted in principle in some countries such as the USA and France.

The protection of natural products or products of nature can be quite difficult. Only when you have definite controlled processes for arriving at the end products, as is apparent in genetic engineering, can such products withstand scrutiny with respect to novelty, technical progress, and also unobviousness. Where the products are achieved as a result of established extraction procedures the protection of the substances per se, or of the process, may be difficult. Our chances of protection of our traditional medicinal products with existing legislation, seem rather remote.

References

Bowman, W.C. (1979). Scot. Med., 24: 131.

Bucheim, R. (1876). Arch. Expl. Pathol. Pharmakol., 5: 261.

Geiger, P. L. and Hesse, O. (1833). Ann. Chim., 5: 43 and 1833: Ann. Chim., 6: 44 and 7: 269.

Merck, G. (1848). Ann. Chim, 66: 125.

Pelletier, J., and Caventou, E. (1820). Ann. Chim. Phys, (2) 15: 291 and 337.

Poitent, P. J. (1967). The role of industrial Property in the Economic Development of States, Zurich.

Serturner, F. W. A. (1805). J. Pharm. Arzte, 13: 29 Ann. Phys. 55: 36.

Weatherall, M. (1986). Pharmaceut. J., 237: 634.

Wohler, F. (1860). Ann. Chim. 114: 213.

A Survey of medicinal plants in Tabora region, Tanzania

C.K. RUFFO

Tanzania Forestry Research Institute
Lushoto Silviculture Centre
P.O. Box 95, Lushoto, Tanzania

ABSTRACT

A Survey of medicinal plants was conducted in Tabora Region between December, 1970 and July, 1989. 27 traditional healers from 30 villages in 25 village wards (i.e. about 15% of the Region) were interviewed. Also plants in the field and at the Lushoto herbarium were indentified. A total of 127 plant species belonging to 45 families and 05 genera were identified as medicinal plants used for the treatment of some 66 different human diseases in the region. The family Leguminosae was found to be leading by having 33 different medicinal plant species from 20 genera followed by Euphorbiaceae which had 9 species from 7 genera. Antidotes for snake bites were leading with 32 plant species, followed by stomach-ache and coughs, which had 21 and 14 medicinal plant species, respectively.

Introduction

Traditional medicine in Tanzania, like in other developing countries where medical facilities cannot satisfy national demands, plays a big role in combating both human and animal diseases. It is estimated that about 80% of the people who live in rural areas rely on traditional healers for their treatment using medicinal herbs. However, these medicinal plants have not been well studied, tested or documented. Most of the information is still in the hands of traditional healers (FAO 1986). Due to the current threat brought by diseases like malaria, cancer, hypertension, AIDS and others, it is now high time we carried an international combined effort from both scientists and traditional healers to do some more research on medicinal plants which might give us some positive results. Some of the information which is now available about medicinal plants in Tanzania includes the work of Watt and Breyer -Brandwijk (1962), in a book on Medicinal and Poisonous Plants of Southern and Eastern Africa; Medicinal Plants of East Africa by Kokwaro (1976); and that of Raimo Harjula (1988) who made some ethnomedicinal studies in Meru, Arusha. The Traditional Medicine Research Unit at the Muhimbili Medical Centre in Dar es Salaam is responsible for this work and is currently undertaking some research on traditional medicine. The Tanzania Forestry Research Institute at Lushoto has been conducting some botanical surveys in Dodoma, Singida and East Usambara. Part of this information has been published by FAO (1986). (Some will won be published by Ruffo et al. This paper reports about a survey of medicinal plants which was done in Tabora Region, Tanzania.

Tabora Region has a total area of 7,615km2, and receives an average annual rainfall of 700-800 mm (ICRAF 1988). The main tribe in the region is the Nyamwesi, who live mainly as peasant farmers. According to the 1988 Census, the population in the region was estimated at 1,036,293 people, with an average annual growth of 2.4%. The vegetation of Tabora region is mainly Miyombo or Brachystegia woodland dominated by Brachystegia spiciformis, Julbernardia globiflora and pterocarpus angolensis (Polhill, 1968).

Methodology

A survey of medicinal plants in the Tabora Region of Western Tanzania floristic Region T4, was conducted by the now Tanzania Forestry Research Institute under the Ministry of Lands, Natural Resources and Tourism between December, 1970 and July, 1989 by interviewing 27 traditional healers from 30 villages in 25 village wards, covering about 15% of the Region. Figure 1 shows a map of Tabora region where medicinal plants were surveyed and Appendix 1 gives a list of villages and traditional healers who were interviewed during the survey. These medicinal plants were identified in the field, except for taxonomically difficult plants which had to be collected and pressed for further identification at Lushoto Herbarium. The data for each medicinal plant, including the name of a plant, disease treated, plant part used, method of preparation and dosage, was recorded (Appendix 2). These data were then summarised.

Results

A total of 127 plant species belonging to 45 families and 95 genera, were identified as medicinal plants used for the treatment of 66 different human diseases in the Tabora region. The family Leguminosae was found to be leading by having 33 different medicinal plant species from 20 genera, followed by the Euphorbiaceae, which had 9 species from 7 genera. For the body problems, snake bites were leading with 32 medicinal species, followed by stomach-ache and coughs, which had 21 and 14 medicinal plants, respectively (Table 1 & 2).

Conclusions and recommendations

From the above results obtained from Tabora Region, it can be concluded that Tanzania has a big potential on medicinal plants, especially after comparing with the total of 127 medicinal plants for 66 human diseases from 15% of Tabora region (i.e., 25 village wards out of 166 wards of the 1988 census) and when this is compared with 44.4 million ha. of Tanzania natural forests, containing some 10,000 species of higher plants which also carry a very high degree of species diversity and endemism in the world (Lovett 1988, Lundgren, 1975 and Polhill, 1968).

It was also noted that some of these medicinal plants such as Annona senegalensis, Flacourtia indica and Friesodielsia abovata had multipurpose uses, including edible fruits and fuelwood.

It is therefore recommended that:

(a) Further studies be carried out in other areas of Tabora as well as in other regions of Tanzania to establish a sound basis for further research on medicinal plants.

(b) These medicinal plants be collected, screened and tested for their active principles on the diseases for which they are used.

(c) Medicinal plants which prove to be really curative be developed and incorporated with modern medicinal practice.

(d) Silvicultural studies be carried out on medicinal plants in order to facilitate their establishment in villages and botanical gardens.

(e) Traditional healers be encouraged to incorporate their knowledge of medicinal plants with modern medicinal practice.

(f) Medicinal plants of Tanzania be documented in a journal, such as, Journal of Tanzania Traditional Medicine, etc.

(g) An international cooperation for exchange of knowledge and seed samples of medicinal plants be established.


Fig. 1. Map of Tabora Region showing areas where medicinal plants were surveyed

Acknowledgement

I wish to express my sincere gratitude to Mr. Kitambi, the Acting Director-General, TAFORI, for allowing me to attend this seminar and present this paper, and to Dr. S. M. Maliondo and Mr. Msangi, all of the Silviculture Research Centre, for their kind help in reading the manuscript.

References

FAO (1986): Some medicinal forest plants of Africa and Latin America, FAO Forestry Paper, 67.

Harjula, R. (1980). Mirau and his Practice. Trimed Books Limited, London, 223 pp.

ICRAF (1988). Rapport Afrena Report: A Blueprint for Agroforestry in the Unimodar Upland Plateau of Tanzania, No. 6 ICRAF, Nairobi. 80 pp..

Kokwaro, J.O. (1976): Medicinal Plants of East Africa. East African Literature Bureau, Nairobi. 384 pp.

Lovett, J.C.(1988): Endemism and affinities of the Tanzania Montane Flora Monogr, Syst. Bot. Gard.

Lundgren, B.(l975): Land use of Kenya and Tanzania, Royal College of Forestry, Stockholm. 354 pp.

Polhill, R.M.(1968): Conservation in Africa South of the Sahara Almqvist & Wiksells Boktykeri, AB, Uppsala, Sweden. 326 pp.

Ruffo et al. (In press): "In the Forests of East Usambara: their Resources and their Conservation." IUCN Forest Division, Nairobi.

Tanzania Government (1988): Population Census. Preliminary Report, Dar es Salaam-201 pp.

Watt, J.M. and Brayer - Brandwijk, M.G. (1962). The Medicinal and Poisonous Plants of Southern and Eastern Africa. E. S. Livingstone Ltd, London. 1455 pp.

Table 1: Alphabetical list of medicinal plants from Tabora region with their vernacular (Nyamwezi) names, part(s) used and diseases treated

Botanical name

Vernacular name

Part used

Diseases treated

Anacardiaceae




Lannea schimperi

Mugumbu

Bark & root

Mental disorders and snake bites

Ozoroa reticulata

Mukalakala

Bark

Body swellings, coughs, diarrhoea, gonorrhoea, malaria, epilepsy, prolapse of rectum and stomachache

Annonaceae




Annona senegalensis

Mutopetope Mufila Mukonola

Roots

Snake bites and Stomachache

Friesodielsia obovata.

Musalasi

Roots

Anaemia, infertility snake bites

Apocynaceae




Condylocarpon diplorhynchus
Holarrhena pubescens

Musonga Musongati Musongalukuga

Bark & leaves Roots

Galactogogue, wounds and sores Gonorrhoea, bilharzia and stomachache

Strophanthus eminii

Musungululu Muvelevele

Bark & roots

Asthma, syphilis, Constipation, measles small pox, scabies, epilepsy, spleen and heart diseases

Araceae




Pistia stratiotes

Ileve, Maleve

Roots

Fire burns

Asclepiadaceae




Calotropis procera

Mpumbula

Roots

Boils, hydrocele, stomach and tooth ache

Gymnema sylvestre

Luhaga

Roots

Aphrodisiac

Aristolachiaceae




Aristolachia -

Kilikamo

Roots

Convulsions, petersiana poisoning, stomachache, snake bites

Bignoniaceae




Kigelia africana

Mudungwa, Mulegeya, Mwicha, Msanhwa

Bark, roots

Convulsions

Boraginaceae




Trichodesma zeylanicum

Igungulu

Roots

Coughs, poisoning and stomachache

Burseraceae




Commiphora africana

Musagasi, Mupondamu, Mutonto

Bark

Snake bites and traucoma

Capparidaceae




Boscia salicifolia

Muguluka

Bark, Roots

Headache, rheumatism, scabies and toothache

Gynandropsis gynandra

Mugagani

Leaves

Colds, coughs, earache and eye-diseases

Celastraceae




Maytenus-galensis

Mwezya

Roots

Snake bites, infertility and stomachache

Combretaceae




Combretum cillinum

Mulandala

Roots leaves

Snake bites

C. fragrans

Muluzyaminzi

Roots, leaves

Malaria, wounds and traucoma

C. longispicatum

Vugoveko

Roots

Malaria and snakebites

C. molle

Mulama

Leaves

Earache and wounds

C. obovatum

Vugoveko

Roots

Gonorrhoea

C. zeyheri

Musana

Roots, leaves

Coughs, diarrhoea, rectal prolapse, Snake bites and stomachache

Terminalia mollis
T. sericea

Mudisi, Mukelenge Mupululu, Muzima

Bark, roots Leaves

Bilharzia Coughs, measles, rectal prolapse, and stomachache

Compositae




Bidens pilosa

Ndasa

Leaves

Wounds and relapsing fevers in children

Vernonia glabra

Kilulankunja, Mukalinkali

Roots

Malaria, gonorrhoea, syphilis and measles

Cyperaceae




Cyperus articulatus

Vulago, Vuseli

Roots

Intestinal worms

Ebenaceae




Diosypros fischeri

Mufuvata

Roots, leaves

Snake bites

Euphorbiaceae




Antidesma venosum

Musekela

Roots, leaves

Snake bites and poisoning

Bridelia duvigneaudi

Muvuzivuzi

Roots

Intestinal worms

Euphorbia candelabrum

Mulangali

Twigs

Constipation

E. grantii

Mudulansongo

Roots

Constipation, epilepsy and snake bites

E. hirta

Vakikulu

Leaves

Menstrual disorders, ringworm and snake bites

Jatropha curcas

Inyanga

Seed

Intestinal worms

Hymenocardia acida

Mupala

Leaves

Coughs, rectal prolapse and stomachache

Oldfieldia dactylophylla

Muliwanfwengi

Roots

Aphrodisiac, gonorrhoea and hernia

Phyllanthus engleri

Mugogondi, Mung'ong'o Ntandala

Roots leaves

Coughs and bilharzia

P. reticulatus

Muvinzandimi

Roots, leaves

Snake bites

Flacourtiaceae




Flacourtia indica

Mupugusura, Musingila Musungu

Roots

Coughs, snake bites, Infertility and stomachache

Graminae




Pennisetum purpureum

Ibingobingo, Isumbu, Vupemba

Stem Stem

Measles Infertility

Labiatae




Ocimum suave

Ilumbasya, Ilumba

Twigs

Colds, fever, Dementia

Leguminosae




Abrus precatorius

Muchichi, Mshiti

Roots

Aphrodisiac, scabies, smallpox, anaemia, eye and spleen diseases

A. schimperi

Vugagati

Roots

Hypertension and postpartum stomach pains

Acacia drepanolobium

Vuvula

Roots

Abscess and bilharzia

A. hockii

Munyenyela

Roots

Abscess

A. mellifera

Mugongwa, Ilugala

Roots

Impotence

A. nilotica

Mugulunga, Mudubilo

Roots

Anaemia, asthma

A. senegal

Katita, Mgwata

Roots

Abscess

Albizia harveyi

Mupogolo

Leaves

Chest pains, wounds and stomachache

A. petersiana

Musisigulu

Roots

Hernia, and lung

Brachystegia spiciformis

Mutundu

Bark

Coughs and snake bite

Burkea africana

Muganda, Mukalati

Bark

Headache

Cajanus cajan

Mubalazi, Mutengwa.

Roots

Aphrodisiac

Cassia abbreviata

Mumulimuli,

Roots

Hernia, intestinal worms, gonorrhoea, syphilis


Mulundalunda,


Snake bites, stomachache, bilharzia, sores, malaria,


Muzoka


postpartum stomach pains and poisoning

C. obtusifolia

Muzegezega

Roots

Hernia, yellow fever, dementia and convulsions

C. singueana

Mudimwambuli, Musambisambi

Roots Leaves

Convulsions, coughs, intestinal worms, malaria, epilepsy and yellow fever

Dalbergia melanoxylon

Mugombe

Roots, Leaves

Convulsions, menstrual disorders, snake bites, traucoma and toothache

D. nitida

Kafinulambasa

Roots

Toothache

Dichrostachys cinerea

Mutunduli

Leaves

Boils, coughs, wounds, galactogogue, snake bites, menstrual disorders and stomachache

Entanda abyssinica

Mufutwambula

Roots

Gonorrhoea, anaemia and hypertension

Isoberlinia angolensis

Muva

Bark

Coughs, wounds and snake bites

Lonchocarpus capassa

Muvule

Roots, leaves

Snake bites

L. bussei

Muvule

Roots

Allergy

Oormocarpum trachycarpum

Mukondwapuli Muvulwambuli

Leaves

Snake bites and pneumonia

Pericopsis angolensis

Muvunga

Leaves

Coughs, fire burns, sores and snake bites

Piliostigma thonningii

Mutindambogo

Bark

Snake bites

Pterocarpus angolensis

Muninga

Bark

Diarrhoea and wounds

P. tinctorius

Mukulungu

Bark

Eye problems

Swartzia madagascariensis

Kasanda

Roots

Malaria and yellow fever

Tamarindus indica

Musisi

Leaves

Malaria, wounds, mental disorders and stomachache

Xeroderris stuhlmannii

Munyenye, Mjungu

Bark

Mastitis and backache

Liliaceae




Aloe sp.

Itembwe, Lugaka

Leaves

Aphrodisiac, heart pains, impotence, spleen and kidney diseases

Asparagus falcatus

Kasolanhanga, Sawi

Roots

Aphrodisiac, hernia and gonorrhoea

Loganiaceae




Strychnos innovia

Mukulwa, Mumundu

Roots

Aphrodisiac

S. potatorum

Mugwegwe, Mupandepande

Roots, Leaves

Coughs, malaria and gonorrhoea

S. spinosa

Mwage

Roots

Intestinal worms, gonorrhoea and syphilis

Meliaceae




Ekabergia benguelensis

Mutuzya

Roots

Mental disorders

Turraea sp.

Mulingiwe

Roots

Convulsions

Menispermaceae




Cissampelos pareira

Mukuluwanti

Roots

Snake bites, poisoning and stomachache

Moraceae




Ficus natalensis

Mulumba

Bark, twigs

Whooping cough

F. sycomorus

Mukuyu

Bark, twigs

Diarrhoea

Musaceae




Musa sapientum

Idoke

Flowers

Asthma

Myrtaceae




Psidium guajava

Mupera

Leaves

Diarrhoea, malaria and wounds

Ochnaceae




Ochna schweinfurthii

Kavulwampako Kawantundwe Kupande

Roots

Poisoning and snake bites

Olacaceae




Ximenia americana

Munembwa, Mutandwa

Roots

Anaemia, hernia, intestinal worms mental disorders

X. caffra

Munembwa, Mutandwa

Roots

Anaemia, hernia, intestinal worms and mental disorders

Oleaceae




Schrebera trichoclada

Muputika

Bark, leaves

Coughs, snake bites, traucoma, stomachache and eye diseases

Orchidacene




Anselia africana

Inyazya

Stems

Rheumatism, snake bites and body swelling

Pedaliaceae




Sesamum angolense

Mulenda-gwawima Ilendi-lya-wima

Roots leaves

Measles and poisoning

Polygalaceae




Longipenduculata securidaca

Muteyu

Roots

Constipation, hernia, infertility, toothache and stomachache

Rhamnaceae




Ziziphus mucronata

Kagovole, Lugugunu

Roots

Snake bites and stomachache

Rubiaceae




Catunaregan spinosa ssp. taylorii.

