Back to Home Page of CD3WD Project or Back to list of CD3WD Publications

CLOSE THIS BOOKComparative Study of Solar and Sun Drying of Fish in Ecuator (NRI)
Appendices
VIEW THE DOCUMENTAppendix 1: Solar dryers
VIEW THE DOCUMENTAppendix 2: Operating conditions
VIEW THE DOCUMENTAppendix 3: Drying performance
VIEW THE DOCUMENTAppendix 4: Final product analysis
VIEW THE DOCUMENTAppendix 5: Material costs of rack and solar dryers

Comparative Study of Solar and Sun Drying of Fish in Ecuator (NRI)

Appendices

Appendix 1: Solar dryers


Figure 1 - Solar tent dryer


Figure 2 - SCD solar dryer


Figure 3 - Solar cabinet dryer

Appendix 2: Operating conditions


Table 1 - Summary of drying conditions


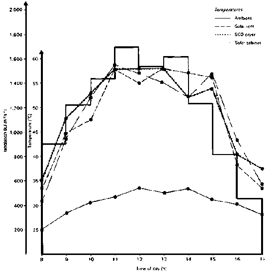
Figure 4 - Insolation and temperature variation during day with high total insolation (20 April)


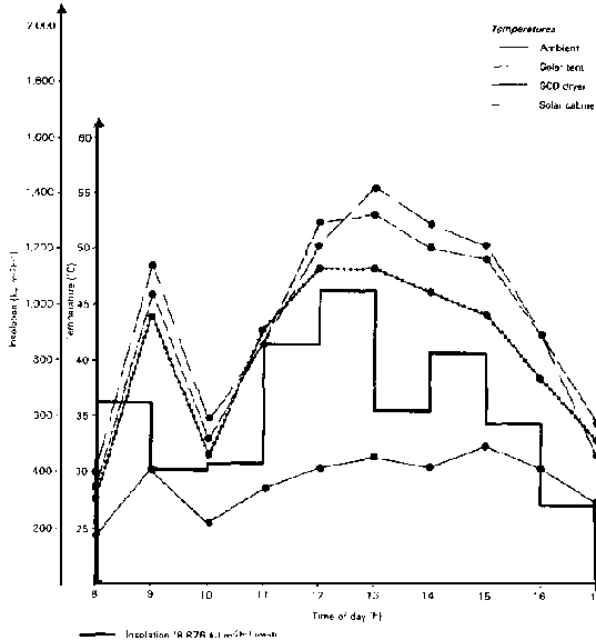
Figure 5 - Insolation and temperature variation during day with low total insolation (29 April)

Appendix 3: Drying performance


Figure 6 - Drying curves for experiment 1: dry salted split lisa


Figure 7 - Drying curves for experiment 2: dry salted split lisa


Figure 8 - Drying curves for experiment 3: brined split pampano


Figure 9 - Drying curves for experiment 4: brined pampano fillets


Figure 10 - Drying curves for experiment 5: brined split lisa


Figure 11 - Drying curves for experiment 7: brined split lisa


Figure 12 - Drying curves for experiment 9: dry salted lisa fillets


Figure 13 - Drying curves for experiment 10: dry salted lisa fillets


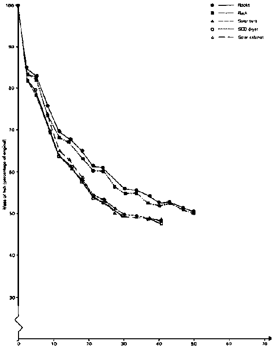
Figure 14 - Generalised drying curves

Note

Although the moisture content of the prepared fish was not measured prior to drying, it would be expected to be approximately 55 - 65% for dry salted lisa, and 65 - 75% for brined lisa and brined pampano.


Table 2 - Experiment 1: drying times for dry salted split lisa


Table 3 - Experiment 2: drying times for dry salted split lisa


Table 4 - Experiment 3: drying times for brined split pampano


Table 5 - Experiment 4: drying times for brined pampano fillets


Table 6 - Experiment 5: drying times for brined split lisa


Table 7 - Experiment 7: drying times for brined split lisa


Table 8 - Experiment 9: drying times for dry salted lisa fillets


Table 9 - Experiment 10: drying times for dry salted lisa fillets


Table 10 - Relative performance of solar dryers and sun-drying methods

Appendix 4: Final product analysis


Table 11. Moisture, salt and acid-insoluble ash contents of final dried salted products*

* Salt and moisture contents are calculated on a wet weight basis while acid-insoluble ash contents are on a dry weight basis. Results given are mean values of analyses on either four split fish or eight fillets

Appendix 5: Material costs of rack and solar dryers

Rack

Sucres

4 of 4 m bamboo poles

220

1.2 m x 1.0 m black plastic mesh

324

String, nails, staples, etc.

50

594


+ 10% contingency

59

Material cost of rack

653

Solar tent dryer

Sucres

12 of 4 m bamboo poles

660

3 m x 2 m black PVC sheet

189

12 m x 2 m clear polyethylene sheet

630

1.2 m x 1.0 m black plastic mesh

324

String, nails, staples, etc.

100

1,903


+ 10% contingency

190

Material cost of tent dryer

2,093

SCD solar dryer

Sucres

15 of 4 m bamboo poles

825

6 m x 2 m black PVC sheet

378

8 m x 2 m clear polyethylene sheet

420

1.2 m x 1.0 m black plastic mesh

324

String, nails, staples, etc.

100

2,047


+ 10% contingency

205

Material cost of SCD dryer

2,252

Solar cabinet dryer

Sucres

2 sheets of plywood (12-ply)

1,200

2 sheets of plywood (5-ply)

520

15 m of 50 m x 50 mm wood

450

8 m of 25 m x 25 mm wood

80

1.2 m x 1.0 m black plastic mesh

324

1 m x 2 m clear polyethylene sheet

53

Nails, staples, webbing, hose, paint, etc.

200

2,827


+ 10% contingency

283

Material cost of cabinet dryer

3,110

TO PREVIOUS SECTION OF BOOK