Mochangoko, Mupongolo

Roots

Cunvulsions, hernia, hypertension and intestinal worms

Fadogia cienkowskii

Kambolambola

Roots

Infertility

Crossopterix febrifuga

Musaswambeke

Bark

Diarrhoea and convulsions

Gardenia ternifolia ssp. jovi stonantis

Kilindila Mugunda

Roots

Coughs, snake bites

Hymenodutylon parvifolium

Muginya, Mujunguluji Mpepesavakia Muvinzwansanzu

Roots

Intestinal worms, snake bites and menstrual disorders

Multidentia evassa varapula

Mukukumba, Muyogayo

Roots

Earache

Rothmania engleriana

Mkondokondo Mutwinya

Roots

Snake bites and stomachache

Rutaceae




Citrus aurantifolia

Mudimu

Leaves

Asthma

Verpis glomerata

Mulungusigiti

Roots

Body swelling, constipation and infertility

Zathoxylum chalybeum

Mudali, Mulungulungu

Roots

Malaria and body swellings

Sapindaceae




Zanha africana

Mukalya

Roots

Colds, convulsions stomachache

Sapotaceae




Chysophyllum bangweolense

Museveye

Roots

Diarrhoea

Manilkara mochisia

Mukonze

Bark

Mastitis

Solanaceae




Physalis peruviana

Sinkini

Roots

Intestinal worms

Solanum gilo

Mutole

Roots

Hernia

S. incarnum

Mudulanu, Mutulantu

Roots

Constipation, hernia, wounds, tonsillitis and intestinal worms

Sterculiaceae




Sterculia africana

Muhozya, Muhoja

Bark

Snake bites and mental disorders

Waltheria indica

Ikumbo-lyaza, ikandagizi

Roots

Coughs, poisoning and snake bites

Filiaceae




Grewia bicolor

Mukoma

Roots

Anaemia and fertility

Umbelliferae




Steganotaenia araliaceae

Munyongampembe Mbyotolo

Roots Leaves

Snake bites

Verbenaceae




Clerodendrum capitatum

Kapolo

Roots

Constipation in children

C. myricoides

Mnindi, Mpugambu

Leaves

Dementia

Premna senensis

Mununhwanhala

Roots

Aphrodisiac

Vitex mombassae

Mutalali, Masumgwi

Roots

Diabetes

Vitaceae




Cissus carnifolia

Mutandamwaka

Roots

Hernia and bilharzia

C. quadrangularis

Vula-wo-nsuwi

Roots

Rectal prolapse

Cissus sp.

Lonzwe

Roots

Hernia and hypertension

Table 2: A list of diseases and their respective medicinal plants from Tabora region.

Disease

Medicinal Plant

Abscess

Acacia drepanolobium, A. hockii, A. sieberiana

Acute coughs Aphrodisiac

Pericopsis angolensis, Schrebera trichoclada Aloe sp., Asparagus falcatus, Abrus precatorius, Cajanus cajan, Gymnema sylvestre, Indigofera rhinchocarpa, Oldifieldia dactylophylla, Premna senensis, Strychnos innocua

Allergy

Lonchocarpus bussei, Vepris glomerata

Anaemia

Abrus precatorius, Acacia nilotica, Entada abyssinica, Friesodielsia obovata, Grewia bicolor, Ximenia americana, X. caffra

Ankylostomiasis

Bridelia duvigneaudii, Cassia singueana, Physalis peruviana, Ximenia americana, X. caffra

Asthma

Acacia nilotica. Citrus aurantifolia, Musa sapientum, Strophanthus eminii

Backache

Xeroderris stuhlmanii

Body swellings

Anselia africana, Ozoroa reticulata, Vepris glomerata, Zanthoxylum chalybeum

Boils

Calotropis procera, Dichrostachys cinerea

Chest pain

Albizia harveyi

Colds

Gardenia ternifolia ssp. jovis-tonantis, Gynandropsis gynandra, Ocimum suave, Zanha africana

Constipation

Clerodendrum capitatum, Jatropha curcas, Euphorbia candelabrum, E. grantii, Securidaca longependunculata, Solanum incanum, Strophanthus eminii, Vepris glomerata

Convulsions

Aristolochia petersiana, Caturanegam spinosa, Cassia obtusifolia, C. singueana, Crossopterix febrifuga, Dalbergia melanoxylon, Gardenia ternifolia ssp. jovis-tonantis, Kigelia africana.

Coughs

Brachystegia spiciformis, Cassia singueana, Combretum zeyheri, Flacourtia indica, Gynandropsis gynandra, Hymenocardia acida, Dichrostachys cinerea, Julbernardia globiflora, Ozoroa reticulata, Phyllanthus englerii, Schrebera trichoclada, Strychnos potatorum, Terminalia sericea, Waltheria indica.

Dementia

Cassia obtusifolia, Clerodendrum myricoides, Ocimum suave.

Diabetes

Vintex mombassae

Diarrhoea

Combretum zeyheri, Chrysophyllum bangweolense, Crossopterix febrifuga, Ficus sycomorus, Ozoroa reticulata, Psidium guajava.

Earache

Cannabis saliva, Combretum molle, Gynandropsis gynandra, Multidentia crassa.

Epilepsy

Cassia singueana, Euphorbia granii, Ozoroa reticulata, Strophanthus eminii.

Eye disease

Abrus precatorius, Gynandropsis gynandra, Pterocarpus angolensis, P. tinctorius, Schrebera trichoclada.

Fire burns

Pistia stratiotes, Pericopsia angolensis

Fever

Ocimum suave.

Gonorrhoea

Asparagus falcatus, Cassia abbreviata, Combretum obovatum, Holarrhena febrifuga, Entada abyssinica, Oldifieldia dactylophylla, Ozoroa reticulata, Strychnos potatorum, Vernonia glabra.

Headache

Boscia salicifolia, Burkea africana

Head sores

Cassia abbreviata

Heart pain

Aloe sp, Strophanthus eminii

Hernia

Albizia petersiana, Cassia abbreviata, C. obtusifolia, Asparagus falcatus, Caturanegam spinosa ssp. taylorii, Cissua cornifolia, C. sp., Oldifieldia dactylophylla, Securidaca longepedunculata, Solanum incanum, S. gilo, Ximenia americana, X. caffra.

Hydrocele

Albizia petersiana, Cassia abbreviata, Lotropis procera.

Hypertension

Alrus schimperi ssp. africanus, Caturanegam spinosa up. taylorii, Cissus sp., Entada abyssinica

Impotence

Acacia mellifera, A. Senegal, Aloe sp., Indigofera rhinchocarpa.

Infertility

Grewia bicolor, Securidaca longependunculata, Sorghum vulgare.

Intestinal worms

Aloe sp., Acacia nilotica, Caturanegam spinosa ssp. taylorii, Cassia abbreviata, Cyprus articulatus, Ficus natalensis, Jatropha curcas, Solanum incanum.

"Kalimi" (Tonsillitis)

Acacia nilotica, Ficus natalensia, Trichodesma zeylanicum, Solanum incanum.

Kidney disease

Aloe sp.

Lactation problem

Dichrostachys cinerea, Diplorhynchus condylocarpon

Leprosy

Terminalia stuhlmannii

Lung disease

Albizia petersiana

Madness

Ekebergia benguellensis, Isoberlinia angolensis, Lannea schemperi, Sterculia africana, Tamarindus indica, Ximenia americana, X. caffra.

Malaria

Cassia abbreviata, C. singueana, Combretum fragrans, C. longispicatum, Dalbergia melanoxylon, Ozoroa reticulata, Psidium guajava, Strychnos potatorum, Swartzia madagascariensis, Vernonia glabra, Zanthoxylum chalybeum.

Mastitis

Manilkara mochisia, Xiroderris stuhlmannii

Measles

Pennisetum purpureum, Sesamum angolensis, Strophanthus eminii, Terminalia sericea, Vemonia glabra.

Menstrual problems

Dalbergia melanoxylon, Dichrostachys cinerea, Euphorbia hirta, Fadogia cienkowskii, Hymenocardia acida.

Pneumonia

Ormocarpum trachycarpum

Periodic fevers

Bidens pilosa

Poisoning

Aristolochia petersiana, Antidesma venosum, Cassia abbreviata, Cissampelos pereira, Ochna schweinfurthii, Sesamum angolense, Trichodesma zeylanicum, Waltheria indica.

Post-partum stomach pains

Abrua schimperi, Cassia abbreviata.

Prolapse of rectum

Cissus quardrangularis, Combretum zeyheri, Ozoroa reticulata, Terminalia sericea.

Restlessness

Ekebergia benguellensis, Isoberlinia angolensia

Rheumatism

Anselia africana, Boscia salicifolia, Vepris glomerata, Zanthoxylum chalybeum.

Ringworm

Euphorbia hirta

Scabies

Abrus precatorius, Boscia salicifolia, Strophanthus eminii, Terminalia sericea.

Schistosomiasis

Acacia drepanolobum, Cassia abbreviata, Cissus connifolia, Holarrhena pubescens, Phyllanthus engleri, Terminalia mollis.

Small pox

Abrus precatorius, Strophanthis eminii.

Snake bites

Annona senegalensis, Anselia africana, Aristolochia petersiana, Antidesma venosum, Brachystegia spiciformis, Cassia abbreviata, Cissampelos pereira, Cissus cornifolia, Combretum collinum, C. longispicatum, C. zeyheri, Commiphora africana, Diospyros fischeri, Euphorbia grantii, E. hirta, Friesodielsia obovata. Gardenia ternifolia ssp. jovis-tonantis, Hymenodictyon parvifolium, Julbernardia globiflora, Lannea schimperi, Lonchocarpus capassa, Ochna schweinfurthii, Pericopsis angolensis, Piliostigna thonningii, Maytenus senegalensis, Ormocarpum trachycarpum, Rothmannia engleriana, Steganotaenia araliaceae, Securidaca longepedunculata, Schrebera trichoclada, Strophanthus eminii, Sterculia africana, Strychnos popatorum, Waltheria indica.

Sores

Diplorhynchus condylocarpa, Pericopsis angolensis

Spleen disease

Abrus precatorius, Aloe sp., Strophanthus eminii.

Sterility

Fadogia ceinkowskii, Flacourtia indica, Friesodielsia obovata, Maytenus senegalensis, Sorghum vulgare, Vepris glomerata.

Stomachache

Annona senegalensis, Aristolochia petersiana, Calotropis procera, Albizia harveyi, Combretum zeyheri, Cissampelos pereira, Crossopterix febrifuga, Dichrostachys cinerea, Flacourtia indica, Hymenodictylon parvifolium, Maytenus senegalensis, Ozoroa reticulata, Rothomannia engleriana, Securidaca Longepedunculata, Schrebera trichoclada, Strychnos potatorum, Tamarindus indica, Terminalia serica, Trichodesma zeylanicum, Zanka africana, Ziziphus mucronata.

Syphilis

Asparagus falcatus, Cassia abbreviata, Strophanthus eminii, Strychnos spinosa, Vernonia glabra.

Tonsillitis

Sesamum angolense, Schrebera trichoclada, Solanum incanum.

Toothache

Boscia salicifolia, Calotropia procera, Dalbergia melanoxylon, D. nitidula, Securidaca longepedunculata.

Trachoma

Commiphora africana, Combretum fragrans, Dalbergia melanoxylon, Schrebera trichoclada.

Whooping cough

Ficus natalensis

Wounds

Albizia harveyi, Bidens pilosa, Combretum fragrans, C. molle, Diplorrhynchus condylocarpon, Dichrostachys cinerea, Julbernardia globiflora, Pericopsis angolensis, Pterocarpus angolensis, Psidium guajava, Solanum incanum, Tamarindus indica.

Yellow fever

Cassia obtusifolia, C. singusana, Swartzia madagascariensis.

Intérêt pharmacognosique des plantes de la flore médicinale Rwandaise: valeur chimiotherapeutique de quelques plantes Rwandaise

PIERRE CLAVER RWANGABO

Pharmacien, Chargé de Recherche
Institut de Recherche Scientifique et Technologique
Butare
Rwanda

Introduction

Dans le cadre de la valorisation de la thérapeutique traditionnelle rwandaise et de la recherche de l'activité biologique dans la flore médicinale, une investigation approfondie a été menée sur des plantes rwandaises.

Cette étude qui s'ajoute aux nombreuses autres, aussi bien dans notre pays qu'a l'extérieur visant & rechercher de nouveaux ou de meilleurs médicaments dans le monde végétal, nous a permis de justifier l'utilisation en thérapeutique de certaines plantes par les guérisseurs traditionnels rwandais. Le présent chapitre résume la méthodologie suivie et décrit les principaux résultats obténus.

L'étude porte sur quelques plantes utilisées largement en médecine traditionnelle rwandaise.

Il s'agit de Burus rigidus SM. (Umukeri) de la famille des Rosacées, Lantana trifolia L. (Muhengeri) de la famille des Verbénacées et de Vernonia amygdalina DEL (Umubilizi), appartenant à la famille des Astéracées.

Le document vise donc à rassembler d'une manière condensée les résultats attéints jusqu'à date, lors d'une étude systématique visant a démontrer la valeur pharmacologique et/ou chimiothérapeutique de ces plantes. Pour démontrer l'impact en thérapeutique de ces plantes, nous sommes partis d'une hypothèse globale selon laquelle en plus de sa valeur psycho-socio-culturelle reconnue par tous les peuples, la médecine traditionnelle utilise aussi des plantes à activité biologique certaine et pouvant être mise en évidence sur les modèles scientifiques des recherches biomédicales.

Pour l'une des plantes dont les résultats laissent entr'ouvoir déjà à ce stade, une possibilité d'utilisation en clinique, l'investigation à été poussée jusqu'à l'exploration des paramètres toxicologiques. Les données sont encourageantes. La majorité des résultats sont consignés dans des publications qui seront indiquées tout au long de cette présentation et dans lesquelles le lecteur désireux des informations plus approfondies peut lire les détails souhaités.

Tout en poursuivant la recherche de l'activité thérapeutique dans les plantes étudiées, l'isolement et l'identification des molécules chimiques même inactives vis-à-vis du secteur exploré, permet d'une part de compléter les connaissances phytochimiques de ces plantes qui, en général, sont étudiées pour la première fois et d'autres parts, d'obtenir des informations toxicologiques souvent inaccessibles lors de l'utilisation des extraits bruts. Le premier élément est important surtout lors de la rédaction des monographies des pharmacopées portant sur ces plantes, le second est très utile non seulement dans la production des médicaments utilisables, mais aussi permet aux chercheurs de donner des conseils judicieux aux tradipraticiens qui incorporent ces espèces dans leur médication.

La description commencera dans la suite par la méthodologie générale utilisée. Suivra l'étude détaillée de chaque espèce et qui sera centrée sur les molécules chimiques identifiées et leur activité biologique. Comme une conclusion partielle aura été donnée lors de l'étude de chaque espèce, une brève discussion suffira pour résumer l'intérêt des plantes étudiées pour le développement du secteur médicopharmaceutique nationale. Enfini, une référence bibliographique montrera aussi bien les principaux documents consultés lors de ces recherches que ceux dans lesquels ont été publiés la plupart des résultats.

Méthodologie générale

Le choix des plantes a été effectué dans l'ensemble de la flore médicinale rwandaise, grâce surtout aux informations fournies par les tradipracticiens (1,2,3,4) au sujet de l'action éthnopharmacologique de ces espèces.

Pour chacune d'elles la recherche a été charpentée sur une méthodologie pouvant être résumée en sept points principaux:

(a) description botanique et étude de la distribution géographique des plantes retenues;

(b) inventaire de l'utilisation des plantes en thérapeutique traditionnelle au Rwanda et, parfois aussi, au niveau de l'Afrique Centrale;

(c) screening biologique orienté portant sur l'extrait total de la plante;

(d) screening phytochimique et étude bibliographique détaillée des plantes retenues;

(e) fractionnement chromatographique des extraits tout en poursuivant l'activité identifiée précédemment;

(f) isolement, purification et identification des produits responsables de l'activité;

(g) étude détaillée comportant une évaluation de l'effect thérapeutique et de la toxicité éventuelle des produits actifs, en comparaison avec des produits déjà connus en thérapeutique.

La détermination botanique a été faite au CURPHAMETRA où les spécimens des plantes peuvent être trouvées. La distribution géographique a été faite en consultant les spécimens déposes au CURPHAMETRA et l'Herbarium du Jardin Botanique National de Belgique (5).

Les méthodes phytochimiques d'extraction d'isolement et d'identification spectroscopique des produits sont décrites dans beaucoup d'ouvrages. Certains cas particuliers aux présentes recherches sont également détaillés dans les références citées. Nous n'estimons pas indispensable d'y revenir. Sera présenté para contre le résumé de certaines techniques utilisées dans la recherche des activités biologiques, vu l'aspect particulier de certaines d'entre elles. La mise en évidence de l'activité chimiothérapeutique antibactérienne et antifongique a été menée en recourant aux méthodes dites de dilution et de diffusion(6)

Nous avons chaque fois testé les microorganismes représentatifs de grands groupes reconnus comme principaux agents pathogènes. Pour les produits actifs purifiés nous avons recherché la concentration minimale inhibitrice (CMI) suivant la méthode classique. Chaque fois que cela a été possible l'activité d'un produit était comparée à celle d'un témoin connu utilisé en thérapeutique.

L'activité antivirale des extraits des plantes et des produits purs a été étudiée suivant une technique beaucoup plus complexe impliquant la culture et l'entretien des tissues cellulaires, le dévelopement des virus sur ces cellules et l'évaluation de l'activité antivirale en observant l'absence ou la persistance de l'effet cytopathogène des virus selon que le produit testé possède ou n'a pas d'effet antiviral. Nous avons utilisé surtout la technique de dilution des virus dans les plaques de microtitrage mise au point par l'équipe de Hronovsky(7) et adaptée par Vanden Berghe et ses collaborateurs(7).

Le choix des virus a été opéré de manière à voir des représentants des diverses classes. Ainsi l'Adenovirus a été retenu comme représentât des virus ADN sans enveloppes; le Poliovirus et le Coxcachievirus représentaient les virus ARN sans enveloppe, le Herpes les virus à ADN avec enveloppe, tandis que le virus de la Rougeole et le Semliki Forest représentaient les ARN portant une enveloppe.

L'activité cardiovasculaire a été mise en évidence sur les modèles expérimentaux suivants: les plaquettes sanguines de lapin, les oreillettes droite et gauche de cobaye, l'artère centrale de l'oreille du lapin, les microsomes de la vésicule séminale de mouton(5,8).

Quelques unes de ces techniques ont été effectuées a l'Université d'Anvers (UIA), en Belgique. Quant aux études toxicologiques portant surtout sur la 3-méthoxyquercétine isolé de Veroninia amygdalina nous les avons dévelopées à Butare, au CURPHAMETRA sur les modèles experimentaux décrits ci-après.

1. Toxicité de la 3-MQ en usage interne (9)

Préparation et administration du produit.

La 3-MQ utilisée a été isolée des fleurs de Vernonia angydalina (Umubilizi) suivant la procédure décrite ailleurs(5).

Une suspension acqueuse a été préparée notamment en broyant préalablement la poudre dans un mortier. La suspension dosée à une concentration de 15 mg/20 ml d'eau distillée était administrée aux souris a raison de 30 mg/Kg de poids corporel de l'animal; ce qui revient, a titre d'exemple, à fournir 0.8 ml de suspension pour une souris de 20 g. La suspension était administrée a l'aide d'une seringue en plastic munie d'un embout inoxydable et conçu de façon à ne pas provoquer des traumatismes chez l'animal.

Manipulation des souris et observations

Dix souris blanches (souche OF1) des deux sexes, d'âge ± identique, de poids moyen égal à 22,4 g au départ ont été réparties en deux groupes de 5 unités chacun.

L'état général et la température de chaque animal ont été observés et notés durant la journée précédent l'administration du produit.

Le lendemain, l'un des deux groupes a reçu la suspension de 3-MQ proportionnellement au poids des animaux, tandis que l'autre groupe recevait des quantités équivalentes d'eau distillée.

L'observation des animaux était faite chaque jour (à la même heure en ce qui regarde le poids et la température) et portait notamment sur:

· l'état général de chaque animal;
· l'agitation ou la somnolence éventuelle;
· la température;
· l'état et la forme du pelage;
· le poids corporel de chaque animal.

Les animaux étaient maintenus par groupe de 2 dans des cages rectangulaires en matière plastique.

Le produit a été administré pendant 10 jours sans interruption, tandis que l'observation des paramètres précédents a été menée durant 44 jours en premier temps.

Les animaux recevaient de la nourriture et de l'eau ad libitum à certaines dates, c'est-à-dire le 1er, 9è,II,14è, 22è, 29è, 36è et 44è jour, nous avons relevé le poids individuel de chaque souris des deux lots et avons calculé les poids moyens correspondant à ces dates. Ces poids moyens, en comparaison au poids initial nous ont permis d'évaluer l'influence du traitement sur l'évolution pondérale et, partant, sur la croissance des animaux d'expérience.

Pour rechercher l'influence éventuelle du produit sur la reproduction, nous avons procédé de la manière suivante : un lot de dix souris femelles de la même souche que précédemment a reçu la suspension acqueuse du produit pendant 10 jours. Un autre lot également femelle a reçu de l'eau distillée de la même manière qu'au cours de l'expérience précédente. Au 11é jour, les souris des deux lots ont été accouplées et maintenues par paire dans des groupes de cages différentes pour chaque lot où elles recevaient de la nourriture habituelle et buvaient ad libitum.

A la naissance, nous avons compté le nombre de petits pour chaque lot et nous avons établi une comparaison.

Manifestation toxique d'une pommade de V. amygdalina en UE(10)

Le travail a porté sur 10 lapins adultes d'un poids variant entre 2,8 et 4 kg. Ils ont été répartis en deux lots de 5 unités chacun. Après la prise de poids et l'observation minutieuse de l'état général des animaux, chaque lapin a été épilé sur une surface de 4x4 cm au niveau du dos. Ils étaient maintenus dans des cages individuelles et nourris ad libitum. Le premier lot était traité par une pommade à 5% de la fraction hydrométhanolique fournie par les fruits de la plante. L'expient était constitué de vaseline. Le deuxième lot (témoin) était traité avec de la vaseline seule. Le traitement consistait en une application une fois par jour et de manière identique d'une petite couche de pommade, ou d'expient seul selon le cas, et en frottant légèrement de façon à oindre uniformément la surface épilée.

L'expérience a été menée durant un mois(du 4 décembre 1987 au 4 janvier 1988). L'application de la médication a été arrêtée au 180 jour. Le contrôle consistait en une observation quotidienne, de manière comparative dans les deux lots et orientée principalement vers les paramètres suivants: l'état général des animaux, le poids, le repousse des poils et surtout l'apparition éventuelle des manifestations d'irritation sur la surface traitée.

Etude détaillée de chaque plante et résultats

Rubus rigidus SM.

L'espèce est bien répandue au Rwanda et dans les pays voisins (5,11). Les tradipraticiens rwandais l'utilisent surtout contre les maladies à caractère bactérien et fongique, mais sans qu'il existe une délimitation nette vis-à-vis des autres secteurs de pathologie, comme les verminoses, les morsures de serpents(4,5)...

L'étude préliminaire avait montré une activité antimicrobienne, surtout antifongique dans l'extrait total de plante(12). Les études phytochimiques ont permis d'isoler et d'identifier dans la fraction active des tiges l'acide pyogallique, connu communément sous le nom de pyrogallol(voir fig. p14').

L'activité antibactérienne et antifongique de ce produit qui est d'ailleurs connue dans les littératures(13) a été confirmée par nos travaux, avec une concentration minimale inhibitrice(CMI) proche de 250 microgrammes. Les microorganismes les plus sensibles à ce produit sont le Staphylococcus aureus, le Pseudomonas aeruginosa le Microsporum canis, le Trichophyton mentagrophytes et le Candida albicans (5,14).

Aucune autre action, qu'elle soit antivirale ou pharmacologique (cardio-vasculaire) n'a été mise en évidence dans cette plante par les présents travaux. Par contre les recherches bibliographiques ont montré que le psyrogallol est doué aussi d'une activité hépatoprotectrice importante qui se manifeste aux doses de même ordre de grandeur que celle qui ont montré l'effet antimicrobien. Ce triphénol partage cette action avec les autres phénols de structure apparentée, les catéchnines et les tannins(13).

En conclusion, nous avons établi que l'activité chimiothérapeutique du Rubus rigidus exploitée par les tradipracticens rwandais serait due principalement à la présence du pyrogallol. Dur point de vue médico-pharmaceutique, le pyrogallol a déjà connu plusieurs utilisation, surtout en usage externe; les littératures consultées font mention, entre autres, des pommades antimicrobiennes avec des doses de 2 à 10% (15).

Cependant, une certaine toxicité reconnue à ce produit par voie interne nous invite à suggérer aux guérisseurs qui utilisent le Rubus rigidus de privilégier les préparations à usage externe.

Lantana trifolia L.

C'est une Verbénacée largement répandue au Rwanda. Elle est cannue en Kinyarwanda sous le nom d'Umuhengeri. Elle avait aussi montré au stade préliminaire une activité antimicrobienne surtout dans les feuilles. Les guérisseurs rwandais l'emploient contre les syndromes de tout genre (2,5).

Il va être montré dans la suite que c'est l'activité antimicrobienne qui fourni les résultats les plus intéressants. Comme pour l'espèce précédente, les autres activités biologiques recherchées au niveau préliminaire n'ont pas fourni des données pouvant justifier la poursuite de l'investigation dans d'autres secteurs.

L'étude chimiothérapeutique antimicrobienne sur la fraction active a permis d'isoler et d'identifier une série de produits dont certains possèdent une activité intéressante. Ces produits isolés de Lantana trifolia sont: deux hydrocarbures aliphatiques saturés, à chaines linéaires(c33H68 et C35H72), le saccharose, deux triterpènes pentacycliques du groupe de l'ursane (alpha-amrine,urs-12-ène-3- one), un nouveau flavonoide polymethoxyque (5-hydroxy-6,7,3",4',5'- pentaméthoxyflavone) auquel nous avons donné le nom d'Umuhengerine en partant du nom de la plante en kinyarwanda(16), et enfin la diospyrine qui est une binaphtho-quinone apparenté à la juglone (voir fig.p14'). L'Umuhengerine est isolé pour la toute première fois du règne végétal alors que la diospyrine avait été jusqu'à présent, identifiée uniquement dans les différents genres de Diospyros (Ebenecées) (17)

Parmi ces produits isolés, seuls les deux derniers ont manifesté une activité antimicrobienne digne d'intérêt. L'Umuhegerine possède un spectre antibactérien et antifongique relativement étroit à des concentrations de 300 microgrammes.

La diosyprine quant & elle, possède un spectre très large portant sur les G', les G-et quelques champignons avec une prédilection contre les mycobacteries (ex. agent de la lèpre et de la tuberculose) dont le représentant s'est montré sensible à une CMI proche de 2, 5 microgrammes. Le tableau suivant résumé ces résultats.

Il y a lieu de signaler pour l'activité de cette plante que même si la comparaison des CMI n'est pas le seul paramètre à tenir en considération, la diosyprine manifeste son action & une concentration pareille (parfois même meilleure) à celle de la plupart des produits antimicrobiens utilisés en thérapeutique, c'est le cas de son action sur le M. fortritum (CMI =2,5 mg) en comparaison à la Neomycine témoin qui ne déploie son action qu'avec une CMI = 32 microgrammes/ml. L'Umuhengeri possède un spectre antimicrobien plus faible soit, mais vue sa structure chimique, il pourrait en plus agir au niveau de la balance lipophile, facteur reconnu actuellement comme déterminant pour l'activité des molécules chimiques contre les bactéries G-et G(18). De plus, son identification contribue nettement à l'amélioration de la connaissance chimique de cette espèce.

Tableau 1: Détermination de la CMI de la Diospyrine

Nom du micro-organisme

Concentration en microprogrammes (par ml pour les champignons)


100

50

20

10

5

2,5

Staphylococcus aureus

*

*

*

*

-


Staphylococcus pygenes

*

*

*

*

*

-

Bacillus subtilis

*

*

*

*

*

-

Bacillus cereus

*

*

*

*

*

-

Mycobacterium fortuitum

*

*

*

*

*

*

Neisseria gonorrhoeae

*

*

*

*

*


Klebsiella pneumoniae

*

*

*

-

*


Escherichia coli

*

*

*

-

*


Shigella dysenteriae

*

*

*

-

*


Sherratia marcescens

*

*

*

-

*


Pseudomonas aeruginosa

-






Proteus vulgaria

-






Salmonella typhimurium

*

*

-




Aspergillus niger

-






A. flavus

-






A. fumigatus

-






Microsporum canis

*

*

*

*

*

*

Trichophyton mentagrophytes

-






Candida albicans

*

*

*

*

*

*

* = activité; - = absence d'activité.

D'après les littératures sur Lantana camara, une autre Verbénacée qui ressemble beaucoup à la précédente, cette autre espece renferme des produits toxiques surtout au niveau du foie et de la peau vis-à-vis de laquelle ils manifestent une certaine photosensibilisation (5); un exemple de ces structures est le lantadène A.

Nous n'avons pas isolé ce genre de produits dans la fraction active de L. trifolia. Cependant nous ne sommes pas à mesure de conclure à leur absence dans toute la plante; il est très probable que les mêmes produits toxiques puissent être mis en évidence par des méthodes purement chimiques qui ne prendraient pas comme fil conducteur l'activité biologique. Ici aussi la recherche bibliographique sur le genre lantana nous invite à une certaine prudence dans l'utilisation de la plante étudiée.

Vernonia amygdalina Del.

C'est une Astéracée appartenant, comme sa dénomination l'indique, a la sous-famille des Vernoniées, très largement répandues dans l'Afrique tropicale et intertropicale. Elle est appelée Umubilizi au Rwanda et dans certains pays voisins comme l'Uganda et le Burundi(19).

Son utilisation en médecine traditionnelle dans nos régions, a la mesure de sa grande distribution géographique (5), va des hépatites aux affections cardiaques et en passant par une large gamme de syndromes tels que les verminoses, le paludisme, les coliques et troubles abdominaux, les morsures de serpents, les éczématides.

En commentant nos propres publications(20), les auteurs de la Revue: "Communautés Africaines" viennet de confirmer l'utilisation de V. amygdalina au Cameroun dans l'alimentation humaine et que nous avions décrite auparavant au niveau de l'Afrique orientale et méridionale (5).

En complément à l'activité biologique notamment antitumorale et cytotoxique identifiée auparavant dans cette plante ( ), là présente étude a permis d'identifier d'autres structures qui n'avaient jamais été signalées et de mettre en évidence d'autres activités thérapeutiques intéressantes, comme l'action chimiothérapeutique antivirale et l'effet pharmacologique au niveau de l'agrégation plaquettaire et des affections cardiaques.

Le travail à porte sur l'extrait des fleurs séchées de la plante qui a été préparé et fractionné suivant le schéma déjà publié dans d'autres articles (21,22,23). Compte tenu de son importance actuelle en chimiothérapie, c'est l'activité antivirale qui a servi d'orientation dans la séparation et la purification des molécules actives. Il a été possible d'isoler et d'identifier dans la plante un certain nombre de structures chimiques:

· 11 acides gras aliphatiques saturés, à chaine linéaire allant de C 22 à C 32;
· 5 esters d'acides gras dérivés du glycérol;
· un sesquiterpène lactonique appelé vernolide (voir fig. p14')
· une serie de composes flavoniques de la famille des flavonols;

il sa'agit de la quercétine (3,5,7,3',4'- pentahydoxyflavone) (Q) de la 3-méthoxyquercétine (3-MQ), de la 3,3'-diméthoxyquercétine(3,3-DMQ), de la rutine;: quercétine-3-0-1 bèta-D-glucose-6-1 alph-L-rhamnose) et du kaempherol (3,5,7,4'-tétrahydroxyflavone (K).

La 3-MQ(Fig.p14') qui semble être le chef de file des flavones, a été isolée avec un rendement proche de 1% par rapport à la poudre des fleurs séchées à la température ambiante.

L'étude approfondie de l'activité thérapeutique des produits isolés a montré que ce sont les flavonoides et le vernolide qui constituent les principes actifs, tandis que les acides gras et les esters ont été décrits comme les produits alphatiques associés à ces principes actifs(23). Quatre groupes d'activités biologiques ont été étudiées jusqu'à un stade considéré comme intéressant.

Il s'agit de l'activité cardiovasculaire, l'activité antiparasitaire, l'activité antivirale ainsi que la vérification de certains paramètres toxicologiques des produits susceptibles d'être exploités au niveau clinique.

Activité cardiovasculaire

1. Effet contre l'agrégation plaquettaire. Tous les détails techniques du protocole concernant la mise en évidence de cette action ont été développés ailleurs, surtout dans la "Revue Médicale Rwandaise" en 1986 (8).

La technique utilisée a permis de démontrer que les flavonoides quercétine, 3-methylquercétine et la rutine à un degré moindre, inhibent l'agrégation plaquettaire et l'action de la lipoxygénase et la cyclooxygénase à une concentration de 100 microgrammes (110 M) par millilitre. Signalons dès à présent que cette concentration est d'ordre de 1000 fois plus élevée que celle qui manifeste un effet antivirale intéressant.

Le vernolide lui aussi manifeste une inhibition complétement réversible de l'agrégation plaquettaire induite par l'acide arachidonique, mais cette action est assez faible.

2. Autres activités cardiovasculaires

A des doses de 10 microgrammes par millilitre la 3- méthoxyquercétine manifeste un effet chronotrope positif sur l'oreillete droite et une action antiarythmique sur l'oreillete gauche du coeur isolé de cobaye (5,24).

Activité antiparasitaire

Elle a été mise en évidence indirectement et c'est surtout le vernolide qui en est responsable. En effet, pendant que nos recherches étaient en cours, un autre groupe travaillant indépendamment a isolé le même produit à partir de Vernonia colorata et a montré qu'il possède une action antiparasitaire surtout contre l'Entamoeba histolitica à un niveau proche de celui des antiparasitaires utilisés en clinique comme le métronidazole (Flagyl) (25).

En mettant en évidence le même produit dans V. amygadalina nous démontrions du même coup le bien fondé de l'utilisation de cette plante contre les parasites intestinaux.

Activité antivirale

La 3MQ et la 3,3'-dMQ sont responsables d'une action antivirale très intéressante et qui s'est manifestée à des concentrations aussi faibles que 10 nanogrammes.

Ces produits exercent un effet sélectif en empêchant la formation de l'ARN et des protéines virales sans interférer avec le métabolisme de la cellule hôte. Ils sont actifs notamment et surtout contre le virus de la poliomyélite, le coxcachie-virus, le vesicular stomatitis virus (VSV), le Rhinovirus et contre certains virus d'origine africaine comme le Bangin et le Bunyamwera. L'intérêt de cette plante en chimiothérapie antivirale est ainsi évident d'autant plus qu'il s'agit d'un secteur dans lequel même la médecine européenne, développée est encore dépourvue des médicaments.

Fort heureusement la famille des produits isolés de cette plante permet même d'envisager des recherches ultérieures avec un espoir de succès même sur d'autres groupes de virus comme des rétrovirus. Des preuves existent dont certaines sont même très récentes: en 1979, Mr. Apple et ses collaborateurs avaient déjà démontré l'inhibition de la transcriptase réverse des oncornavirus par certains flavonols d'origine végétale.

En mai de cette anne-ci encore l'équipe japonaise d'ONO Katsuhiko, en collaboration avec des chercheurs français sont revenus sur l'action de certains flavones apparentés à la quercétine en tant qu'inhibiteurs, de la transcriptage reverse(27), enzsyme mis en cause dans le syndrome de l'imminodéficience humaine.

Même si les recherches ultérieures venaient a conclure l'absence d'une action intéressante dans ce secteur, l'intérêt de Vernonia amygdalina, aussi bien au niveau des extraits semi-purifiés que des produits purs est évident compte tenu aussi de la faible toxicité de la plante; il y a lieu d'envisager sérieusement l'utilisation prochaine de cette espèce en thérapeutique.

Avant ce stade nous avons commencé par l'exploration de certains paramètres toxicologiques du principe actif majoritaire.

Etude toxicologique préliminaire de la 3-MQ en usage interne

Les résultats de cette investigation ont été eux aussi publiés l'année passée dans la "Revue Médicale Rwandaise"(9).

Il a été ainsi possible de conclure a une absence de toxicité aigue et subague pour la 3-méthoxyquercétine qui est en concordance avec les données rapportées antérieurement dans les littératures pour les flavonoides en général, et pour la 3-MQ en particulier. De plus, aucun effet négatif n'a été constaté sur le système reproducteur des animaux d'expérience; tous les détails pourraient être trouvés dans la référence correspondante(9).

Manifestations toxiques en usage externe

Dans le même but que précédemment nous avons essayé d'établir l'importance des manifestations toxiques susceptibles de se produire lors d'une utilisation éventuelle de la plante sous forme de pommade contre les maladies dermatologiques tels que le zone et les eczématices. Le résultat de cette étude montre que l'application d'une pommade à 5% d'un extrait semi-purifié de V. amygadaline ne provoque aucune irritation décelable chez les lapins de laboratoire traites comparativement a ceux qui reçoivent l'expient seul(29).

Conclusion Générale et Discussion

En rapportant les résultats de ces recherches nous avons souligné une fois de plus que la valeur des plantes médicinales africaines en général et rwandaises, en particulier, n'est plus à démontrer dans le traitement des maladies de toute sorte.

L'usage en thérapeutique traditionnelle des plantes sur lesquelles s'est concentrée la présente communication semble largement justifié par l'activité biologique des produits qui y ont été mis en évidence. Nous avons rencontré trois groupes de produits chimiques du point de vue de l'action thérapeutique des plantes explorées.

Il y à tout d'abord des produits possédant une activité déjà connue auparavant, mais dont nous ignorions la présence dans la plante étudiée, ex. le pyrogallol.

Viennent ensuite des produits qui étaient très bien connus en chimie comme inactifs ou presque mais chez lesquels la technique de recherche utilisée nous a permis de mettre en évidence une activité très utile et parfois même inconnue ailleurs dans le secteur médico-pharmaceutiques; un exemple de ce groupe est la 3- méthotyquercétine isolée de V. amygdalina. On a enfin des produits toxiques ou inactifs, par rapport a l'activité recherchée mais dont la mise en évidence contribue fortement à augmenter les connaissances toxicologiques ou phytochimiques des plantes étudiées.

Comme on devait s'y attendre, les plantes explorées ne semblent pas manifester un même intérêt pour le développement du secteur socio-sanitaire ultérieur. L'activité du R. rigidus est au bas de l'échelle; son grand intérêt réside presque uniquement dans la justification du bien fondé de l'utilisation en thérapeutique traditionnelle. Le Latana trifolia par contre renferme des produits d'activité similaire à celles des antibiotiques les plus actifs; mais comme la plante est également fort toxique, les produits présents pourraient être purifiés et servir de départ & la mise au point de nouveau médicament en chimiothérapie antimicrobienne. La Vernonia amygdalina par contre est très peu toxique, bien répandue dans nos régions où elles poussent presque spontanément.

Son activité diversifiée, très remarquable surtout en chimiothérapie antivirale et comme antelmintique nous suggère a mettre très rapidement en place une recherche développement visant son exploitation très prochaine même sans devoir isoler les molécules actives. L'on pourrait utiliser son extrait semi- purifié.

A note on the utilization and commercialisation of traditional medicine

E.N. MSHIU,* J.G. SAYI,** & P.M. SARUNGI***

*Traditional Medicine Research Unit
Faculty of Medicine
Muhimbili Medical Centre

**Department of Clinical Pharmacology
Faculty of Medicine
Muhimbili Medical Centre

***Department of Orthopaedics and Trauma
Faculty of Medicine
Muhimbili Medical Centre
P.O.Box 65001
Dar es Salaam, Tanzania

ABSTRACT

Third World countries have no mechanisms to safeguard sovereignty over their genetic resources or for conservation of tropical products and traditional knowledge of the indigenous people. Advances in biotechnology have prompted rapid interest among biotech and pharmaceutical companies to exploit herbs and microbes in the south, as a source of raw materials for new pharmaceutical products.

This paper gives a general review on the utilization and general economic values of medicinal plants world wide.

Introduction

Tanzania has one of the richest vascular flora in Tropical Africa, with over 10,000 species. But most of the species, particularly those with medicinal values, are constantly being threatened as a result of industrialisation, villagisation and other developments.

In the past there have been many instances whereby plants used in the traditional pharmacopoeia of developing countries, such as Tanzania, have been exported and are now available as modern, industrially processed pharmaceutical preparations. In addition, there are many others which, because of their long standing use in traditional pharmacopoeia, are receiving closer attention.

There are also many other plants which have recently been shown to exhibit promising clinical effects, and which could be processed industrially into modern medicines for use in both developing and the more developed countries. Few of such plants are those which can be used as laxatives and purgatives, for example, Cassia absus, C. alata, C. obtusifolia, Tamarindus indica and Phytolacca dodecandra.

Indeed, many species of vascular plants have for long supplied us with excellent drugs such as morphine from papaver somniferum (used as a pain killer), digitoxin and digoxin from Digitalis lanatan and D. purpurea (for treating congestive heart failures), quinine from Cinchona spp. (for malaria), ergotamine (for migraine headache), from Claviceps purpurea and vincristine from Vinca rosea (for treating leukaemia in children). In addition, the natural plant drugs have served as useful prototypes for even better medicines. With the help of synthetic chemists, morphine has become hydromorphine; lysergic acid has been converted to methylysergide; cocaine has yielded procaine; physostigmine has been converted into neostigmine and salicin has been changed into acetylsalicylic acid.

The world statistics

There is no comprehensive world list on medicinal plants and the pharmaceutical products derived from them. However, the national trade statistics of many developed and some developing countries show the contribution to world trade, made by economically important vascular plant-based drugs, and the trend of their contribution. Over 400 botanical products arc marketed internationally. These find applications in a wide range of industries, such as food, cosmetics and pharmaceutical industries.

With regard to the plants used for pharmaceuticals, the imports of the vascular plants into the U.S.A. in 1980 were nearly 34,000 tons worth $78 million. The imports into the European Economic Community were 80,738 tons worth $180 million. The exports from the USA and the EEC in 1980 were, in contrasts, 4000 and 7,300 tons respectively. (Principe, 1989).

The total worldwide imports of medicinal plants increased from $355 million in 1976 to $551 million in 1980. In the Federal Republic of Germany, the imports of medicinal plants in 1979 amounted to 28326 tons, and were worth $56.8 million while imports of medicinal plants to the United States declined from $52 million in 1976 to $44.6 million in 1980. With respect to the domestic market for the plants, the monetary value in the USA in 1981 was $3.912 billion. In Japan, the imports grew from 21,000 tons in 1979 to 22,640 tons in 1980. But the value of those imports declined from $50 million to $48 million (Principe 1989).

The prescription drugs, in contrast, on a world-wide scale, comprised a value in excess of $87 billion in 1984 (in manufacturers prices). That was an increase of about 1.75% over the 1983 figures. The 1985 sales were projected to increase to over $90 billion (in manufacturers prices). In Japan, 13 per cent of the pharmaceuticals found in the 10th edition of the Japan Pharmacopoeia are derived from plants. The demand for these drugs has been increasing over the last decade, but their production only accounts for 1.5% of the total production. In 1984, the sales of traditional medicines in Japan by prescription totalled $227 million (Principe 1989).

In the Federal Republic of Germany, new plant drug preparations, and new plant constituents are continually being introduced into the market by a relatively large number of manufacturers. An interview with women, carried out in the country, showed that 76% of the respondents drank herbal tea for their beneficial effects and about 52% turned to herbal remedies for their initial treatment of minor ailments (Tyler, 1986).

Drug development

The cost of drug development in the U.S.A. is between $50 to 100 million dollars per new product. Because of the high costs involved the activity is restricted to a few of the largest pharmaceutical manufacturers. In the Federal Republic of Germany, the case is different: the smaller companies have the resources needed in innovations pertaining to the plant drug field. This stimulates competition and encourages new product development.

The process of proving whether or not a plant drug is effective and absolutely safe is very costly, a doctrine of reasonable safety should be substituted after clinical trials by general practitioners have given the necessary evidence, and after the experiments have been repeated and the scientific truth verified by the manufacturers and other researchers. In doing so a number of plant remedies will be added to the market, particularly those commonly used for self-medication and those widely prescribed by physicians for minor ailments. But regulatory measures, as now practiced, are still necessary in order to protect public health. Nevertheless these should not be so strict as to discourage and prevent innovative research.

References

Balandrin, M.K., J. Wurteh, E. and W. Bollinger. 1985. Natural plant chemicals: sources of industrial and medicinal materials. Science, 228:1154.

International Trade, Centre UNCTAD/GATT. Markets for selected medicinal plants and their derivatives (undated).

Principe, P. (1989). The economic value of biological diversity among medicinal plants. OECD Environment Monograph. Organization for Economic Co-operation and Development. Paris.

Proceedings of the Workshop on the Pharmaceutical Industry (Combined Modern Traditional Pharmacy) for Promoting Technical Cooperation Among Developing Countries. (1985). UNIDO Technical Papers, /10/R.121 and /10 615: 5-103.

Tyler, V.E. (1986). Plant drugs in the twenty first century. Economic Botany, 40, (3).

Experience on the use of Tanzanian medicinal plants for the last decade (1979-1989)

N.E.N. SHAURI

Director, Operations & Lab. Science Systems
African Medical and Technological Labs &
Stores Services Centre (MED-TECS-LABS Centre)
P.O. Box 204, Lushoto,
&
P.O. Box 3472, Dar es Salaam,
Tanzania

ABSTRACT

This paper highlights on the various methods of herbal therapeutics. It indicates where a herb is administered as an infusion, a decoction, a maceration, a juice, a lotion, a powder etc. It is to be noted that the gathered plants, whether growing wild or cultivated, should be, as far as possible, free of contaminated dangerous chemicals (e.g. DDT). In this paper the author presents the common herbs with their botanical, local, and Swahili names. Be also touches on a few common tropical diseases. A brief classification of herbs and reference to dangerous drug groups, are also given. A note on herbal preparation of insecticides and insect repellents is also provided.

Introduction

Prior to the introduction of the "germ theory" in Europe in the 19th century, homeopathists and traditional healers were brand names in health care deliveries. After this, the beginning of what is called "Western Medicine" took shape and monopoly. That was also the beginning of the belief that because the plants are surrounding us, and they cost nothing, or very little, people could not believe on their efficacy. Traditional healers - cum - herbalists bad never advocated their practices as absolute. Nature is absolute, and even man's intelligence on the use of natural resources does not warrant absolution. A traditional doctor embraces it in his belief that in case of failure to cure a patient, he must refer the patient to a "Western Medicine" doctor, but this is not the case in the vice versa aspect. This appears to be a tendency to declare "oneself" absolute. It is from this angle of perception that a global and intergovernmental clarification should be revisited.

The little information in this paper is not conclusive but is an attempt to show how herbal medicine can develop towards the so- called "Western Medicine". It is not indicative of a change in therapeutic principles, but a modernization of the therapeutic systems of herbal medicine. At this juncture, and for the purpose of this conference, the paper will give some highlights on the use of various plants for treating the common tropical diseases.

Disease diagnosis

I feel it is worth mentioning that my experience in traditional medicine does not reflect the explicit experience of a traditional healer. In most cases, a patient is required to have his blood sample, urine or stool examined at a routine level, in our clinical laboratory. Cases of AFB positive, cultural and sensitivity, and gram smear, are referred to hospitals with a modern laboratory for comments. This concept of healing, I feel, is to be left to the herbs' self pharmacodynamics and only to be catalysed by man's intelligence. It is like in modern medicine: a Doctor "does not" cure, it is the drug that cures, under a Doctor's prescription. So being cured, and being healed are resultant action of man's therapeutics, intelligence on herbs, or drugs.

Furthermore, this paper shall not deal with the manigfaltigen disease causations or disease etiologies, sometimes classified as personalistic etiologies and naturalistic etiologies. However, since the latter is believed to be caused by natural forces, like heat, wind, and cold, or natural conditions, like the imbalance of basic body nutrients and elements, it is vivid that the paper shall deal with it. In that, after diagnosis, the answer to the question "what", and sometime "how" is answered.

The question of "who" caused the disease (personalistic etiology) is, therefore, uncalled for. Nonetheless, it would appear too unpluralistic not to unveil the fact that I have met many times cases of personalistic etiologies in the community. These etiologies ranged from godly punishments, vague evil forces, witchcraft, evil spirits, to even hereditary malpractices of ancestors' disciplines. I, therefore, admit that in this line, I have not gathered any experience nor administered any pattern of health care utility, save a few placebos when the family of the patient unveils the causation, as having been due to hereditary malpractices of ancestor disciplines.

Storage requirements and expiry dates

The importance of correct adherence to proper storage facilities - cum - requirements does not need to be overemphasized. While it is explicitly clear for modern drugs to have their manufacturers's dates and thereafter their expected expiry dates, the case is complicated in herbal medicines. One was tempted to take the time of correct harvesting of the herbal medicine as the date of "manufacture", in comparison with modern medicines. That means the "manufacturer's" date in herbal medicine starts off at the time when the plant parts away with its herbal portion. But when it comes to herbal properties embodied in fruits, it is when the fruit is ripe, and, therefore, ready for use. In some fruits like bananas and pawpaws, it does not take too long before over- ripening and decay.

For some nuts, it is better to take the time it has dried properly as the date to start with. Similarly, the bulbs of onions are taken to be ripe and ready for use when they are dry. But here again, it does not take too long before regermination.

The packing of drugs for better and proper storage to enhance the required (longer) expiry dates, is not a manner of only modern pharmaceutical drugs manufacturers. Traditional practitioners have known this for quite a long time. Herbal medicines have been stored in various sizes of gourds, earthenware pots, and when necessary, even in porcelain. Although there was a concept of "secretising" the herbal values, the main reason was also to keep it "air tight", and free from direct sunlight. The earthenware pots were ideal for burning some herbs to ashes without the danger of cracking the pot as a result of heat. Even in the ultimate storage, it is easier and more convenient to pour the powder ashes from a little opening. This is important, especially when several herbs are required to be mixed at very small ratios.

It is also known that keeping herbal drugs in such containers makes them free of moisture and unnecessary heat. A further element is of cultural expression. These containers are not expensive, and are easy to make. They are also useful for depicting culture and traditional capability. Such containers include baskets made of coconut plant leaves, bags made of animal hides and sea shells, to mention but a few. The more "dangerous" the drug is, a much more durable the container that is used. In this way herbal drugs could be kept in forms of liquid, powder, or solid.

The expiry dates of herbal medicines very much depend on the types of herbs, the duration of preparation before use, and the quality of storage against water, heat, or direct sunlight (where it is not required). Herbal medicines decompose easily when in "contact" with these conditions.

It is presumed that the expiry dates of herbal drugs in powder form is shorter than the same drug stored in the form of a bark, or as seed. Still longer is when the same drug is kept "intact", with the piece of plant itself. Herbal drugs from green plant leaves, do not stay long unless the prescription calls for the use of dried leaves. It is recommended that when a mixture of herbs is required, some in form of roots, barks, and leaves or flowers, leaves and flowers should be harvested last, preferably on the same day of preparation and use.

Examples of medicinal plants and the diseases they cure

1. Pears: Pyrus communis (local name: mapeasi)

These are used to treat diuretic and urinary complaints. The medicine is prepared from an infusion and decoction of barks, leaves, or flowers, either of one or of all leaves, dried in the shade. The quantities are as follows: 100 g to 1000 ml of water. The decoction is allowed to set for 15-30 minutes, and dosage administered is 200-250 ml t.d.s. for adults, and 50-100 ml t.d.s. for children over 5 years. This is for a period of 2 - 3 days.

2. Apples Pyrus malus

These are used to supply the body with vitamins, sugars, enzymes and minerals. They are also used for the treatment of rheumatism, gout, liver and kidney diseases. They are also used as a laxative, as a stimulant and for the constriction of distended blood vessels. The parts of the plants which are used are leaves, flowers, buds and barks which are dried in the shade.

When eaten (1.0 to 1.5 kg a day) the fruits are good for the digestive system, the liver, and the kidneys. When prepared as a medicine, the infusion and decoction is prepared from leaves, flowers, buds and bark (150 g to 1000 ml of water). The decoction is allowed to set for 30 minutes and the dosage is 200 - 250ml bid or tds for adults, and 50 - 100 ml bid or tds for children. The infusion of flowers alone is good for sore throats and coughs, and is administered for two days.

3. Cabbages: Brassica oleracea

The plants are used to make a decoction for the treatment of cirrhosis of the liver, dysentery, upset bowels, and also as a vermifuge. They are also used as a decongestant, for treating tonsillitis and the loss of voice. In their use as a vermifuge the juice of the plant is squeezed through fine cloth. The dosage is 15 ml tds for children and 30 ml tds for adults. When used as a decongestant, squeezed syrup of the plant extract is heated up with an equal amount of sugar and honey, and then left to cool. The dosage used is 15 ml tds for children and 30 ml tds for adults. When preparing a decoction for use as a purifying agent 2-3 large leaves are placed in 1000 ml of water and the decoction is allowed to set for 30 min. to 1 hr. The dosage is 200 ml tds for adults and 50 - 100 ml tds for children.

4. Carrots: Daucus sativus

The plants are used to supply the body with Vitamins A, B, C, D & E. It is used to treat anaemia, general weakness, scurvy, etc. It also has antidiuretic properties, and is also a vermifuge. It is administered as a decoction, as a juice and as a syrup as described above. The dosage for adults and for children is as indicated above. For treating ulcers, burns and eczema a pulp is prepared of four carrots in 1000 ml of water. A further dilution may be necessary for burns. Then a hand-bath, or a foot- bath, etc. is administered. The frequency recommended is three baths per day.

5. Eucalyptus: Eucaliptus globulus

The plant is used as an antiseptic; for the treatment of asthma, bronchitis, tonsillitis, colds, urinary troubles and hemorrhages. It is used as an infusion and as a decoction of leaves. 100 g is broken, dried leaves are added to 1000 ml of water. The decoction is allowed to settle for 1/2 hrs. The dosage applied is 200 ml tds and 50 - 100 ml tds for adults and children, respectively. When used as a powder, 15-20 g are added in a cup of tea or in honey, on bread, or on tablespoon, once daily, for asthma and bronchitis. For external use, 100 g are added to 1000 ml of water and applied as foot-hand-hip-baths, as dressing lotion, and enema.

6. Lemon: Citrus medica, Citrus limon

The plant is used as a sedative, as a tonic, as a vermifuge, as antispasmodic, as a diuretic substance, and for the supply of vitamins A, B, B2, and C. In its use, 100 g of dried leaves are added to 1000 ml of water, and the decoction is allowed to set for 30 min.

The dosage for adults and children are stated above. For external use, and as a gargle, the juice of one lemon is added to 1000 ml of water. For use in treating acid stomach, the juice is mixed with honey, or with water, at one lemon to 2000ml. When used as a vermifuge one lemon juice is mixed with castor oil instead of water, at a proportion of 1 lemon juice to 15 ml of castor oil. Please note that lemon is not highly recommended for patients or people with gout, rheumatism, and kidney problems because of the acidity of its juice.

7. Maize: Zea mays

The plant is useful as a sedative and also as a diuretic. It is also useful in easing pains of renal colic, bladder stones, cyctitis, gout, and rheumatism. In its use an infusion of maize tassels (about 1000 ml of water) is prepared. The dosage recommended is four cupfuls a day (adult). For external use one half of such a quantity is added to 1000 ml of water. This is added to the painful area (same for foot and hand baths).

8. Onions: Allium cepa

These are used for treatment of diuretic, antiscorbutic (rich in Vitamin C), and antidiabetic (has glucoquinone that lowers blood sugar level). It is also useful as a vermifuge and as an antiseptic. Furthermore, it has aphrodisiac qualities, and is therefore good for impotent people. In its use an infusion of two large onions (sliced) in 1000 ml of water is administered. This should be all in one day. It is also useful as an antipoison. In this use it is prepared as above, but it is taken for 3-4 days, consecutively. When used as a vermifuge, 4 to 5 onions are treated with 1000 ml of water and sweetened with honey (as it boils). The dosage recommended is 200 - 300 ml tds for adults. For the treatment of diuretic cases 4 large crushed onions are mixed with 1000 ml of white wine, and then 100 gm of honey are added. The mixture is allowed to set for 14 days. The dosage recommended is 15 ml tds for adults. Onions can also be prepared for tinctures, poultices, juices, foot baths, and hand baths, and also for ointments.

9. Artemisia afra (Fivi)

This is used as an antimalarial. For its preparation, green or dried leaves are boiled for 20 minutes. Alternatively a powder of dried leaves is placed in a hot water decoction for 15 minutes and filtered with clean cloth. The dosage recommended is 100 ml tds for adults, and 15 to 20 to 40 ml tds for children over 5 years. If in powder form, 1 tablespoonful is added to 100 ml of a hot water decoction. At home a child may need a body-bath of 1/2 cup of powder, to 1 bucket water b.d. For patients used to drinking a lot of water these may be given sugarcane juice, or water sweetened with sugar. An hour after the administration of the treatment, the patient's temperature may rise, and, therefore, there may arise a need for a tepid sponge.

10. Aristolochia densivenis (Unkulwe)

The plant is used for the preparation of antisnake bite antidotes. It is thus a source of a snake venom antidote. For the administration of the First Aid, the snake's teeth are taken off the bitten area of the body. The patient is then tied tightly 15 cm upward from the bitten spot. For the preparation of the plant extract a 1/4 of teaspoonful of the powder of the plant, or the corresponding piece of bark, root chew, and swallow saliva, is mixed with one tablespoon of water. The chewed stuff is then taken to the bitten spot. The area is then bandaged, and the patient is taken to the hospital. The patient may need much water and even vomit a tittle.

For a poisoned stomach (food poisoning), 3/4 cu cm of a piece of bark or root is chewed quickly and swallowed with much water (2-3 glasses). In this treatment the patient may vomit the poison immediately. He may also purge. The patient should use fatty soups, and soft foods for 3-4 days. He should also visit the hospital.

11. Warburgia ugandensis (Mlifu), Ocotea usambarensis (Kulo), and Myrica salicifolia (Mshegheshe)

These plants are used for treatment of rheumatic and spasmodic patients. For Warburgia and Ocotea the part used is the bark. For Myrica it is the root. In the preparations, the barks and roots should be mixed in equal quantities, 1:1. The mixture is pounded to a powder. The dosage recommended is 5 ml to 100 ml of hot soup tds, and the treatment is continued until the patient feels better.

During and after the therapy the patient should use protein-and carbohydrate-rich foods. He should also not be subjected to fatigue. If the drug is to be used by a number of patients, and also for longer days, the mixed powder should be made to suffice for 4 weeks. The other remaining drug should be kept intact with the bark or root and should be powdered only as, and when required.

12. Deinbollia borbonica (Mbwakambwaka), Ximenia caffra (Mtundwi), and Balanitbes aegyptiaca (Mkonga)

These plants are useful for the treatment of hernia. For all of them it is the root which is used. In their preparation, the roots are taken fresh or dry. 7.5 cm pieces are cut into and 4 -5 smaller pieces, boiled with beef bones for 1 hr, and allowed to cool, but not to get cold. On the dosage, 100 ml of the mixture at tds are administered for 4-5 days.

Each of the plants above can be prepared separately. In each case the patient should not be subjected to fatigue; he should not drink much water; he should not be subjected even to light duties which will require him to bend for longer periods; and he should visit the hospital.

13. Acacia schweinfurthii (Kerefu-mzitu), Cassia didymobotrya (Muinu)

Roots of the plants are useful for the treatment of asthmatic patients. In the preparation of the plants for medicinal use, the roots are pounded separately. 200 g extracts of each plant are mixed with 20 g of pounded salt. On the dosage, 1 teaspoonful of powder is chewed and swallowed. This is administered for 2-3 days, or even longer. For children 1/4 teaspoonful is used, also for 2-3 days.

It is also recommended that the patients should avoid alcohol and smoking. They should stay in well ventilated rooms, and should avoid cold water, both for body wash or for drinking. Additionally the patients should not be subjected to fatigue; and their food should also contain no pepper. Their tea could be sweetened with honey, if possible, instead of sweetening with industrial sugar.

14. Abrus precatorius (Lufyambo)

The plant is used for treating impotence (for males). For its preparation, roots of the plant are dried in the shade, ground to a powder, and mixed with a powder of pound salt. The mixture is chewed and swallowed. The treatment is administered for 3 to 4 days.

It is also recommended that the patient could use dried ground nuts and drink a lot of water. The patient could also use much onion salad, and/or an onion decoction. The patient should also eat protein - rich foods. Wherever possible he should also "discourage" the feelings of impotence.

15. Plants used as insecticides and repellents

In an experiment done at Lushoto early in 1986, during the outbreak of plague in the district, the following herbs were found to be effective against fleas. These could thus find application as insecticides:

(a) Derris elliptica: The active part of the plant is the root tuber. A powder is extracted and used to prepare an effective liquid.

(b) Tephrosia vogellii: The active parts of the plant are the green stems, the leaves, and the seeds. These parts of the plant are used to prepare an effective liquid extract.

(c) Neorautanenia mitis: The active part of the plant is the tuber. The tuber is processed into a powder, and this is subsequently used to make an effective liquid extract.

(d) Nicotiana tabacum: The active parts of the plants are the leaves and the young shoots. These are also used to make an effective liquid extract.

Some plants are also effective as insect repellents. These include:

(a) Ocimum suave (Msubasha): The effective parts are the leaves.

(b) Lippia javanica (Mvuti): The effective parts are the leaves.

(c) Cinnamomum camphora (Camphor Leaves): The effective parts are also leaves.

The preparation of the insecticides from the tobacco leaves is as follows:

1/2 - 1 kg of cured tobacco leaf or waste are placed in 2 gallons of water. This is boiled and allowed to simmer for a while. The accrued liquid, after straining, may, if not too strong, be used straight for spraying or it may be slowly diluted with water, until it is of the desired strength.

In order to make it more effective 30 ml of soft soap are added to each gallon of emulsion.

The preparation of tobacco smoke can be effected as follows: tobacco, or pieces of paper steeped in tobacco liquid extract, are burnt without a flame. Each of these plant parts may be used as fumigants, by the method of burning without a flame, in houses infected by fleas just as in tobacco smoke.

Classification of Herbal Drugs into Dangerous Drug Groups

The classification of drugs is not one man's job. This section is just an indication of an attempt to draw peoples' attention that there are dangerous herbs "in the market", which attain similar levels of danger as dangers inherent in modern medicine.

Discussion

As has been mentioned before, this paper has attempted to document traditional experiences. It does not, in any way, depict substantial research findings on herbal medicines. It is also worth noting that most of the herbs included are those practised on the Usambara Mountains, and to a certain extent also the Amani Mountains, in Muheza District, Tanga Region.

The herbs as contained in this paper are just a few of the many herbs used in these areas. On the issue of conserving, planting, and the furtherance of research, for example to the extent of planning four herbal pharmaceutical industries, centres like the East African Silvicultural Institute at Lushoto and the National Institute for Malaria Research at Amani, should be put to task, in collaboration with The Traditional Medicine Research Unit of the Muhimbili Medical Centre, Dar es Salaam. It is my sincere hope that the analysis of herbs made on this paper, could be a small, but significant pointer on the way of systematically itemizing herbal drugs and their various uses in the country, i.e. in the different ethnic tribes of the United Republic of Tanzania. Such a strategy can only be achieved through countrywide teamwork. The further aim of itemizing the herbal drugs with their botanical names, is that when it comes to global collaboration and co- ordination, it should be easier for any country to explore the herbal therapeutics of one plant used in different ways, in different countries. When such a co-ordination shall have been "fully" accomplished, then we could think about establishing a "global" Herbal Pharmacopoeia. I wish such a dream to come true, as we enter the year 2000.

A comparison of the status of medicinal plants development in Africa with selected parts of the world

ABAYOMI SOFOWORA

Obafemi Awolowo University
Ile Ife
Nigeria

ABSTRACT

Tropical countries of Africa, Asia, Latin America and developing countries of the South have more than 200,000 plant species out of 300,000 plant species available on earth. Because of inadequate health care, people in developing countries die daily of preventable and curable diseases associated with malnutrition.

As a result of the deplorable economic and health status of man in Africa, there is a need for re-evaluation and maximisation of potentials, such as, medicinal plants and other natural resources, for the alleviation of diseases and improvement of nutrition and sanitation.

In this paper a call for the production of plant derived drugs in the countries of the South is advocated and a recommendation is made to establish an international organization for the South to coordinate activities related to:

· exchange of information on medicinal plants;

· promoting and protecting the interest of the Southern countries in the world medicinal plants market;

· and arranging for the production of drugs from medicinal plants for certain uncommon or non-Western tropical diseases, etc.

Introduction

More than 200,000 out of the 300,000 plant species on the earth are in the tropical countries of Africa, Asia, Latin America and the developing countries of the South, whose experts are gathered together for this meeting. The developing countries also share a number of other things in common that are relevant for our consideration. The developing countries are characterised by extremely limited resources, poor communication, vast distances, individual and community poverty, etc. These factors act upon one another and leave the developing countries in a perpetual state of poverty. Because of inadequate health care measures, people in the developing countries die daily of preventable and curable diseases, often associated with malnutrition.

While per capita income for man in Africa, for example, is of the order of $100 (in Mozambique) to $360 (in Kenya), the figure is from $19,380 (for U.S.A.) to $27,000 (for Switzerland).

The life expectancy at birth in Africa (as at 1988) is equally discouraging: 42 years for Guinea and Sierra Leone, compared with 75 years for U.S.A. and 78 years for Switzerland. This deplorable situation of the economic and health status of man in Africa, calls for a re-evaluation and maximisation of potentials like medicinal plants and other natural resources for the alleviation of disease, and improvement of nutrition and sanitation.

Since the 1968 meeting of the OAU/STRC on medicinal plants of Africa, held in Dakar, Senegal, and several African countries have started screening their medicinal plants for biocactive principles such as antimicrobial, antihelmintic, antihypertensive, antisickling, antiviral, antimalarial etc. The structures for the bioactive compounds (e.g., Khalid et al.,) from the plants have been characterised in many cases, but in some cases, compounds of interesting organic structures are still being isolated and characterised without any link to the biological activity reported in the plant (e.g. Fakunle et al., 1989; Boum et al., 1989).

The status of drug production from medicinal plants in Africa

Drug production from plants in Africa is definitely at a negligible stage Apart from Egypt, most of the other countries in Africa still depend on imported synthetic drugs, while only a few produce up to 20% of the drugs they need locally. In fact, in the case of Nigeria, as much as U.S. $3 m worth of laxatives were imported in 1977 alone, when several plants with laxative properties grow in that country and are prescribed regularly by traditional healers for their patients.

One of the problems hindering the production of drugs from plants in Africa, was the absence of a continent-wide pharmacopoeia, to control the quality of medicinal plants to be used in such drug product and in trade. For a long tune, Egypt has had its own Egyptian pharmacopoeia which contains a host of medicinal plants, their uses, dosage and pharmaceutical formulations. An African pharmacopoeia describing about 100 medicinal plants, their uses, dosage, pharmaceutical preparations, and specifying standards to be met by commercial samples, was produced in 1985 and 1986 by the OAU/STRC in two volumes. Volume 1 contains monographs of the plants, while volume 2 contains the methods of analysis and quality control to be applied. Other problems hindering drug production from plants in Africa are lack of appropriate machinery, expertise in such techniques, and, of course, finance.

In an effort to remove these problems, the African Biosciences Network (ABN) has put up a proposal to the UNDP for funds to cover a two-phase project to stimulate drug production from plants in Africa. Phase 1 is to gather information on the existing facilities for drug production in African countries; locate expertise already available, and set up a data bank which will be used in phase 2 by consultants, that will mobilise the resources to initiate three pilot drug production projects in three regions of Africa. The actual production of simple extracts, powders, tea bags and essential oils from plants in these three model centres will enable consultants to convince other African governments and entrepreneurs to invest in drug production from medicinal plants in Africa. That project proposal is still being considered by the U.N.D.P.

Part of the phase 1 exercise was completed for Africa by a group of experts under the aegis of the Economic Commission for Africa (E.C.A.) in Addis Ababa in 1989. An E.C.A. document resulting from that exercise was published in March 1989 (document No. ECA/IND/CHM/003/8a) titled "Technical publication on the application of research findings in the development of pharmaceutical industries on the basis of indigenous raw materials". This document gives, among others, flow charts for processing medicinal plants to simple dosage forms; it gives the scales of production suited to African conditions and needs; description of processes; quality control; specification of major equipment required; as well as an analysis of manpower and investment requirements. The design of two simple extraction units were also provided by UNIDO in the document. A list of African medicinal plants that yield active principles and/or intermediates is provided, along with a list of medicinal plants recommended for commercialisation. A list of institutions conducting research and development in Africa on medicinal plants is also provided.

Unfortunately, like many useful publications needing only exploitation, few African countries will actually take the bold step to produce drugs from plants, as simplified in this document, unless there is some constant external prodding by consultants or experts. This is why the A.B.N. proposal to U.N.D.P. is still so vital for the realisation of large scale production of drugs from medicinal plants by African countries.

The little effort being made to produce drugs from plants and to set up cultivation trials by Rwanda, Kenya, Tanzania, Ghana and Madagascar are worthy of praise and should be encouraged.

Although some 55, 000 species of plants (including the 10,000 or so which are endemic to Madagascar) exist in Africa, these have not been developed or cultivated to any appreciable extent for drug production.

Medicinal plants and drug production in Asia

My experience after travelling to India and China is that, we in Africa are still lagging far behind in the field of medicinal plants development. For years, India and China have produced drugs from plants, and it is difficult to differentiate a package of a plant-derived drug, from that of a synthetic drug coming from China, in terms of the quality of the finished product.

Large scale plantations of medicinal plants that exist in India and China have an organised collection system by the rural dwellers for plants growing wild on the mountains. These collection systems supplement the cultivation plantations, and help to keep the large scale manufacturing machines going, on rotational basis, for the production of the various plant drugs.

In April/May 1989, an Indian trade mission went to the European Economic Commission (E.E.C.) in Brussels, in connection with the impact of 1992 on the medicinal and aromatic plants and pharmaceuticals from India. India's efforts with the E.E.C. in Brussels is a good forward looking move, especially as that country's plant-derived drugs also meet standards required abroad. China already exports large quantities of medicinal plant products, either in the form of the crude plants, purified extracts, or active principles isolated from plants.

African countries can benefit from a cooperative effort with India and China, for the development of medicinal plants in Africa, by obtaining expertise on the preparation of liquid extracts, dry extracts, tea bags and other simple dosage forms of presentation of medicinal plants in standardised form for the population. Cheap equipment for processing plants, appropriate technology and expertise, can be acquired through a South-South collaboration among developing countries which I hope will be evolved at this meeting. 1992 will come and E.E.C. will be stronger. It is necessary for the developing countries to plan now for modalities for a southern solidarity, in the exploitation and exportation of medicinal plant products.

Recommendations

There may be need to set up a small organisation among the developing countries of the South to specify standards and control measures. Plant products that are already commercial products in some Southern countries, but which plants do not grow in Africa, should be imported for prevalent African diseases, while Africa exports purified or finished products of its own plants to the other southern countries and the developed world.

Such an organisation can help to prevent a situation that was once proposed, that Africa should produce plenty of spices for export because Asia is making plenty of money from the same trade. If Africa were to produce the same spices, the situation will be disastrous for Asia and, eventually, for Africa also in the long run. However, a coordinated effort, through an international organisation for the South, can take care of the following points:

(a) Information exchange among the southern countries producing medicinal plants.

(b) Harmonisation of tariffs where similar products are made.

(c) Removal of geographical trade barriers.

(d) Promoting and protecting the interest of the southern countries in the world medicinal plants market.

(e) Promoting solidarity in bargaining.

(f) Encouraging partial purification of the plant extracts rather than selling raw materials only. This is because it has been shown by U.N.I.D.O that prices increase ten-fold just by selling a purified extract instead of the raw plant.

(g) Encouraging the development of machinery for processing medicinal plants at village level.

(h) Arranging for the production of drugs from medicinal plants for certain uncommon or non-western tropical diseases, e.g. orphan drugs. The development of drugs for tropical diseases may not be pursued vigorously by the multinationals.

(i) Ensuring that many countries of the south are not producing and selling the same drugs, as this will flood the market.

(j) Ensuring diversification.

(k) Arranging for periodic meetings of member countries to exchange experiences, compare notes, review progress and plan strategies for the future.

Expérience du Burkina Faso en matière de pharmacopeé traditionnelle

JEANNE-MARIE THIAMBIANO

Ministère de la Santé et de L'action Sociale
Secrétariat Général
Direction des Services Pharmaceutiques
Service de Pharmacopée Traditionnelle

Généralité

Données géographiques

Situé au coeur de l'Afrique Occidentale, le Burkina Faso est un pays complètement enclavé sans accès direct à la mer. Il est limité à l'Est par la république du Niger, a l'Ouest par la Côte d'Ivoire, Au Sud par le Ghana, le Togo, le Benin et au Nord-Ouest par le Mali.

Le territoire couvre une superficie de 274 000 km2 avec une population estimée à 8,600,000 habitants en 1988.

Caractéristiques démographiques

La densité de la population est de 31 habitants/Km2. La population Urbaine est faible: 12 % 88 % des burkinabè vivent en zone rurale. La population est jeune: 42,2 % lout moins de 15 ans.

Le taux de natalité est de 49,9% et la mortalité infantile est élevée . 134 % tandis que le taux de mortalité brute est de 24%.

Le taux d'accroissement annuel de la population est de 2,68 %.

Structures administratives

Le pays est divisé en 30 provinces, 300 départments et 7285 villages. Cette structuration relevé du Ministère de l'Administration Territoriale.

Aperçue de la situation sanitaire La situation sanitaire est dominée par:

· Les problèmes d'assainissement et de fourniture d'eau potable
· L'insuffisance quantitative et qualitative de la couverture sanitaire
· La persistance des maladies épidémo-endémiques dû à un bas niveau socio-économique et qui restent les causes d'une mortalité encore élevée surtout chez les enfants (134%).

Pour palier à ce fléau, l'Etat Burkinabè a entrepris de campagnes de vaccination dont:

· L'opération "vaccination commando" en 1984
· L'opération "portés ouvertes sur les vaccinations" en 1988
· L'opération "vaccination au quotidien" en 1989.

Ces opération permis de vacciner en peu de temps un nombre important d'enfants. Il a également entrepris d'autres actions plus permanentes telles que l'institution des postes fixes de vaccination et la création des postes de santé primaires (PSP) dans les villages. Tout ceci à permis d'améliorer la couverture sanitaire.

Politique sanitaire national

Objectifs

La politique sanitaire est basée sur les soins de santé primaire avec pour objectif la "santé pour tous d'ici l'an 2000". Pour ce faire, un plan sanitaire pour la decennie 1980-1990 a été élaboré, et ce plan prévoit la maîtrise des principaux problèmes de santé de la communauté. Pour y parvenir, des actions de promotion de soins curatifs et de réadaptation dans des infrastructures fonctionnelles avec l'équipement et le personnel nécessaires sont à mener.

Compte tenu des réalités à savoir que ce plan échappe aux possibilités financières du pays, il y à eu une révision qui tient compte des priorités sanitaires sur le plan national. Les grandes lignes du plan s'articulent autour des points suivants:

· L'exécution et le développement des programmes de contrôle des maladies transmissibles endemo-épidemiques

· Le développement des services de santé de base surtout la santé maternelle et infantile

· La formation et le perfectionnement du personnel paramédical dans le domaine de la santé publique et du contrôle des endemo-épidemies.

Dispositif

En vue de pouvoir répondre aux objectif de la politique nationale sanitaire, un système pyramidal de santé a été préconisé et structuré ainsi:

De la base au sommet on a:

· ESSA: Ecole Supérieure des Sciences de la Santé
· MS-AS : Ministère de la Santé et de l'Action Sociale
· H.N. : Hôpital National
· CHR : Centre Hospitalier Régional
· C.M : Centre Médical
· CSPS : Centre de Santé et Promotion Sociale
· PSP : Poste de Santé Primaire.

Politique pharmaceutique nationale

L'insuffisance de la couverture du territoire national en médicaments est un des handicap majeurs pour la mise en place effective des soins de santé primaires du Burkina Faso. Aussi la politique pharmaceutique nationale s'est fixé les objectifs suivants:

Objectifs généraux

· Metrre le médicament essentiel à la disposition de la population à un coût abordable et de façon permanente

· Améliorer la gestion des médicaments dans toutes les structures sanitaires en vue d'une utilisation rationnelle des ressources affectées à l'approvisionnement sanitaire.

· Instituer et developper la production nationale en y integrant les recettes de la médecine et la pharmacopée traditionneles.

Objectifs spécifiques

· Evaluer et essayer de satisfaire les besoins des formations sanitaires publiques en médicaments essentiels et matériels téchniques.

· Sélectionner les médicaments jugés essentiels au Burkina Faso.

· Surveiller les effets des médicaments mis sur le marché avec l'aide des compétences nationales et internationales.

· Contribuer à la lutte contre l'abus et le trafic illicite des drogues.

· Exploiter et mettre à la disposition des usagers toute information ou documentation relative aux produits pharmaceutiques

· Promouvoir la pharmacopée et médecine traditionnelles.

Les moyens

Dans le souci de pouvoir atteindre tous ces objectifs un certain nombre de dispositions ont été prises à savoir:

· Création d'une direction des Services pharmaceutiques (DSPH) comportant un service de pharmacopée et médecine traditionnelle. Cette direction a pour mission de veiller à l'application de la politique pharmaceutique nationale.

· Création d'une société nationale d'approvisionement pharmaceutique (SONAPHARM) en 1985 qui joue le rôle de grossiste de l'Etat et qui doit permettre d'avoir le médicament à un prix abordable.

· Mise sur pied d'un laboratoire des médicaments du Faso (MEDIFA) en 1989 qui produits des solutés (sérum salé et glucose). Dans le même ordre d'idée on a également l'IRSN (Institut de Recherche sur les substances naturelles) créée depuis 1978. Il relève du Ministère des Enseignements Supérieur et contribue dans une certaine mesure à la production locale et à la promotion de la médecine et pharmacopée traditionnelle.

Politique du Burkina Faso en Matière de Pharmacopée Traditionnelle

Justifications

Malgré la création de la Sonapharm en 1985 qui a permis de baisser les prix de certains médicaments, le budget de l'Etat supporte difficilement la demande en médicaments de premières nécessité dans les formations sanitaires. Aussi, la nouvelle politique d'approvisionnement en médicament est contrainte de s'orienter uniquement verse les médicaments d'urgence.

Le coût des autres médicaments doit être forcement supporté par les populations. Et malgré les efforts déployés par l'Etat le prix du médicament reste toujours élevé compte tenu de la situation embryonnaire de la production nationale. Aussi la majorité de la population Burkinabè qui a un faibre revenue se tourne vers la tradimédecine.

Historique

Au Burkina Faso, la médecine et la pharmacopée traditionnelle ont connu 4 grande périodes historiques:

· l'époque précoloniale
· l'époque coloniale
· l'époque néocoloniale
· l'époque révolutionnaire

L'époque précoloniale

A cette époque la médecine traditionnelle était totalement sous la responsabilité des tradipraticiens dispersés dans tous les villages. Parmi eux il yavait aussi bien des généralistes que des spécialistes (rebouteurs, gynéco-obstétriciens, etc...). Leurs activités étaient pratiquement secrètes entièrement privées, empreintés d'humanisme et s'exerçaient à titre gratuit.

L'époque coloniale

On assiste a une interruption brutale de l'évolution de cette médecine avec l'arrivée du pouvoir colonial qui interdisait la pratique soit disant que la médecine "civilisée" de la métropole était bien supérieure. Mais cette tentative fut vaine car plutôt que de disiparaitre, cette médicine traditionnelle est entrée dans la clandestinité.

L'époque néo-coloniale

Débutée avec l'indépendence formelle de 1960 à cette période s'instaure une tentative de codification. On assiste à l'élaboration de textes timides et imprécis quand aux droits d'exercise des guérisseurs. Ceux-ci n'avaient pas encore acquis une considération véritable de la part des pouvoirs locaux.

L'époque révolutionnaire

Après l'avènement de la révolution d'Août 1983, la médecine traditionnelle burkinabè sort de sa lethargie. Le pouvoir est ouvertement favourable à la participation des tradipraticens a la résolution des problèmes de santé des populations en vue de pouvoir atteindre l'objectif "santé pour tous d'ici l'an 2000". Mais la médecin traditionnelle, pour participer efficacement à ce défi doit s'adapter à la mouvance du temps et des connaissances. Ceci a justifié la déclaration du Ministre de la Santé et de l'Action Sociale à l'ouverture du 1er séminaire National sur la médecine et la pharmacopée Traditionnelle le 16 Novembre 1987:

Le combat que nous avons engagé pour redonner confiance a notre peuple dans le domaine de la santé publique ne doit pas se contenter de contempler le passé, mais travailler à donner a cette richesse médicale, une valeur scientifique confirmée".

Depuis 1984 une collaboration progressive entre les deux médecines est grandement développé. Le Gouvernement ne cesse de favoriser l'exploitation de la médecine et de pharmacopée traditionnelle.

Actions d'envergure

Les actions ont pu être menées grâce à un certain nombre de facteurs.

Facteurs favourables

(a) Création d'un service de pharmacopée traditionnelle au sein du Ministère de la Santé et de l'Action Sociale et plus précisément au sein de la DSPH (Direction des Services Pharmaceutiques).

(b) Développement de l'IRSN (Institut de Recherche sur les Substances Naturelles) Le service de pharmacopée traditionnelle créé en 1984 avait pour mission de:

(i) Promouvoir les relations avec les tradipracticiens en vue d'une bonne collaboration dans le système national de santé

(ii) Collecter et exploiter tous les moyens disponibles en vue d'élaborer une pharmacopée locale.

(iii) Organiser et coordonner toutes les activités de la médicine et pharmacopée traditionnelle au niveau national

Actions menées

Les actions menées peuvent se mesurer à travers:

· La création de cellules pharmacopées
· Les symposiums de Farako-bâ
· Le 1er séminaire national sur la médecine et pharmacopée traditionnelles
· la création d'association de tradipraticines
· le renforcement de certains services de pharmacopée
· les journées portes ouverte sur "plantés médicinales et pharmacopée traditionnelle au Burkina Faso.

Création des cellules pharmacopées

Au niveau de toutes les provinces, il a été demandé en 1985 la création des cellules pharmacopées.

Composition:

La cellule pharmacopée se compose comme suit:

· Un président qui est le plus souvent le pharmacien provincial
· Un vice-président
· Un secrétaire et son adjoint
· Un trésorier et son adjoint
· Deux commissaires aux comptes
· Des conseillers téchniques.

Notons que tous ces membres ne sont pas uniquement de la santé. On peut y trouver des agents d'autres Ministères tel que l'Environnement et Tourisme, l'Agriculture et l'Elevage etc...

Mission:

La cellule avait pour mission:

· De formuler clairement certaines recettes traditionnelles simples en vue de leur exploitation
· Superviser et coordonner toutes les activités de médecine traditionnelle au niveau provincial.

La cellule était la représentation de la DSPH dans la province. Toutes ces actions devaient concourir à l'objectif global qui est l'épanouissement de la médecine et la pharmacopée traditionnelle.

Difficultés rencontrées

Les cellules ont plus ou moins bien fonctionné au début. Mais par la suite elles ont été confrontées à un certain nombre de problèmes dont:

· Problème de matériel pour réaliser les recettes

· Problème financier pour le démarrage effectif des travaux (collecte des plantes, achat de matière première etc...)

· Problème de réglementation. Certains tradipraticiens voulaient des cartes ou des autorisations d'exercer leur fonction

· Réticence de certains tradipracticends dans la livraison de leurs recettes.

Pour résourdre le problème de matériel, le Gouvernement Burkinabè a essayé de doter chaque province d'un matériel de base simple tel que tamis, casserole, filtre à eau etc... pour leur permettre de réaliser quelques recettes simples.

Mais pour ce qui est de la délivrance des autorisations d'exercer, le refus des autorités sanitaires fût catégorique compte tenu des mauvaises expériences que certains pays tel que le Mali avaient vécu.

Impacts

La création des cellules pharmacopées au niveau des provinces à permis un début de collaboration entre médecine moderne et traditionnelle et un contact avec les tradipracticiens.

Objectif de ce séminaire

Réunir tous les spécialistes des services concernés afin d'élaborer ensemble un plan d'action national pour la promotion et le développement de la médecine et pharmacopée traditionnelles au Burkina Faso.

Impact

Ce séminaire à permis:

· Un enrichissement des connaissances en matières de médecine et pharmacopée traditionnelle par l'expérience des autres pays (Mali, Togo)

· Des propositions intéressantes qui ressortent dans les recommandations sur trois niveaux.

1er niveau: exercice de la médecine et pharmacopée traditionnelle

· L'amélioration des conditions de travail des tradipracticiens (alphabétisation)
· L'élaboration des texts et création des associations des tradipracticens.

niveau: La promotion de la médecine et pharmacopée traditionnelles

· Utilisation de la média pour faire connaître et apprécier la médecine et pharmacopée traditionnelles du Burkina Faso.
· Introduction des notions de base de la médecine et pharmacopée traditionnelles dans les écoles de santé.

3é niveau: La réglementation de l'exploitation et la production des plantes médicinales

· Création de centre de culture de plantes médicinales dans chaque province
· Réglementation de l'exploitation et de l'exportation des plantes médicinales au Burkina Faso.

Une conséquence importante de ce premier séminaire qu'on ne saurait oublier est la création d'association des tradipracticiens.

Création d'association des tradipraticiens

Esprit

La création de ces associations était faite pour concrétiser la recommandation du 1er séminaire national dans le cadre de l'exercice de la médecine et pharmacopée traditionnelle.

Objectif

· Créer un cadre organisationnel où les tradipracticiens peuvent exercer leurs fonctions
· Faciliter les actions de formation et d'alphabétisation des tradipraticiens.

Impact

La création d'association des tradipractiens a permis d'élever leur niveau de collaboration confraternelle. En même temps on a noté un épanouissement de ces tradipractiens car ils ont réellement senti que l'on s'intéressait à eux. Cela a d'ailleurs provoqué un intérêt grandissant de la population. La méfiance n'était plus de rigueur vis à vis des tradipraticiens.

Difficultés

Les plus importantes sont d'ordre réglementaire et financier.

Certains tradipracticiens vont se préoccuper d'une rémunération comme au niveau de la médecine moderne. Quelques uns voulaient qu'on crée un cadre particulier de travail. la majorité préférait demeurer dans leur milieu.

Le problème de délivrance de cartes va être posé. Il subsiste quelques retinces jusqu'à nos jours de certains tradipraticiens qui n'acceptent pas livrer leurs recettes.

Renforcement de certains services de pharmacopée

Objectif

L'objectif était de centraliser toutes les forces sur les directions provinciales de la santé beaucoup intéressées et avancées en matière de pharmacopée traditionnelle.

En effet on s'est rendu compte que toutes les provinces n'étaient pas intéresées par les activités de pharmacopée traditionnelle. Aussi il a été retenu le renforcement de 3 services provinciaux pour en faire des centres régionaux de pharmacopée: Banfora à l'Ouest (province de la Comoé), Ouagadougou au Centre (province du Kadiogo) et Fada N'Gourma à l'Est (province du Gourma).

Impact

· Cette option suivie d'actions a poussé quelques provinces voisines des trois sélectionnées à s'intéresser d'avantage à la pharmacopée traditionnelle
· Les 3 services retenus ont été mieux équiper et ont ainsi amélioré leurs activités dans ce domaine.

Difficultés

Toujours d'ordre financier les moyens ont manqué pour les équipement prévus. Des demandes (notamment en matériel) sont restées insatisfaites.

Journées portes ouvertes "plantes médicinales et-pharmacopées traditionnelles au Burkina Faso

Esprit

Ces journées ont été organisées conjointement par le Ministère des Enseignements Secondaires, Supérieur et de la Recherche Scientifique et le Ministère de la Santé et de l'Action Sociale. Elles ont eu lieu à Ouagadougou du 28 Novembre au 2 Décembre 1989.

Objectifs

· Faire connaître l'IRSN(Institut de Recherche sur les Substances Naturelles) par le public et surtout sa contribution dans le domaine de la pharmacopée traditionnelle.

· Jeter les bases de l'élaboration d'un programme national en vue d'un plan d'action concerté pour la valorisation de la médecine et pharmacopée traditionnelle. Déboucher sur une coordination nationale des activités et l'élaboration d'une législation sur la médicine et pharmacopée traditionnelles au Burkina Faso.

Impact

Ces journées ont permis de découvrir les objectifs de l'IRSN et le stade de ses recherches. L'IRSN, en collaboration avec l'Université libre de Bruxelles (ULB) a déjà réalisé des tests pharmacologiques d'un certains nombre de plantes dont:

· Euphorbia hirta (Euphorbiacées)
· Holarrhena Floribunda (Apocynacées)
· Nauclea Latifolia (Rubiacées)

Il est également envisagé une extraction semi industrielle de matière première à partir de plantés médicinales pour une formulation médicamenteuse dont le Datura Stramonium (solanacae).

Ces journées ont également permis aux tradipraticiens de s'exprimer et poser clairement leurs problèmes. C'est ainsi qu'ils ont accepté l'idée d'élaboration des textes réglementaires et législatifs pour eux. Ils ont cependant rejeté l'idée d'un encadrement et demander qu'on les laisse s'organiser comme ils le souhaitent. De nombreux tradipraticiens ont néanmoins accueilli favourablement l'institution des rencontres de ce genre.

Difficultés

Il y a eu des difficultés organisationnelles. Notamment des structures d'hébergement ont fait défaut ce qui fait limiter le nombre des tradipraticiens. Aussi la délégation des tradipraticiens n'était pas très représentative sur le plan national.

Perspectives d'Avenir

Plan d'action à court terme

Pour l'année 1990 notre plan d'action vise:

· Au renforcement du système de réglementation de l'exercise de la médecine traditionnelle

· a l'élaboration d'une législation en matière de médecine et pharmacopée traditionnelle

· à la mise en place d'une commission nationale de pharmacopée traditionnelle dotée d'un secrétariat permanent

· à l'élaboration d'un programme national cohérent et opérationnel en matière de pharmacopée et médecine traditionnelles.

Orientation à long terme

Il existe des projets de création de 2 unités de fabrication de médicaments à base de plantés. Un project pour Kaya (province du Sanmatenga) sera financé par la PNUD. Un projet pour Banfora (province de la Comoé) financement à rechercher. Le projet de semi industrialisation de l'extraction des principes actifs végétaux suit son court au niveau de l'IRSN.

Conclusion

La promotion de la médecine et de la pharmacopée traditionnelle n'est pas une mince affaire au Burkina Faso. Elle n'est pas non plus la panacée de la politique pharmaceutique nationale.

Les actions que nous venons de signaler ont été menées avec détermination. Elles ont fait surgir diverses difficultés attendues ou imprévues. Il est desormains reconnu que

· Le tradipraticien ne peut être organisé que dans son contexte

· La collaboration entre médecine traditionnelle et médecine moderne est possible dans une certaine mesure de respect et de compréhension mutuelle des enracinements respectifs

· La valorisation des pratiques médicales ancestrales nécessite un minimum de recherches scientifiques visant à éviter toute dépossession.

Au Burkina Faso, la médecine et pharmacopée traditionnelles a cessé d'être perçu comme une médecine au rabais. Les succès que remporte toute manifestation s'en référant le prouve. Toute fois il existe encore des problèmes ça et là pour en faire une composante du développement socio-culturel national. Mais la prise de conscience grandissante en la matière, des autorités, des tradipraticiens et du personnel de santé, nous permet d'affirmer qu'il faudra compter de plus plus avec la médecine et pharmacopée traditionelle au Burkina Faso pour atteindre l'objectif "Santé pour tous d'ici l'an 2000".

The role and use of ethnomedical data in the research on traditional medicines and medicinal plants

W.M. KOFI-TSEKPO

Traditional Medicines and Drugs Research Centre
Kenya Medical Research Institute
P.O. Box 54840, Nairobi
KENYA

ABSTRACT

Any research work on traditional medicines from medicinal plants has invariably taken its lead from an ethnomedical data in one form or another. Ethnomedical data or information refers to the information on the use of a plant or plants for the treatment of certain disease conditions. It also provides some details on the botanical identity of the plant, the method of preparation, and its use in therapy. However, many researchers in this field have often made very little use of the ethnomedical information in their work;

Consequently the phytochemist is, for example, often faced with the problem of identifying and isolating the active principle(s) from a plant material which contains many compounds. The identification of the compound which produces the therapeutic effects, may be impracticable. It has been found that judicious integration of ethnomedical data with ethnobotanical, phytochemical, pharmacological, and toxicological information on an extract can yield much more meaningful results. This paper presents brief accounts on how this approach has been used on:

(a) the Luo traditional salt, prepared from papyrus reed ash;
(b) the antimalarial preparation from Azadirachta indica; and
(c) a traditional antifertility agent with sustained action.

The use of ethnomedical data can facilitate a rational application of pharmaceutical principles in the phytochemistry, pharmacology, toxicology and therapeutics of medicines prepared from plants. The need for greater use of ethnomedical information in medicinal plants research is discussed in this paper.

Introduction

Ethnomedical data on a traditional medicine provides information on the identity of raw materials, the method of preparation, the administration and the therapeutic indication of the medicine. The data can be obtained from three main sources, namely, from traditional healers; from knowledgeable individuals who are not practising traditional healers; and from various literature sources.

The traditional healer is a very useful source of ethnomedical data. However, it is usually difficult to obtain complete information from this source, because the practising traditional healer considers such information as his source of income, and he is therefore, unwilling to part with it freely. Knowledgeable individuals, who do not practice traditional healing, are much more willing to give information on plants used in traditional medicines. Evidently, using such people is one of the ways of securing reliable information. It should be further noted that, such knowledgeable persons are elders, who find themselves duty bound to treat a disease condition, or to solve a health problem in a community. The literature source of ethnomedical data is often derived from the two sources mentioned above. It can provide valuable leads to the investigation of traditional medicines. Some of the currently available publications that provide ethnomedical data, include those of Kokwaro (1976), Watt and Breyer-Brandwijk (1960), Oliver (1956) and Nadkarni (1960). These literature sources can provide very valuable sources for the investigation of traditional medicines and medicinal plants.

The purpose of this paper is to outline how the above three sources of ethnomedical data collection can be used in order to obtain results that can be readily applied in the health care system.

Correlation of ethnomedical data with pharmacological and toxicological data

The therapeutic indications given for a medication can provide a good lead to the design of pharmacological models that can be used to evaluate the medicine. Thus, in the development of the traditional medicine for malaria (KRM 913), the following studies were done: (a) botanical identification of the plant; (b) preparation of the medicine, according to the traditional formulation; (c) investigation of the preparation, using an in vitro model testing against Plasmodium falciparum; and (d) animal toxicity tests.

A similar strategy was used in the evaluation of a traditional antifertility preparation. The biological model used in stage (c) to establish an antifertility activity, was a mouse.

Correlation of ethnomedical data with phytochemical profiles

The phytochemical profile can provide useful information for correlation. The investigation of the papyrus reef ash, be along the points raised above, will be cited as an example.

With respect to the chemical composition of the extract, it was concluded that the elemental composition of the ash extract could explain the therapeutic efficacy of this extract in hypertension.

Traditional pharmaceutical formulation of Traditional medicines

The mode of pharmaceutical formulation is of critical importance. An understanding of this process can assist immensely in making an evaluation on the principles extracted and their relative stability during the preparation and storage. A preparation that is made by extracting with water only, is likely to contain water soluble compounds only. This aspect can be correlated with the phytochemical studies in order to establish the compounds that are readily extracted in the formulation process.

Discussion

The integration of ethnomedical data which includes formulation, pharmacology, toxicology and phytochemistry, leads to faster means of evaluating traditional medicines. In such medicines or plant extracts, a very large number of chemical compounds can be detected and isolated. However, the identification of the therapeutically active principles can become impracticable because one may be dealing with an extract containing over 50 compounds and ions, some of which may be present in only trace amounts, and yet could be the desired principles. The integration of the type suggested above can provide a basis for targeting the active principles in the following manner: (a) preparation of the extract; (b) determination of its activity, using the pharmacological model; (c) doing further analyses on the fractions and follow-up on their activities; (d) determination of the correlation of this activity with the observed clinical effects.

With respect to the ethnomedical information from traditional healers, this can be very valuable, if the above strategies are pursued. In many cases first hand clinical information can be obtained for designing the correlative studies. However, in some other cases, tangible results can be achieved through the literature or verbal information from knowledgeable persons, without involving the traditional healer at all.

Conclusion

The use of ethnomedical data can greatly facilitate the research on traditional medicines and medicinal plants. It is desirable to use ethnomedical data from traditional healers for guiding to scientific research on what plants or what parts of plants one should test for active substances. However, the other sources of ethnomedical information mentioned above can also yield useful results.

One advantage of using ethnomedical data from traditional healers is that a close working relationship with the traditional healers can enhance the diffusion of scientific methods of doing research to the traditional healers. This kind of interaction can be very useful especially if a formal training programme for the traditional healers cannot be carried out immediately. This approach has, so far, been applied in Kenya in the traditional medicines programme of the Kenya Medical Research Institute. Through this approach it has been possible to upgrade the traditional medicine practices in Kenya, and to promote public awareness on traditional medicine. An operational research is planned to evaluate this development.

References

Kokwaro, J.O. (1976). Medicinal plants of East Africa. East African Literature Bureau, Nairobi.

Nadkarni, A.K. (1976). Indian Materia Medico. Popular Prakashan Private Ltd, Bombay.

Oliver, B. (1960). Medicinal Plants of Nigeria. The Nigerian College of Arts, Science and Technology, Ibadan.

Watt, J.M. and Breyer-Brandwijk, M.G. (1962). The Medicinal Plants of Southern and Eastern Africa. E. & S Livingstone Ltd, London.

Traditional medicinal plants: Our cultural heritage

R.S.M. VONGO

International Organization of Traditional
and Medical Practitioners and Researchers
and
Traditional Health Practitioners Association of Zambia
P.O. Box 34186, Lusaka, Zambia

ABSTRACT

The practice of traditional medicine, an indispensable cultural heritage, has been legalized and integrated into primary health care in Zambia. Rigorous training programmes for traditional birth attendants and Traditional healers are being conducted by the Ministry of Health with the support of WHO and UNICEF. A Traditional Medicine Research Unit exists in Zambia which collects and conducts analysis on medicinal plants. The maladies existing between traditional medicine and allopathic medicine are examined. Further, avenues for dialogue between the two therapeutic systems are proposed in order to achieve the global objective of health for all by the year 2000.

Introduction

All countries develop their culture and traditional practices. These indigenous traditional practices are created by needs and the available means to satisfy these needs, and to overcome the difficulties in satisfying them. In times of difficulty, such communities may resort to mystic and supernatural powers for help. This has been the trend from times immemorial, the world over.

Zambia, with a population of 7.6 million people, has an indigenous and traditional culture which is essentially African, and remains so in most parts of the country's nine provinces with 72 tribes in a large country of 750,000 square kilometers.

In spite of passing through successive moulding and transformation, by the introduction of other Western cultures over the ages, Zambian culture, like most of East and Central African Cultures, is still composed of that from the era of myth and magic, through the era of religious dependence to the modern Western culture.

Traditional Medicine in this paper will be defined as medicine of certain people, acquired, taught and practiced in the informal sector, or organized health care of a particular society.

Despite its fundamental role in traditional health care, traditional medicine has been treated with contempt and even branded "Primitive and witchcraft to medical approach." This was more amplified by the colonialists in the African Continent.

One thing these colonialists failed to distinguish was the difference between traditional medicine and its practices, culture and witchcraft. We are all aware that health is an integral part of all communities and that the healthier the people in a given community, the greater is their contribution in the social and economic development of their community. It is therefore important that essential health care services be made universally accessible to every individual, at a cost that can be afforded. In this case the cheapest and most abundant medicinal services are derived from traditional medicinal plants.

Association of traditional healers

In Zambia only one association of traditional healers, has been in existence since 1979. Over 10,000 traditional healers have been registered by the Ministry of health, compared to less than 500 modern doctors.

Amendments of law

A vigorous programme has to be mapped out by relevant ministries to review and amend the old and outdated medical-allied and midwives and nurses acts, as well as the witchcraft acts of the laws of East and Central Africa, in order to enhance full accommodation of both allopathic and traditional medicine and its cultural heritage.

Training programmes

In Zambia to date over 2,000 traditional birth attendants (TBA's) have been trained by WHO and UNICEF, in conjunction with the Ministry of Health. This is aimed at improving health delivery services provided by the ministry's medical and paramedical staff to mothers and children at the (under five) clinics in rural areas. Healers are also being taught to use surgical gloves, oral rehydration salts (ORS), to be more hygienic, to guard against over-dosage, and toxicity on traditional practices, an to use appropriate techniques of storage. At a recent Seminar at N.R.D.C. in September 1989, Dr. Paul Fraund, a WHO representative, expressed willingness to use traditional healers in distributing ORS as it is the case in Brazil, Swaziland, etc. Training is thus vital for the healers.

Research on medicinal plants

A Traditional Medicine Unit has been established at Springbok House, Lusaka, to monitor and promote the collection of herbs from the Traditional Healers through the association's Research Board and other institutions like the National Council for Scientific Research (NCSR), Institute for African Studies at the University of Zambia, Medical Stores Ltd, Mount Makulu Research Station etc. The NCSR came up with a curative drug for tuberculosis through these efforts.

It is in this light that it has become an imperative necessity for ethnobotanists, phytochemists, pharmacognosists, herbal healers, policy makers, financial institutions and other bodies to come together not only for the purpose of dialogue and exchange of information in the use and preservation of medicinal plants, but also in the practical implementation of theories and resolutions resulting from such gatherings.

I would like to recommend that Third World countries should seriously consider the creation of botanical farms for medicinal plants. In such farms herbs collected from other countries could be introduced, preserved and analysed scientifically. Furthermore, I would like emphasise the following points:

(i) There is a great need for integration of traditional healers in national hospitals in order to offer health care to the majority of Zambians.

(ii) Traditional healers, who are the majority among the health care personnel, live and practice within a community whose cultural beliefs, customs, taboos and norms they understand. Hence their services could be quite beneficial to the society.

(iii) The herbs used in traditional medicine are locally, abundantly, and cheaply obtained; and do not require foreign exchange, expensive equipment, or highly trained manpower to develop.

(iv) On one hand healers are not capable of conducting major operations, or give intravenous drips, or to administer injections, blood transfusions, artificial respiration, etc. These are better manned by allopathic doctors. On the other hand when it comes to cases of psychosomatic disorders, anxiety, depression, stress disorders, behaviour problems, hysteria and other neuroses, etc, the traditional healer is the expert to consult.

(v) Over 80% of our African population depend on traditional medical practices for health care.

Summary

Modern medicines should get out of their ivory towers and take the initiative for dialogue, exchange of ideas and imparting their knowledge and skills to traditional healers.

Are healers too greedy, proud or defensive to admit inadequate knowledge of internal medicine where it counts? Are modern doctors too proud or conceited to educate the healers or share their knowledge? The result is the citizen of Central and East Africa who pays the price of the perpetual ill-health and short and unproductive life span. Doctors have to come to terms with the reality of traditional healers and its power on our society. Dialogue is the only answer at present.

At present and for the foreseeable future, if we do not continue this sort of dialogue, we are and will be at each others throats, and the Third World and its economic development will be the victim. When we continue with this stupidity we are like two men fighting on a hut roof. A fall of either is fatal! Is the only option to take the other man with you if you are going to fall?

This allegory finds expression in statements that are facile and puerile in the extreme, such as the challenges to treatment modalities by numbers.

(i) The Government should review the witchcraft act and all outdated laws that suppress the development of traditional medicine.

(ii) Adequate finance for traditional medicine research should be assured under government's regular budget, and external finance should be supplementary to the government's main efforts.

(iii) How will the new generation of healers be trained, examined and certified?

(iv) There is a need for the promotion of dialogue to destroy suspicion, secrecy and hostilities existing between traditional healers and modern doctors.

(v) We should refrain from unsubstantiated claims of "know- alls."

(vi) Referral mechanism should be a priority without punitive repercussions on either traditional or modern medicine.

(vii) We need to strengthen training and research on traditional medicine, and start with the most readily feasible herbal remedies.

(viii) We should boost our national economies by joining forces in preventive, community, and productive health care for our people.

To achieve these objectives, and those of health for all by the year 2000 and thereafter, open heart dialogue between the two disciplines of medicines is a must. For neither allopathic nor traditional medicine alone can adequately meet the health needs of our nations.

The use of traditional medicinal plants: The cultural context

S.A.C. WAANE

Ministry of Labour, Culture and
Social Welfare, Dar es Salaam
TANZANIA

ABSTRACT

In nature, man lived within a forest environment; through time man has continued to tame and interfere with nature; and now, man lives in a built-in environment, devoid of plants, except very few plant he domesticates (mostly fruits), e.g. pawpaws, oranges, peppers, etc. However, both in the wilderness and now, man has continued to exploit the forest environment, not only as a source of food, game, honey and other resources, but also as a source of curative herbs. In doing this, he has selectively used these resources for his betterment. Where successful, this knowledge has been transmitted from one generation to another in a variety of ways. This knowledge of the potential use of plants, ethnobotany, constitutes a major part of man's cultural knowledge, particularly in times of stress, e.g. hunger and disease.

The medical and pharmaceutical sectors, through history, have continued to exploit plants as sources of medicines, but have continually failed to realise, that what they are exploiting is knowledge, knowledge which is not only cultural, but also power. Given this fact, it is important that a certain level of cooperation, communication, and at times inclusions, of the cultural dimension are essential to the adoption and use of medicinal plants in modern medicinal and pharmaceutical practice.

Introduction

The anticipated increased use of traditional medicinal plants must necessarily involve the 'tapping' or transference of the knowledge of their use and potentiality from the traditional to the modern sector. It is this change in the context in which such medicines will be used, that this paper wished to address itself to: the change from a Cultural to a Hospital context, for these are the respective operational spheres of traditional and modern medicines. The concept of culture has been defined in a number of ways, but the simplest definition offered here is that Culture is a way of life that is characteristic of a people, which identifies and distinguishes them from other people. Culture as defined here is the inevitable product of the interaction and interrelationship between man and environment. It includes, among other things, the material culture, social organization, organization and use of space, environment and things therein, belief systems (others will call this religion), and the general world view. All these aspects will be characteristic of a certain people and will differ from one people to another.

Viewed this way, what this conference is exploring may be seen as an examination of how man in the South wants to maximise the use of the products of his environment and share his knowledge on the curative properties of plants in the region. This is an attempt to share our cultural experiences and practices with the world.

Man and his environment

Present scientific knowledge, from archaeological evidence, places the origin of man to between 3.2 -3.5 million years ago. This evidence comes from the Rift Valley regions of Eastern Africa, from Omo in Ethiopia, through Lake Turkana in Kenya, and Olduvai and Laeotoli in Tanzania. Other corroborative evidence in the South, comes also from China, Southeast Asia and Southern Africa. In this long historical (archeological) span, the rise of modern civilizations in the Near East, the Mediterranean and other centres on the African, Asian and Latin American continents, is a comparatively recent phenomenon. This means that for a greater part of the history of humanity on this earth, man has lived in and with the wilderness. Put crudely, human beings have been part and parcel of the wilderness, and despite man's present level of technological developments, he is part of that wilderness or nature.

Man's operational spheres include: (a) the household, (b) the home range, and (c) the wilderness.


Figure 1: Diagrammatic sketch of man's operational spheres

With respect to the household cluster, one of the major technological advances that human beings have made, through time has been in architecture. From the rockshelters, branch shelters and other open air occupation sites/areas, man has developed permanent and semipermanent architectural structures, houses. These structures have become man's basic operational base from where he retires to at night, in times of danger or stress, and wakes up in order to tame his environment in his attempts and endeavours to satisfy his basic needs of food, shelter and clothing.

The houses may be built of plants or materials of plant origin and within them there may be stores for medicinal herbs, roots, barks, twigs, powders, mixtures and of course, other items of material culture. But these plants are mostly 'dead' and in usable or near usable form.

The home range operational sphere may differ from a few meters to several kilometers, depending on the type of social organization of the people, their subsistence pattern, the environment, ecology and climate. Hunters and gatherers will normally have a larger home range than agriculturalists. Women and children in foraging communities, will have a smaller home range than men and adults. Shifting agriculturalists and pure pastoralists will have a larger home range than intensive agriculturalists and mixed farmers. And, by extrapolation, people of the North will have a smaller home range than those of the South. The home range in a way, is more of an extension of the household and it is the main source of man's requirements of not only food and game, but also medicinal plants.

With regard to the wilderness sphere, this is more of the area beyond where man treads carefully. It is the area where few people venture to go. It is the region of the hunter, the brave, and I will dare to suggest, the man.

Man exploits this territory for medicinal plants, but the range of exploitable plants here is more limited than in the preceding two ranges. And, probably this is the area where most of the medicines stored in the household originate from, because this area is not easily accessible compared to the home range.

The acquisition of traditional medicine knowledge

Modern doctors, pharmacists, nurses and other medical personnel, acquire their basic skills through an intensive and selective education, specialising in the related medical disciplines. These skills are perfected with experience through years of practice. In contrast, the relevant skills in traditional medical practice, are acquired primarily through observation and a long and tedious apprenticeship. Others acquire it through normal cultural media of oral literature, oral traditions, folklore, rites de passage, borrowing, exchange, purchase and at times even divination. Given these differences of knowledge and use of traditional medicine, medicinal plants are peculiar and at times culture specific, compared to the universal modern medicine and medical practice. Particularisms of traditional medicine may also be greatly affected by belief systems, religion, and to a greater extent, ecology. Man will exploit most those plants and medicines that are within the immediate environment. Also, the cures that will be discovered or invented, will be in most cases those that are relevant to the diseases that are common to that particular society and the contiguous areas. Thus, this knowledge may not be easily transferrable to or easily accepted in other societies. Put differently, the knowledge and use of traditional medicinal plants is largely grounded in the ethnobotany of a particular people and can be strongly and negatively ethnocentric.

The processing of plants used in Traditional medicine

Modern medicine, the medicine which is preferred and openly acknowledged by most of the participants of this conference, is normally processed in sophisticated modern laboratories after a careful scientific analysis of the constituents and chemical combinations of the raw materials. The processing and manufacturing process is therefore standardized, and more often involves mass production and worldwide use and marketing of the end product. This process is normally preceeded and accompanied by careful studies of the after effects of these medicines on animals and human beings, in order to minimise short-term and long-term adverse effects. Also, according to modern commercial practice, the resultant medicines are produced under registered trade marks and are patented. Thus, replication of the medicines is not easy, though it is common to read of medicines that are marketed under false trade marks or those with the same general properties, ingredients and after effects. Traditional medicine, in contrast, is not easy to replicate, and the dosages administered are not easy to quantify. Thus, its use necessarily involves not only trust in the healer, but also belief in the ability of the medicine to cure and the capability of the medicineman to administer the right dose or doses. Its effectiveness is assumed and only demonstrable by seeing or hearing of people who had associated symptoms of a disease cured. This fact, at times, limits the universal applicability and acceptability of such medicine in other areas and hence makes such medicines cultural specific.

The processing of traditional medicine is normally considered unhygienic and unscientific, not because this is necessarily so, but largely because people are biased against the various methods of grinding, pounding, chewing, boiling, etc., that are used. Often these methods are just as hygienic as any in the modern industrial manufacturing process of medicine. The use of such 'crude' methods of processing may be dictated more by the scale of operation, the amount of raw materials, the market situation, and other physical or chemical characteristics of the plant itself.

Administration

Probably more than in any other areas, modern medicine diners from traditional medicine in its administration. All of us are familiar with the picture of the nurse, the doctor, and the hospital white uniform: a colour that is culturally associated with purity, hygiene, and probably modern science and technology. The administration of modern medicine is effected orally, by injections, or by topical applications etc. These methods are generally the same as the traditional methods, which also use incisions and excisions in addition to those mentioned above. But, instead of the colour of uniforms of the modern medicine, black is the typical colour of most traditional medicine practices. This is due to the processing and manufacturing process more than anything else, a process which is equally, clean, hygienic and definitely scientific.

Hospitals, modern medical practice and the doctor-patient relationship, are very objective and impersonal. The modern doctor and nurse, though belonging to the society, is generally detached from it in the execution of his or her duties. In most cases, one patient is taken to be just the same as any other patient. Individual or personal interest is only aroused when the patient or the manifestation of the diseases is peculiar, abnormal, and therefore of scientific interest. Even here, the patient becomes a case.

In comparison, the local healer and medicineman is part of the culture. He or she operates within a known cultural environment, with its own definite known cultural norms, values and beliefs. He is in most cases the next door person, an uncle, brother, grandmother, grandfather or any other relative. After all, the range of social relationships in any community is limited and prescribed. Therefore, the medicineman has a personal interest and stake in the patient. He is not a mere dot in a chain of people Stringing through the doctor's consultation office. There is a necessary cultural bond between the two. In fact, there are known instances of a healer taking the medicine on behalf of the patient, or even other people within the community doing the same for the patient. Normally when traditional medicine is removed from its cultural context and used in modern clinics, it loses this community touch and subjectivity and becomes impersonal and objective. This factor is very significant in considering how to use traditional medicine in modern contexts.

Research on traditional medicinal plants

To the author, the primary objective of research in traditional medicines, is to expand modern medical practice and medicines to cut down the bill for modern medicines and, as other people in this conference have said, to promote the return to nature. In short, to supplement and complement modern medicine. This brief review suggests that for this research to be meaningful, it is important to incorporate several cultural dimensions.

Cultural knowledge

It has been mentioned here that traditional medicine is, first and foremost, culture-specific, and exploits and responds to the local environment and at times, beliefs. Traditional medicine researchers should therefore, start with or ground themselves in social and cultural research methods, and use these methods in their research. Results of such research may necessitate, first, the need to be accepted and trusted in the research area, to understand the local cultural norms and values, the nutritional methods and taboos, and other similar cultural premises.

The initial social and cultural research may prove to be cost cutting in the long run. It is for example a fact that diseases common in low-lying, forest costal areas, may not be present in high altitude areas, and vice versa. Thus, a researcher can benefit more by researching only in those areas where certain diseases are known to be typical. Thus, by using modern hospital clinic dispensary records, it should be possible to produce a map of the diseases that are characteristic of certain areas. The maps could then be used for identifying traditional medicines that are used to treat them and their effectiveness and thereafter, chart out a research programme for not only recording and testing these, but also for research in other possible medicines that may be in use in similar areas elsewhere.

Cooperation with local traditional medicinemen

If one acknowledges the fact that, culturally, people believe in the old, while looking forward to the modern, then it is only logical that we shall incorporate the use of traditional medicine in modern medical practice, and vice versa. Programmes should be worked out between modern and traditional clinics, whereby problematic cases may be treated collectively. This should not be very difficult At least in Benin, this method is successfully being used at the local level)

Gender consciousness

Earlier it was mentioned that man operates in three spheres, the household, the home range and the wilderness. Generally, and culturally, the household is the sphere of the women and the children while that of the wilderness is the territory of the man. This means that cures for diseases which are associated with the household, for example, prenatal, natal, post natal children's diseases, are in many cases known to the women, especially the mature and elderly women in the society, while cures for such things as snake bites are known to men. Thus, when planning for and undertaking research in traditional medicine, it is important to take cognizance of this very critical factor. It is not easy for a male to get access to medicines associated with child birth and maternity care. This concept can also be extended to age groups or groupings.

Social status

Recently, the Government of Tanzania restructured its salary structure. In the new structure, medical doctors and pharmacists have been categorised as being in rare professions. This is, in a way, a recognition of their special role and position in the Tanzania Society. It is an acceptance and an ascription of special status. This status is based on the special knowledge they have, the rigorous programme they had to go through in acquiring this knowledge, and their special relation to the process of life and living. However, in assessing the place of the traditional healers in this and previous societies, we tend to forget the fact that in their case too, our societies gave them similar or even more consideration. Therefore when undertaking our various researches in traditional medicine, we should be aware of the fact that by getting this pool of knowledge from our villagemen, a process which to them appears to be unidirectional, we are in fact stripping them of their special place in the society and hence their status. It is largely because of this fact that the author advocates for cooperation and collaboration in both research and use of traditional medicine by both parties.

Policy

Most countries of the South recognise the special role and the need for aggressive research in and use of traditional medicinal plants. Most of them have established special programmes of research in this sphere, usually at the University level. However, few of our governments have established clear-cut policies on traditional medicine, policies which define the role of the institutions and personalities involved in using traditional medicine. Such policies are needed to give due respect to the good traditional medicine practitioners. It is the author's hope that the holding of this conference is one step in the right direction towards the realization of definite policies on the use of traditional medicines, including traditional medicinal plants.

Conclusion

In this paper, the author has attempted to show that man's total social and natural environment constitutes his or her operational cultural context, and that the use of traditional medicinal plants, and other traditional medicines is not only logical, but is also natural. Realizing that research in traditional medicines is;

...the will of people prepared to innovate and bring new responses to new circumstance while bringing in a keen practical sense and social responsibility informed by ingenuity and creative inauguration (Winston, 1975:509).

The author has argued for the need for modern and traditional medicine to cooperate and collaborate in all their endeavours and to establish a dialogue between them. In short, he emphasises the need for traditional medicine to incorporate in their practices, the modern dimensions while modern medicine should also include the cultural dimension, for the betterment of their practices, and for the benefit of the community.

In this regard this paper gives credit to the process so far, with the same attitude as Narakobi's in the 'Malenisian way': "Every nation needs an ideology or a philosophy. What I say wrongly to-day, let the learned of tomorrow, or even this very day, set right. But if I do not say something today, those of tomorrow will have nothing to go from, or even to correct" (Narokobi, 1980:40).

References

Banton, M. (1966). Anthropological Approaches to the study of Religion. Tavistock Publications, London.

Gluckman, M. (1966).Custom and Conflict in Africa. Basil Blackwell, Oxford.

Malinowski, B. (1960). A Scientific Theory of Culture and other Essays. Oxford University Press, New York.

Middleton, J. and Winter, E. H. (1963). Witchcraft and Socery in East Africa. Rout-ledge, London.

Narokobi, B. (1980). The Malenisian way. Institute of Papua New Guinea Studies.

Rodcliff, B. (1964). Structure and Function in Primitive Society. Cohen and West Ltd, London.

Steiner, F. (1956). Taboo. A Pelican Book

Swats, M.L. (1966). Religious and Magical Rites of Bantu Women in Tanzania. Dar es Salaam, Tanzania

Van Pelt, P. (1971). Bantu Customs in Mainland Tanzania. T.M.P. Tabora, Tanzania.

Winston, J. (1975). The Malenisian Environment. Proceedings of the 9th Waigani Seminar.

TO PREVIOUS SECTION OF BOOK TO NEXT SECTION OF BOOK